USSR SHOP »
Магазин »
Электронные книги »
Наука и образование »
Контрольные работы » Решение задачи 9.24 из раздела 3 УМФ автор Чудесенко В.
Купить Решение задачи 9.24 из раздела 3 УМФ автор Чудесенко В.
Обновлено: 2025-10-23 19:00:45

$ 0.75
16 продаж
Всего продаж: 16
✅ Методы оплаты: 











Описание товара:
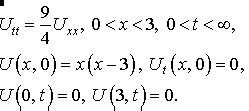
Решение задачи 9.24 (задача 9 вариант 24) по высшей математике из раздела: Уравнения Математической Физики (УМФ). Задачник: Чудесенко В.Ф. Сборник заданий по специальным курсам высшей математики (типовые расчеты). — Москва: Высшая школа. Решение подходит для изданий: 1983 (1994, 2005-2009) гг..
После оплаты вы получите архив zip. Решение выполнено в электронном виде и сохранено в виде картинки в формате tif. Открывается любой программой. Разрешение 300 dpi. Решение неоднократно сдавалось в ВУЗах России. Все недочёты исправлены.
Буду очень благодарна, если Вы оставите ПОЛОЖИТЕЛЬНЫЙ ОТЗЫВ после покупки.
СПАСИБО!
После оплаты вы получите архив zip. Решение выполнено в электронном виде и сохранено в виде картинки в формате tif. Открывается любой программой. Разрешение 300 dpi. Решение неоднократно сдавалось в ВУЗах России. Все недочёты исправлены.
Буду очень благодарна, если Вы оставите ПОЛОЖИТЕЛЬНЫЙ ОТЗЫВ после покупки.
СПАСИБО!
Изображения:
Вас могут заинтересовать:

26.03.2008
15 продаж
Лабораторная РФЭИ Математика №3
Купить
$ 1.37

25.08.2007
12 продаж
Контрольная РФЭТ Мировая экономика
Купить
$ 1.37

21.05.2018
10 продаж
Экономико математические модели тест ч.2,75 вопросов
Купить
$ 0.54

03.10.2014
7 продаж
Гарбузова КР2 Вариант 24
Купить
$ 3.91

11.02.2012
4 продажи
Оценка кредитно финансовых институтов
Купить
$ 15

13.11.2016
5 продаж
Основы Маркетинга часть 2 МИЭМП Витте Кейс задание 2
Купить
$ 1.95

22.06.2018
4 продажи
Экономика государственного и муниципального сектора
Купить
$ 1.62

17.07.2018
1 продажа
КР. 3 задания по планированию и прогнозированию.
Купить
$ 4.94

30.09.2018
3 продажи
МЭИ ФИЛОСОФИЯ. Тест 35 заданий по 5 вопросов
Купить
$ 1.22

16.08.2019
0 продаж
Иностранные инвестиции. КР.
Купить
$ 4.4

04.08.2020
0 продаж
Реклама. Кейс №1.
Купить
$ 4.88

18.01.2020
0 продаж
3 задания. Методы принятия управленческих решений.
Купить
$ 4.88

02.02.2013
2 продажи
Контрольная-Учет и операц деят в ком.банке 1 вариант
Купить
$ 3.91

21.02.2025
2 продажи
Вариант 16 ИДЗ 13.2 Решебник Рябушко часть 3
Купить
$ 1.18

17.06.2023
1 продажа
Тарг С.М. 1989 С1 вариант 28
Купить
$ 0.49

13.06.2023
1 продажа
Тарг С.М. 1989 Д1 вариант 17
Купить
$ 0.49

25.10.2021
1 продажа
Тарг С.М. 1989 К2 вариант 04
Купить
$ 0.49

17.10.2022
1 продажа
WEB-разработка ответы тесты Синергия
Купить
$ 2.08

07.03.2024
0 продаж
Ответы на ИДЗ 19.2 вариант 9 Рябушко часть 4
Купить
$ 0.95

28.11.2023
0 продаж
Кутуков Б.Н. 1990 Задача 4 вариант 011
Купить
$ 1.22

28.11.2023
0 продаж
Кутуков Б.Н. 1990 Задача 4 вариант 003
Купить
$ 0.98

05.03.2024
0 продаж
Ответы на ИДЗ 9.1 вариант 7 Рябушко часть 2
Купить
$ 1.03

17.06.2024
0 продаж
Тарг С.М. 1988 Д2 вариант 78
Купить
$ 0.49

18.06.2023
0 продаж
Тарг С.М. 1989 С1 вариант 21
Купить
$ 0.49

04.06.2023
0 продаж
Тарг С.М. 1989 К1 вариант 60
Купить
$ 0.49

20.05.2024
0 продаж
Тарг С.М. 1988 С2 вариант 28
Купить
$ 0.49

27.05.2024
0 продаж
Тарг С.М. 1988 С1 вариант 12
Купить
$ 0.49

10.06.2025
0 продаж
Тарг С.М. 1988 Д3 вариант 30
Купить
$ 0.49

03.07.2025
0 продаж
Тарг С.М. 1988 Д3 вариант 81
Купить
$ 0.48
26.10.2024
0 продаж
Ответы на ИДЗ 3.1 и 3.2 вариант 17 Рябушко часть 1
Купить
$ 1.1
26.10.2024
2 продажи
Ответы на ИДЗ 2.1 и 2.2 вариант 7 Рябушко часть 1
Купить
$ 1.2

01.08.2020
0 продаж
Вариант 25 ИДЗ 4.1 Решебник Рябушко часть 1
Купить
$ 0.9

21.02.2025
0 продаж
Вариант 23 ИДЗ 6.1 Решебник Рябушко часть 1
Купить
$ 1.57

18.01.2014
5 продаж
Вопрос 1 Сколько форм участия прокурора в суде первой и
Купить
$ 1.22
28.06.2013
5 продаж
Решение Д3 В22 (рисунок 2 условие 2) термех Тарг 1989
Купить
$ 0.8

26.07.2012
9 продаж
Вариант 45 Задача 1.2. РГР по ТОЭ "по Бессонову ..."
Купить
$ 2.44
18.07.2013
2 продажи
К2 Вариант 95 (рис.9 усл. 5) решение термех Тарг 1988г
Купить
$ 0.8
10.06.2013
8 продаж
Решение задачи К1 рис 5 усл 7 (вариант 57) Тарг С.М. 89
Купить
$ 0.8

29.06.2013
21 продажа
Арбитражный процесс контрольная с ответами,10 вопросов
Купить
$ 0.63

24.05.2013
5 продаж
Решение С2 рисунок 9 условие 5 (вариант 95) Тарг 1989
Купить
$ 0.8
24.05.2013
8 продаж
Решение С2 рисунок 2 условие 4 (вариант 24) Тарг 1989
Купить
$ 0.8
12.06.2013
7 продаж
Решение задачи К2 рис 4 усл 3 (вариант 43) Тарг С.М. 89
Купить
$ 0.8
08.07.2013
2 продажи
Решебник Тарг С.М. задача Д9 В53 (рис 5 усл 3) 1989 год
Купить
$ 0.8

10.01.2015
9 продаж
Административное право Задачи
Купить
$ 0.98
19.06.2013
2 продажи
Решение контрольной К3 рис 2 усл 8 (вариант 28) Тарг 89
Купить
$ 0.8

21.03.2014
8 продаж
Инвестиционные стратегии тест с ответами 50 вопросов
Купить
$ 0.3

21.02.2025
0 продаж
Вариант 17 ИДЗ 1.1 Решебник Рябушко часть 1
Купить
$ 0.49

18.02.2017
2 продажи
20 вариант идз 19.2 Рябушко А.П решение
Купить
$ 1.27
14.08.2012
27 продаж
Решение задачи 2.2 из раздела 3 УМФ автор Чудесенко ВФ
Купить
$ 0.75

23.09.2013
1 продажа
СТРАТЕГИЧЕСКИЙ МЕНЕДЖМЕНТ» вариант 2 (код МС 96-2)
Купить
$ 0.78