USSR SHOP »
Магазин »
Электронные книги »
Наука и образование »
Контрольные работы » Решение задачи 1.26 из раздела 3 УМФ автор Чудесенко В
Купить Решение задачи 1.26 из раздела 3 УМФ автор Чудесенко В
Обновлено: 2025-10-23 06:12:24
$ 0.75
2 продажи
Всего продаж: 2
✅ Методы оплаты: 











Описание товара:
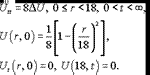
Решение задачи 1.26 (задача 1 вариант 26) по высшей математике из раздела: Уравнения Математической Физики (УМФ). Задачник: Чудесенко В.Ф. Сборник заданий по специальным курсам высшей математики (типовые расчеты). — Москва: Высшая школа. Решение подходит для изданий: 1983 (1994, 2005-2009) гг..
После оплаты вы получите архив zip. Решение выполнено в электронном виде и сохранено в виде картинки в формате tif. Открывается любой программой. Разрешение 300 dpi. Решение неоднократно сдавалось в ВУЗах России. Все недочёты исправлены.
Буду очень благодарна, если Вы оставите ПОЛОЖИТЕЛЬНЫЙ ОТЗЫВ после покупки.
СПАСИБО!
После оплаты вы получите архив zip. Решение выполнено в электронном виде и сохранено в виде картинки в формате tif. Открывается любой программой. Разрешение 300 dpi. Решение неоднократно сдавалось в ВУЗах России. Все недочёты исправлены.
Буду очень благодарна, если Вы оставите ПОЛОЖИТЕЛЬНЫЙ ОТЗЫВ после покупки.
СПАСИБО!
Изображения:
Вас могут заинтересовать:

16.05.2013
13 продаж
Управление социальным развитием организации тест
Купить
$ 0.91

13.01.2011
12 продаж
Между российским юридическим лицом (2010)
Купить
$ 2

03.10.2014
6 продаж
Гарбузова КР2 Вариант 07
Купить
$ 3.91

21.03.2015
5 продаж
Основы административ управления организацией тест МЭИ
Купить
$ 0.29

04.03.2013
0 продаж
Контрольная Конституционное право
Купить
$ 1.95

15.05.2015
2 продажи
Учет и оперативная деятельность банка - Задача 8
Купить
$ 0.5

02.10.2020
1 продажа
Расчетно-графическая работа 1. Вариант 23 Сетков В.И.
Купить
$ 1.17

11.11.2023
0 продаж
Тарг С.М. 1989 С3 вариант 01
Купить
$ 0.39

20.06.2023
0 продаж
Тарг С.М. 1989 С4 вариант 03
Купить
$ 0.39

16.06.2023
0 продаж
Тарг С.М. 1989 С1 вариант 72
Купить
$ 0.49

09.01.2024
0 продаж
Тарг С.М. 1989 К3 вариант 01
Купить
$ 0.39

06.09.2023
0 продаж
Тарг С.М. 1988 К3 вариант 61
Купить
$ 0.39

04.02.2025
0 продаж
Тарг С.М. 1989 С2 вариант 25
Купить
$ 0.49

04.08.2020
0 продаж
Менеджмент. Практикум №3.
Купить
$ 5.56

09.01.2021
0 продаж
Математика контрольная,ч10,вариант 8,2021 год,9заданий
Купить
$ 5.39

15.01.2021
0 продаж
Контр. раб. №1-4 Организация и технология строительства
Купить
$ 1.95

14.02.2020
0 продаж
Контрольная работа №1-4 вариант Основы экономики
Купить
$ 2.44

26.01.2019
0 продаж
Уголовный процесс тест ч.3,100 вопросов с ответами 2018
Купить
$ 2.27

30.01.2022
0 продаж
Байарыст 2008 №10 вариант 3
Купить
$ 0.61

18.08.2021
0 продаж
Задача 1 ХТП
Купить
$ 0.98
10.06.2025
0 продаж
Ответы на ИДЗ 14.2 вариант 19 Рябушко часть 3
Купить
$ 0.6

11.08.2024
0 продаж
Информационные технологии в юридической деятельности 3в
Купить
$ 1.08

09.05.2019
0 продаж
Логика тест с ответами,часть 4,20 вопросов,2019
Купить
$ 1.77
12.08.2025
0 продаж
Расчет посадки подшипника 70L5/k5 в Word со схемой
Купить
$ 1.3

15.08.2012
9 продаж
Решение задачи 7.14 из раздела 3 УМФ автор Чудесенко В
Купить
$ 0.75
19.06.2013
8 продаж
Решение контрольной К3 рис 2 усл 4 (вариант 24) Тарг 89
Купить
$ 0.8

05.07.2013
19 продаж
Отечественная история контрольная 19 вопросов
Купить
$ 0.54
26.06.2013
7 продаж
Решение Д1 В73 (рисунок Д1.7 условие 3) термех Тарг 89
Купить
$ 0.8
12.05.2012
8 продаж
39 Решение задачи переходные процессы схема 39
Купить
$ 2.44

16.10.2012
2 продажи
10 заданий по органической химии (к/р 2, вариант1)
Купить
$ 47.84
05.06.2013
4 продажи
Решение задачи С4 рис 4 усл 4 (вар 44) Тарг С.М. 1989г
Купить
$ 0.8

30.06.2013
33 продажи
Геополитика контрольная с ответами 10 вопросов
Купить
$ 0.3

08.10.2012
30 продаж
Операционный менеджмент (ИЭФ)
Купить
$ 47.84
04.07.2013
4 продажи
Решение Д6 В04 (рис 0 усл 4) термех Тарг С.М. 1989
Купить
$ 0.8
16.07.2013
2 продажи
Решение С2 Вариант 78 (рис. 7 усл. 8) термех Тарг 1988
Купить
$ 0.8

15.08.2012
2 продажи
Решение задачи 8.18 из раздела 3 УМФ автор Чудесенко В
Купить
$ 0.75

18.08.2013
46 продаж
Административное право контрольная с ответами ч.2,10 в.
Купить
$ 0.3
26.06.2013
2 продажи
Задача Д2 В05 (рисунок 0 условие 5) теормех Тарг 1989г
Купить
$ 0.8

18.01.2015
11 продаж
Что в переводе с греческого означает слово «прогноз»
Купить
$ 0.49
14.08.2012
5 продаж
Решение задачи 15.11 из раздела 3 УМФ автор Чудесенко В
Купить
$ 0.75

14.08.2012
11 продаж
Решение задачи 11.8 из раздела 3 УМФ автор Чудесенко ВФ
Купить
$ 0.75

14.08.2012
53 продажи
Решение задачи 9.5 из раздела 3 УМФ автор Чудесенко ВФ
Купить
$ 0.75
14.08.2012
25 продаж
Решение задачи 5.1 из раздела 3 УМФ автор Чудесенко ВФ
Купить
$ 0.75

25.05.2011
16 продаж
СТРАХОВАНИЕ ТЕСТЫ ДСР РИУ ТАНТАЛ
Купить
$ 1.3
15.08.2012
26 продаж
Решение задачи 9.17 из раздела 3 УМФ автор Чудесенко В
Купить
$ 0.75

14.08.2012
14 продаж
Решение задачи 10.9 из раздела 3 УМФ автор Чудесенко ВФ
Купить
$ 0.75

27.04.2013
1 продажа
Экономика, вариант 4
Купить
$ 4.39

14.05.2013
12 продаж
Гражданское право контрольная часть 2
Купить
$ 0.78

13.11.2013
1 продажа
Экономический анализ тест
Купить
$ 0.78