USSR SHOP »
Магазин »
Электронные книги »
Наука и образование »
Контрольные работы » Решение задачи 5.13 из раздела 3 УМФ автор Чудесенко В
Купить Решение задачи 5.13 из раздела 3 УМФ автор Чудесенко В
Обновлено: 2025-10-23 09:43:20
$ 0.75
25 продаж
Всего продаж: 25
✅ Методы оплаты: 











Описание товара:
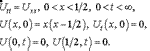
Решение задачи 5.13 (задача 5 вариант 13) по высшей математике из раздела: Уравнения Математической Физики (УМФ). Задачник: Чудесенко В.Ф. Сборник заданий по специальным курсам высшей математики (типовые расчеты). — Москва: Высшая школа. Решение подходит для изданий: 1983 (1994, 2005-2009) гг..
После оплаты вы получите архив zip. Решение выполнено в электронном виде и сохранено в виде картинки в формате tif. Открывается любой программой. Разрешение 300 dpi. Решение неоднократно сдавалось в ВУЗах России. Все недочёты исправлены.
Буду очень благодарна, если Вы оставите ПОЛОЖИТЕЛЬНЫЙ ОТЗЫВ после покупки.
СПАСИБО!
После оплаты вы получите архив zip. Решение выполнено в электронном виде и сохранено в виде картинки в формате tif. Открывается любой программой. Разрешение 300 dpi. Решение неоднократно сдавалось в ВУЗах России. Все недочёты исправлены.
Буду очень благодарна, если Вы оставите ПОЛОЖИТЕЛЬНЫЙ ОТЗЫВ после покупки.
СПАСИБО!
Изображения:
Вас могут заинтересовать:

17.08.2011
17 продаж
Тест Ценообразование в строительстве
Купить
$ 15

30.09.2013
18 продаж
Контрольная - Информационные системы в экономике - РФЭИ
Купить
$ 1.37

10.05.2015
18 продаж
Основы безопасности труда контрольная с ответами
Купить
$ 0.54

21.04.2018
7 продаж
МЭИ Информатика Тест 34 задания по 5 вопросов
Купить
$ 0.98

19.12.2012
5 продаж
арбитражный процесс контрольная
Купить
$ 0.98

16.05.2023
2 продажи
Институциональная экономика. Экзамен.
Купить
$ 4.88

27.10.2018
1 продажа
Практическая работа №1. Выбор интернет-провайдера для о
Купить
$ 4.88

24.10.2016
3 продажи
Управление проектами контрольная
Купить
$ 0.78

20.01.2021
0 продаж
Документационное обеспечение управления. 2 вариант.
Купить
$ 2.93

21.06.2023
0 продаж
Контрольная право ТГПУ Задание к теме 5
Купить
$ 5.86

16.08.2019
0 продаж
12 задач по мировой экономике
Купить
$ 5.37
27.10.2015
2 продажи
Контрольная Налоговое право
Купить
$ 2.47

05.02.2023
1 продажа
Рябушко ч. 2, Контр. Неопределенные интегралы вар. 27
Купить
$ 0.54

14.06.2023
1 продажа
Тарг С.М. 1989 С1 вариант 93
Купить
$ 0.49

31.05.2023
1 продажа
Тарг С.М. 1989 К1 вариант 17
Купить
$ 0.49

18.09.2021
1 продажа
Байарыст 2008 №12 вариант 2
Купить
$ 0.78

27.12.2016
1 продажа
Психология семьи тест, 30 вопросов с ответами
Купить
$ 0.74

15.01.2017
1 продажа
Вариант 5 ИДЗ 14.1 Решебник Рябушко часть 3
Купить
$ 0.83

07.03.2024
0 продаж
Ответы на ИДЗ 6.1 вариант 24 Рябушко часть 1
Купить
$ 1.11
05.03.2024
2 продажи
Ответы на ИДЗ 11.2 вариант 4 Рябушко часть 2
Купить
$ 1.2

18.08.2022
0 продаж
Кутуков Б.Н. 1990 Задача 5 вариант 555
Купить
$ 0.98

03.11.2023
0 продаж
Байарыст 2018-2 №1 вариант 7
Купить
$ 1.42

14.01.2024
0 продаж
Тарг С.М. 1989 К3 вариант 15
Купить
$ 0.39

03.01.2024
0 продаж
Тарг С.М. 1989 С3 вариант 55
Купить
$ 0.49

04.10.2023
0 продаж
Тарг С.М. 1988 Д2 вариант 36
Купить
$ 0.39

23.05.2024
0 продаж
Тарг С.М. 1988 С2 вариант 97
Купить
$ 0.39

23.05.2024
0 продаж
Тарг С.М. 1988 С2 вариант 96
Купить
$ 0.49

29.05.2024
0 продаж
Тарг С.М. 1988 С1 вариант 55
Купить
$ 0.49

15.11.2024
0 продаж
Байарыст 2018-1 №2 вариант 28
Купить
$ 0.33

23.10.2023
0 продаж
Байарыст 2018-1 №5 вариант 16
Купить
$ 0.37

26.10.2024
0 продаж
Ответы на ИДЗ 3.1 и 3.2 вариант 14 Рябушко часть 1
Купить
$ 0.87

01.08.2020
0 продаж
Вариант 21 ИДЗ 5.2 Решебник Рябушко часть 1
Купить
$ 0.83

21.02.2025
0 продаж
Вариант 30 ИДЗ 2.1 Решебник Рябушко часть 1
Купить
$ 0.69

21.02.2025
0 продаж
Вариант 28 ИДЗ 9.1 Решебник Рябушко часть 2
Купить
$ 1.27
22.07.2012
12 продаж
Вариант 60 Задача 1.1. РГР по ТОЭ "по Бессонову ..."
Купить
$ 2.44

27.09.2012
23 продажи
7 таблиц по политологии
Купить
$ 47.84
20.06.2013
4 продажи
Решение контрольной К3 рис 9 усл 2 (вариант 92) Тарг 89
Купить
$ 0.8
26.06.2013
2 продажи
Задача Д2 В48 (рисунок 4 условие 8) теормех Тарг 1989г
Купить
$ 0.8
26.06.2013
4 продажи
Решение Д1 В89 (рисунок Д1.8 условие 9) термех Тарг 89
Купить
$ 0.8
26.06.2013
4 продажи
Решение Д1 В70 (рисунок Д1.7 условие 0) термех Тарг 89
Купить
$ 0.8

05.07.2013
3 продажи
Учет и анализ банкротств контрольная вариант 10
Купить
$ 0.51
23.06.2013
2 продажи
Решение задачи К4 В42(рисунок К4.4 условие 2) Тарг 89
Купить
$ 0.8

05.07.2013
35 продаж
Русский язык и культура речи контрольная
Купить
$ 0.3
06.07.2013
3 продажи
Решение задачи Д8 В06 (рис 0 усл 6) теормех Тарг 1989 г
Купить
$ 0.8

05.07.2013
2 продажи
Религиоведение семинар с ответами, 108 вопросов
Купить
$ 0.51

05.07.2013
69 продаж
Риторика контрольная работа с ответами 10 вопросов
Купить
$ 0.3
03.07.2013
5 продаж
Контрольная работа Д4 В24 (рис 2 усл 4) термех Тарг 89г
Купить
$ 0.8

22.06.2014
3 продажи
Бухгалтерская отчетность практическая с ответами, 10 з.
Купить
$ 0.54

31.07.2020
0 продаж
Вариант 16 ИДЗ 1.1 Решебник Рябушко часть 1
Купить
$ 0.38

15.08.2012
23 продажи
Решение задачи 9.20 из раздела 3 УМФ автор Чудесенко В
Купить
$ 0.75
1 отзыв