USSR SHOP »
Магазин »
Электронные книги »
Наука и образование »
Математика » ИДЗ 9.1 – Вариант 16. Решения Рябушко А.П.
Купить ИДЗ 9.1 – Вариант 16. Решения Рябушко А.П.
Обновлено: 2025-10-23 22:07:57
$ 0.98
6 продаж
Всего продаж: 6
✅ Методы оплаты: 








Описание товара:
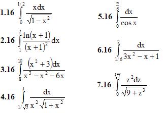
1. Вычислить определенные интегралы с точностью до двух знаков после запятой. (1-7)
2. Вычислить несобственные интегралы или доказать их расходимость: (1-2)
Подробное решение. Оформлено в Microsoft Word 2003 (Задание решено с использованием редактора формул)
Для удобства просмотра решений ИДЗ на смартфонах, высылается дополнительно файл в PDF-формате
2. Вычислить несобственные интегралы или доказать их расходимость: (1-2)
Подробное решение. Оформлено в Microsoft Word 2003 (Задание решено с использованием редактора формул)
Для удобства просмотра решений ИДЗ на смартфонах, высылается дополнительно файл в PDF-формате
Изображения:
Вас могут заинтересовать:

31.03.2024
48 продаж
Рябушко А.П. ИДЗ 11.2 Вариант 18
Купить
$ 0.48
26.05.2024
37 продаж
ИДЗ Рябушко 12.1 Вариант 6
Купить
$ 1.1

26.05.2022
29 продаж
Рябушко А.П. ИДЗ 4.2 вариант 22
Купить
$ 0.32

10.06.2022
21 продажа
Рябушко А.П. ИДЗ 15.1 Вариант 13
Купить
$ 0.45

19.05.2022
21 продажа
Рябушко А.П. ИДЗ 13.2 вариант 20
Купить
$ 0.46

12.04.2024
17 продаж
Рябушко А.П. ИДЗ 11.4 Вариант 24
Купить
$ 0.38

22.05.2022
16 продаж
Рябушко А.П. ИДЗ 13.3 вариант 14
Купить
$ 0.46
28.10.2020
14 продаж
ИДЗ 9.1 – Вариант 8. Решения Рябушко А.П.
Купить
$ 0.98

09.09.2020
13 продаж
ИДЗ 11.3 – Вариант 14. Решения Рябушко А.П.
Купить
$ 0.9
14.05.2024
11 продаж
ИДЗ Рябушко 8.4 Вариант 19
Купить
$ 1.1

19.09.2023
10 продаж
Вариант 1 ИДЗ 2.2
Купить
$ 0.59

09.04.2024
8 продаж
ИДЗ Рябушко 2.2 Вариант 19
Купить
$ 0.72
20.09.2023
7 продаж
Вариант 22 ИДЗ 3.1
Купить
$ 0.75
18.10.2023
6 продаж
Вариант 17 ИДЗ 12.2
Купить
$ 1.34

26.10.2023
6 продаж
Вариант 20 ИДЗ 15.1
Купить
$ 0.71
16.07.2020
7 продаж
ИДЗ 6.3 – Вариант 9. Решения Рябушко А.П.
Купить
$ 1.07
09.10.2023
5 продаж
Вариант 15 ИДЗ 5.2
Купить
$ 0.89

12.02.2022
6 продаж
Айдос_УТ3_1V08
Купить
$ 0.52
24.04.2024
4 продажи
ИДЗ Рябушко 3.2 Вариант 26
Купить
$ 0.76
25.09.2020
4 продажи
ИДЗ 8.1 – Вариант 28. Решения Рябушко А.П.
Купить
$ 0.74

14.10.2023
2 продажи
Вариант 19 ИДЗ 9.3
Купить
$ 0.59
30.06.2024
2 продажи
ИДЗ Рябушко 19.1 Вариант 27
Купить
$ 1.53

03.02.2023
2 продажи
Рябушко ч. 1, Контр. Производные вар. 9
Купить
$ 0.39

09.07.2025
2 продажи
ИДЗ 11.4 – Вариант 29. Решения Рябушко А.П.
Купить
$ 1.16

09.11.2016
2 продажи
ИДЗ 15.1 – Вариант 7. Решения Рябушко А.П.
Купить
$ 0.98
08.07.2020
2 продажи
ИДЗ 6.1 – Вариант 26. Решения Рябушко А.П.
Купить
$ 1.15

30.09.2016
1 продажа
10 вариант идз 6.4 Рябушко А.П решение
Купить
$ 1.27
22.12.2022
1 продажа
ИДЗ 14.2 - Вариант 13 - Рябушко (сборник №3)
Купить
$ 1.11
03.12.2022
1 продажа
ИДЗ 1.1 - Вариант 13 - Рябушко (сборник №1)
Купить
$ 1.04
16.12.2022
1 продажа
ИДЗ 11.2 - Вариант 30 - Рябушко (сборник №2)
Купить
$ 0.98
10.12.2022
1 продажа
ИДЗ 8.3 - Вариант 21 - Рябушко (сборник №2)
Купить
$ 0.99
13.12.2022
1 продажа
ИДЗ 10.1 - Вариант 24 - Рябушко (сборник №2)
Купить
$ 0.98
10.12.2022
1 продажа
ИДЗ 8.2 - Вариант 19 - Рябушко (сборник №2)
Купить
$ 0.98

10.08.2020
0 продаж
ИДЗ 3.2 вариант 27 сборник ИДЗ Рябушко
Купить
$ 0.74
09.06.2025
0 продаж
Ответы на ИДЗ 1.1 и 1.2 вариант 22 Рябушко часть 1
Купить
$ 1.1

13.04.2023
0 продаж
Задача N5418 теория вероятностей доверительный интервал
Купить
$ 0.32

28.03.2023
0 продаж
Решение задачи N5110 теория вероятностей
Купить
$ 0.32
14.12.2020
4 продажи
Задача 15.18 из раздела 11 УМФ автор Кузнецов Л.А. 2005
Купить
$ 0.58

01.07.2016
1 продажа
ИДЗ 12.1 - Вариант 11 - Рябушко А. П. (сборник №3)
Купить
$ 1.09

20.11.2017
2 продажи
Решение задачи N1438 теория вероятностей Бернулли
Купить
$ 0.25

29.10.2015
1 продажа
9 вариант идз 12.1 Рябушко А.П решение
Купить
$ 1.28

17.05.2017
17 продаж
Решение задачи N353 теория вероятностей Лапласа
Купить
$ 0.32

04.05.2017
3 продажи
Решение задачи N152 теория вероятностей Лапласа
Купить
$ 0.25

15.11.2015
1 продажа
11 вариант идз 1.1 Рябушко А.П решение
Купить
$ 1.28

07.01.2017
0 продаж
28 вариант идз 6.4 Рябушко А.П решение
Купить
$ 1.03

27.10.2018
0 продаж
Решение задачи N2922 теория вероятностей
Купить
$ 0.32

19.12.2018
0 продаж
Решение задачи N3502 теория вероятностей Бернулли
Купить
$ 0.32

11.07.2020
0 продаж
Решение задачи N4254 теория вероятностей Байеса
Купить
$ 0.32

20.07.2011
10 продаж
Чудесенко В. решение задачи 20.25 из раздела ТФКП и ОИ
Купить
$ 0.25
20.07.2011
2 продажи
Чудесенко В. решение задачи 18.21 из раздела ТФКП и ОИ
Купить
$ 0.25