USSR SHOP »
Магазин »
Электронные книги »
Наука и образование »
Контрольные работы » Вариант 13 Задача 3.1. РГР по ТОЭ "по Бессонову ..."
Купить Вариант 13 Задача 3.1. РГР по ТОЭ "по Бессонову ..."
Описание товара:
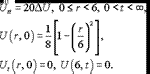
Расчётно-графическая работа по ТОЭ "Переходные процессы в линейных электрических цепях" по задачнику «Теоретические основы электротехники: Методические указания и контрольные задания для студентов технических специальностей вузов» / Л.А. Бессонов, И.Г. Демидова, М.Е. Заруди и др. – 3-е изд., испр. – М.: Высш. шк., 2003. с. 55-61, задача 3.1, вариант 13, рис. 3.6, табл. 3.1
Решение выполнено в программе MathCad. Решение задачи выполнено только классическим методом. Для того что бы распечатать решение задачи вам необходимо скачать и установить у себя на компьютере MathCad для открытия решения пригодна любая его версия. Внимательно сверьте исходные данные. Если цифры (величины сопротивлений, ЭДС) отличны от ваших – вводите свои данные, решение в MathCad автоматически изменяется (пересчитывается) при изменении исходных данных
Решение выполнено в программе MathCad. Решение задачи выполнено только классическим методом. Для того что бы распечатать решение задачи вам необходимо скачать и установить у себя на компьютере MathCad для открытия решения пригодна любая его версия. Внимательно сверьте исходные данные. Если цифры (величины сопротивлений, ЭДС) отличны от ваших – вводите свои данные, решение в MathCad автоматически изменяется (пересчитывается) при изменении исходных данных