USSR SHOP »
Магазин »
Электронные книги »
Наука и образование »
Контрольные работы » Решение задачи 5.16 из раздела 3 УМФ автор Чудесенко В
Купить Решение задачи 5.16 из раздела 3 УМФ автор Чудесенко В
Обновлено: 2025-10-24 00:02:01

$ 0.75
10 продаж
Всего продаж: 10
✅ Методы оплаты: 











Описание товара:
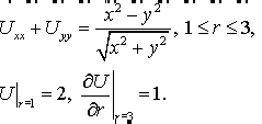
Решение задачи 5.16 (задача 5 вариант 16) по высшей математике из раздела: Уравнения Математической Физики (УМФ). Задачник: Чудесенко В.Ф. Сборник заданий по специальным курсам высшей математики (типовые расчеты). — Москва: Высшая школа. Решение подходит для изданий: 1983 (1994, 2005-2009) гг..
После оплаты вы получите архив zip. Решение выполнено в электронном виде и сохранено в виде картинки в формате tif. Открывается любой программой. Разрешение 300 dpi. Решение неоднократно сдавалось в ВУЗах России. Все недочёты исправлены.
Буду очень благодарна, если Вы оставите ПОЛОЖИТЕЛЬНЫЙ ОТЗЫВ после покупки.
СПАСИБО!
После оплаты вы получите архив zip. Решение выполнено в электронном виде и сохранено в виде картинки в формате tif. Открывается любой программой. Разрешение 300 dpi. Решение неоднократно сдавалось в ВУЗах России. Все недочёты исправлены.
Буду очень благодарна, если Вы оставите ПОЛОЖИТЕЛЬНЫЙ ОТЗЫВ после покупки.
СПАСИБО!
Изображения:
Вас могут заинтересовать:

17.05.2011
24 продажи
Контрольная РФЭИ Бухгалтерская ф. отчетность Арт-Печать
Купить
$ 2.2

13.10.2011
15 продаж
МФПА. Практика оценки машин. тест
Купить
$ 2.5

18.12.2015
8 продаж
Административное право онлайн тест,оценка 4
Купить
$ 1.08
12.10.2020
4 продажи
Расчетно-графическая работа 1. Вариант 27 Сетков В.И.
Купить
$ 1.22

10.07.2019
1 продажа
Менеджмент. 23 вариант. Итоговый.
Купить
$ 6.35

10.07.2019
0 продаж
Менеджмент. Кейс 2. ИСУ.
Купить
$ 3.91

16.08.2019
0 продаж
Деловые коммуникации. 2 задание.
Купить
$ 3.91

27.10.2018
0 продаж
3 задания по антикризисному менеджменту.
Купить
$ 3.91

05.08.2020
0 продаж
Геоинформатика. 3-й вариант. КР2.
Купить
$ 4.88

17.07.2019
0 продаж
Вариант 2. Кейс. Подготовка рекламного и PR текста.
Купить
$ 4.88

22.07.2021
0 продаж
Основные понятия и методы. Задачи по теме №1.
Купить
$ 2.93

27.10.2018
0 продаж
Золотая Русь. Задание 10.2.
Купить
$ 2.93

27.10.2018
0 продаж
Лабораторный практикум 1. Вариант №2.
Купить
$ 2.93

11.04.2023
2 продажи
Тарг С.М. 1989 Д1 вариант 01
Купить
$ 0.39

12.01.2017
1 продажа
Вариант 2 ИДЗ 18.2 Решебник Рябушко часть 4
Купить
$ 1.13
07.03.2024
0 продаж
Ответы на ИДЗ 6.2 вариант 6 Рябушко часть 1
Купить
$ 1.2

23.01.2024
0 продаж
Кутуков Б.Н. 1990 Задача 4 вариант 103
Купить
$ 0.98

19.01.2024
0 продаж
Кутуков Б.Н. 1990 Задача 4 вариант 026
Купить
$ 1.22

03.11.2023
0 продаж
Байарыст 2018-2 №1 вариант 2
Купить
$ 1.41

22.09.2023
0 продаж
Тарг С.М. 1988 Д2 вариант 11
Купить
$ 0.49

15.06.2023
0 продаж
Тарг С.М. 1989 С1 вариант 87
Купить
$ 0.49

08.06.2023
0 продаж
Тарг С.М. 1989 Д1 вариант 80
Купить
$ 0.49

27.05.2024
0 продаж
Тарг С.М. 1988 С1 вариант 09
Купить
$ 0.49

13.05.2024
0 продаж
Тарг С.М. 1988 С2 вариант 05
Купить
$ 0.39

29.07.2023
0 продаж
Тарг С.М. 1988 К3 вариант 18
Купить
$ 0.49

26.01.2025
0 продаж
Тарг С.М. 1989 С2 вариант 05
Купить
$ 0.49

25.01.2022
0 продаж
Байарыст 2008 №8 вариант 26
Купить
$ 0.85

21.02.2025
0 продаж
Вариант 28 ИДЗ 8.4 Решебник Рябушко часть 2
Купить
$ 1.57
10.06.2025
0 продаж
Ответы на ИДЗ 12.3 вариант 13 Рябушко часть 3
Купить
$ 1.5

15.02.2020
0 продаж
Контрольная работа №1-5 вариант Основы экономики
Купить
$ 2.44

12.07.2022
0 продаж
Тарг С.М. 1988 Д1 вариант 33
Купить
$ 0.49

15.11.2024
0 продаж
Байарыст 2018-1 №2 вариант 19
Купить
$ 0.33

04.11.2022
0 продаж
Байарыст 2008 №2 вариант 20
Купить
$ 0.33

04.11.2022
0 продаж
Байарыст 2008 №2 вариант 14
Купить
$ 0.26

02.08.2020
0 продаж
Вариант 24 ИДЗ 12.3 Решебник Рябушко часть 3
Купить
$ 1.2

21.02.2025
0 продаж
Вариант 26 ИДЗ 15.2 Решебник Рябушко часть 3
Купить
$ 1.18
04.07.2013
3 продажи
Решение Д6 В99 (рис 9 усл 9) термех Тарг С.М. 1989 г.
Купить
$ 0.8
14.08.2011
4 продажи
СПбГУТ контрольная по ФОЭ вариант 25
Купить
$ 7.35
24.06.2013
8 продаж
Решение Д1 В10 (рисунок Д1.1 условие 0) термех Тарг 89
Купить
$ 0.8
22.06.2012
2 продажи
РГР № 4 по "Электротехнике и электронике" КГТУ вар 14
Купить
$ 9.8
22.07.2013
1 продажа
Решение Д4 Вариант 33 (рис. 3 усл. 3) термех Тарг 1988г
Купить
$ 0.8
24.05.2013
3 продажи
Решение С2 рисунок 7 условие 7 (вариант 77) Тарг 1989
Купить
$ 0.8
24.05.2013
6 продаж
Решение С2 рисунок 6 условие 4 (вариант 64) Тарг 1989
Купить
$ 0.8

05.07.2013
13 продаж
Финансовая политика контрольная с ответами 10 вопросов
Купить
$ 0.51

29.03.2013
6 продаж
Международное право - МПР, вариант 1
Купить
$ 0.61

23.10.2013
4 продажи
18 Задача по химии № 18
Купить
$ 3.09

20.02.2015
1 продажа
Аудит КузГТУ задача 3 вариант 23
Купить
$ 0.61

24.05.2013
1 продажа
Решение С2 рисунок 3 условие 5 (вариант 35) Тарг 1989
Купить
$ 0.8
14.08.2012
11 продаж
Решение задачи 13.11 из раздела 3 УМФ автор Чудесенко В
Купить
$ 0.75
14.08.2012
7 продаж
Решение задачи 15.3 из раздела 3 УМФ автор Чудесенко ВФ
Купить
$ 0.75