USSR SHOP »
Магазин »
Электронные книги »
Наука и образование »
Контрольные работы » Решение задачи 12.27 из раздела 3 УМФ автор Чудесенко В
Купить Решение задачи 12.27 из раздела 3 УМФ автор Чудесенко В
Обновлено: 2025-10-23 22:20:00

$ 0.75
5 продаж
Всего продаж: 5
✅ Методы оплаты: 











Описание товара:
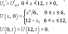
Решение задачи 12.27 (задача 12 вариант 27) по высшей математике из раздела: Уравнения Математической Физики (УМФ). Задачник: Чудесенко В.Ф. Сборник заданий по специальным курсам высшей математики (типовые расчеты). — Москва: Высшая школа. Решение подходит для изданий: 1983 (1994, 2005-2009) гг..
После оплаты вы получите архив zip. Решение выполнено в электронном виде и сохранено в виде картинки в формате tif. Открывается любой программой. Разрешение 300 dpi. Решение неоднократно сдавалось в ВУЗах России. Все недочёты исправлены.
Буду очень благодарна, если Вы оставите ПОЛОЖИТЕЛЬНЫЙ ОТЗЫВ после покупки.
СПАСИБО!
После оплаты вы получите архив zip. Решение выполнено в электронном виде и сохранено в виде картинки в формате tif. Открывается любой программой. Разрешение 300 dpi. Решение неоднократно сдавалось в ВУЗах России. Все недочёты исправлены.
Буду очень благодарна, если Вы оставите ПОЛОЖИТЕЛЬНЫЙ ОТЗЫВ после покупки.
СПАСИБО!
Изображения:
Вас могут заинтересовать:

04.03.2008
29 продаж
Контрольная работа РФЭИ Финансовый менеджмент л. 6
Купить
$ 5

21.08.2007
18 продаж
Контрольная РФЭИ Деловое общение
Купить
$ 1.37

01.02.2013
17 продаж
Политология тест 1 МЭИ
Купить
$ 0.39

14.01.2011
11 продаж
Определите круг субъектов арбитражного (2008)
Купить
$ 2

19.05.2016
4 продажи
Гарбузова КР1 Вариант 50
Купить
$ 1.95

19.06.2018
3 продажи
Решение КР2 из методички Гарбузовой Н.Е. Вариант 48
Купить
$ 3.91

30.07.2020
0 продаж
Экономическая теория. Контрольная работа
Купить
$ 4.4

05.08.2020
0 продаж
ПЗ. Таможенные процедуры.
Купить
$ 3.42

18.01.2020
0 продаж
Налоги и налогообложение. 7 вариант.
Купить
$ 4.88

05.08.2020
0 продаж
Задачи по теме №5
Купить
$ 2.93

27.10.2018
0 продаж
29 вариант. КР. Менеджмент.
Купить
$ 2.44

11.04.2023
2 продажи
Тарг С.М. 1989 Д1 вариант 01
Купить
$ 0.39

10.01.2016
2 продажи
Правоохранительные органы практическая
Купить
$ 0.78
07.03.2024
1 продажа
Ответы на ИДЗ 13.1 вариант 1 Рябушко часть 3
Купить
$ 1.4
05.03.2024
1 продажа
Ответы на ИДЗ 11.4 вариант 18 Рябушко часть 2
Купить
$ 1.1

17.06.2023
1 продажа
Тарг С.М. 1989 С1 вариант 36
Купить
$ 0.49

01.06.2023
1 продажа
Тарг С.М. 1989 К1 вариант 26
Купить
$ 0.39

10.03.2017
1 продажа
Решение КР №1 Вариант 67 химия Шиманович И.Л. 2001-2004
Купить
$ 2.05

07.03.2024
0 продаж
Ответы на ИДЗ 12.1 вариант 18 Рябушко часть 3
Купить
$ 0.95
07.03.2024
0 продаж
Ответы на ИДЗ 19.1 вариант 12 Рябушко часть 4
Купить
$ 1.2
05.03.2024
0 продаж
Ответы на ИДЗ 10.2 вариант 4 Рябушко часть 2
Купить
$ 1.1
07.03.2024
0 продаж
Ответы на ИДЗ 6.4 вариант 11 Рябушко часть 1
Купить
$ 1.1

05.03.2024
0 продаж
Ответы на ИДЗ 10.2 вариант 28 Рябушко часть 2
Купить
$ 0.87

12.06.2018
0 продаж
Кузнецов Л.А. 1983 Кратные интегралы вариант 3
Купить
$ 0.87

16.08.2022
0 продаж
Кутуков Б.Н. 1990 Задача 5 вариант 001
Купить
$ 1.22

28.07.2024
0 продаж
Тарг С.М. 1988 Д2 вариант 87
Купить
$ 0.49

23.11.2023
0 продаж
Тарг С.М. 1989 С4 вариант 88
Купить
$ 0.39

12.06.2023
0 продаж
Тарг С.М. 1989 Д1 вариант 21
Купить
$ 0.49

04.06.2023
0 продаж
Тарг С.М. 1989 К1 вариант 60
Купить
$ 0.49

23.04.2025
0 продаж
Тарг С.М. 1989 С2 вариант 71
Купить
$ 0.49

09.09.2020
0 продаж
Вариант 25 ИДЗ 11.3 Решебник Рябушко часть 2
Купить
$ 0.9

26.09.2020
0 продаж
Вариант 16 ИДЗ 8.1 Решебник Рябушко часть 2
Купить
$ 0.75

21.02.2025
0 продаж
Вариант 17 ИДЗ 11.3 Решебник Рябушко часть 2
Купить
$ 1.18

02.10.2014
1 продажа
Гидравлика и гидропневмопривод, к-р КНИТУ-КАИ Вар. 16
Купить
$ 8.57

05.07.2013
148 продаж
Трудовое право контрольная с ответами,10 заданий
Купить
$ 0.38
05.07.2013
3 продажи
Термех Тарг решение задачи Д7 В61 (рис 6 усл 1) 1989 г.
Купить
$ 0.8
15.08.2012
31 продажа
Решение задачи 12.15 из раздела 3 УМФ автор Чудесенко В
Купить
$ 0.75
05.06.2013
4 продажи
Решение задачи С4 рис 1 усл 6 (вар 16) Тарг С.М. 1989г
Купить
$ 0.8
12.06.2013
4 продажи
Решение задачи К2 рис 6 усл 3 (вариант 63) Тарг С.М. 89
Купить
$ 0.8
28.05.2013
4 продажи
ИФРУ Контрольная работа КФИ Вариант 1
Купить
$ 7.32
13.06.2013
6 продаж
Решение контрольной К3 рис 1 усл 2 (вариант 12) Тарг 89
Купить
$ 0.8
23.06.2013
7 продаж
Решение задачи К4 В60 (рисунок К4.6 условие 0) Тарг 89
Купить
$ 0.8

27.07.2012
5 продаж
Вариант 81 Задача 1.2. РГР по ТОЭ "по Бессонову ..."
Купить
$ 3.09

14.08.2012
13 продаж
Решение задачи 4.12(2005) 3 УМФ автор Чудесенко В.Ф.
Купить
$ 0.75
03.07.2013
2 продажи
Контрольная работа Д4 В51 (рис 5 усл 1) термех Тарг 89г
Купить
$ 0.8

05.07.2013
129 продаж
Семейное право онлайн тест с ответами, 50 вопросов
Купить
$ 0.38
12.07.2013
3 продажи
Задача С1 Вариант 05 (рис. 0 усл. 5) термех Тарг 1988 г
Купить
$ 0.8
15.08.2012
8 продаж
Решение задачи 10.21 из раздела 3 УМФ автор Чудесенко В
Купить
$ 0.75

21.02.2011
7 продаж
Эконометрика - контрольная вариант 6 ФИНЭК
Купить
$ 3.67

10.11.2012
1 продажа
Документационное обеспечение управления тест
Купить
$ 0.78