USSR SHOP »
Магазин » Линейная алгебра контрольная 10 заданий,2 ВАРИАНТ
Купить Линейная алгебра контрольная 10 заданий,2 ВАРИАНТ
Описание товара:
Задание 1
Вычислить определитель
2.
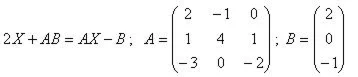
Задание 2
Решить матричное уравнение
1.
Задание 3
Решить систему уравнений :
1. методом Гаусса,
2. методом Крамера.
Задание 4
Решить систему уравнений с использованием преобразований Жордана-Гаусса. Найти одно из базисных решений и выяснить, является ли оно опорным планом.
Задание 5
Найти собственные значения и собственные векторы матрицы
A=
Задание 6
Исследовать знакопостоянство выражения.
1. 4х2+3ху – 5у2.
Задание 7
Найти значение параметра а, при котором данные прямые параллельны
Задание 8
Найти значение параметра а, при котором данные прямые перпендикулярны:
Задание 9
Перечислите свойства определителей.
Задание 10
Опишите свойства решений неопределенных систем линейных уравнений.
ЕСЛИ ВАМ ЧЕМ-ТО НЕ ПОНРАВИЛАСЬ РАБОТА, УКАЗЫВАЙТЕ В СООБЩЕНИИ E-MAIL, Мы обязательно свяжемся с вами и разберем все ваши претензии в течении суток.
Если вам понравилась работа,пожалуйста, оставьте отзыв,этим вы поможете увеличить список товаров недорогих,но качественных работ.
Вычислить определитель
2.
Задание 2
Решить матричное уравнение
1.
Задание 3
Решить систему уравнений :
1. методом Гаусса,
2. методом Крамера.
Задание 4
Решить систему уравнений с использованием преобразований Жордана-Гаусса. Найти одно из базисных решений и выяснить, является ли оно опорным планом.
Задание 5
Найти собственные значения и собственные векторы матрицы
A=
Задание 6
Исследовать знакопостоянство выражения.
1. 4х2+3ху – 5у2.
Задание 7
Найти значение параметра а, при котором данные прямые параллельны
Задание 8
Найти значение параметра а, при котором данные прямые перпендикулярны:
Задание 9
Перечислите свойства определителей.
Задание 10
Опишите свойства решений неопределенных систем линейных уравнений.
ЕСЛИ ВАМ ЧЕМ-ТО НЕ ПОНРАВИЛАСЬ РАБОТА, УКАЗЫВАЙТЕ В СООБЩЕНИИ E-MAIL, Мы обязательно свяжемся с вами и разберем все ваши претензии в течении суток.
Если вам понравилась работа,пожалуйста, оставьте отзыв,этим вы поможете увеличить список товаров недорогих,но качественных работ.