USSR SHOP »
Магазин » Решение Д3 В80 (рисунок 8 условие 0) термех Тарг 1989
Купить Решение Д3 В80 (рисунок 8 условие 0) термех Тарг 1989
Всего продаж: 3
✅ Методы оплаты: 










Описание товара:
После оплаты Вы получите архив с решением задачи по теоретической механике Д3 Вариант 80 (рисунок 8 условие 0) из решебника к методичке Тарг С.М. 1989 года для студентов-заочников машиностроительных, строительных, транспортных, приборостроительных специальностей высших учебных заведений. Задача выполнена в формате word, запакована в архив zip.
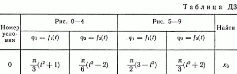
Решение задачи по теормеху из Тарга С.М. Д3 В80. Условие задачи: Механическая система состоит из грузов D1 массой m1 = 2 кг и D2 массой m2 = 6 кг и из прямоугольной вертикальной плиты массой m3 = 12 кг, движущейся вдоль горизонтальных направляющих (рис. Д3.0 — Д3.9, табл. Д3). В момент времени t0 = 0, когда система находилась в покое, под действием внутренних сил грузы начинают двигаться по желобам, представляющим собой окружности радиусов r = 0,4 м и R = 0,8 м. При движении грузов угол фи1 = ∟A1C3D1 изменяется по закону фи1 = f1(t), а угол фи2 = ∟A2C3D2 — по закону фи2 = f2(t). В табл. ДЗ эти зависимости даны отдельно для рис. 0—4 и 5—9, где фи выражено в радианах, t — в секундах. Считая грузы материальными точками и пренебрегая всеми сопротивлениями, определить закон изменения со временем величины, указанной в таблице в столбце «Найти», т. е. x3 = t3(t) и N = f(t), где x3 — координата центра C3 плиты (зависимость x3 = f3(t) определяет закон движения плиты), N — полная нормальная реакция направляющих.
Спасибо, что выбрали Нас. Буду очень признателен, если Вы после сдачи оставите положительный отзыв.
Заранее спасибо.
Решение задачи по теормеху из Тарга С.М. Д3 В80. Условие задачи: Механическая система состоит из грузов D1 массой m1 = 2 кг и D2 массой m2 = 6 кг и из прямоугольной вертикальной плиты массой m3 = 12 кг, движущейся вдоль горизонтальных направляющих (рис. Д3.0 — Д3.9, табл. Д3). В момент времени t0 = 0, когда система находилась в покое, под действием внутренних сил грузы начинают двигаться по желобам, представляющим собой окружности радиусов r = 0,4 м и R = 0,8 м. При движении грузов угол фи1 = ∟A1C3D1 изменяется по закону фи1 = f1(t), а угол фи2 = ∟A2C3D2 — по закону фи2 = f2(t). В табл. ДЗ эти зависимости даны отдельно для рис. 0—4 и 5—9, где фи выражено в радианах, t — в секундах. Считая грузы материальными точками и пренебрегая всеми сопротивлениями, определить закон изменения со временем величины, указанной в таблице в столбце «Найти», т. е. x3 = t3(t) и N = f(t), где x3 — координата центра C3 плиты (зависимость x3 = f3(t) определяет закон движения плиты), N — полная нормальная реакция направляющих.
Спасибо, что выбрали Нас. Буду очень признателен, если Вы после сдачи оставите положительный отзыв.
Заранее спасибо.