USSR SHOP »
Магазин »
Электронные книги »
Наука и образование »
Математика » ИДЗ 5.2 – Вариант 29. Решения Рябушко А.П.
Купить ИДЗ 5.2 – Вариант 29. Решения Рябушко А.П.
Обновлено: 2025-10-24 00:07:13
$ 0.66
4 продажи
Всего продаж: 4
✅ Методы оплаты: 








Описание товара:
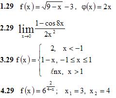
1. Доказать, что функции f(x) и φ(x) при x→0 являются бесконечно малыми одного порядка малости.
2. Найти пределы, используя эквивалентные бесконечно малые функции.
3. Исследовать данные функции на непрерывность и построить их графики.
4. Исследовать данные функции на непрерывность в указанных точках
Подробное решение. Оформлено в Microsoft Word 2003 (Задание решено с использованием редактора формул)
Для удобства просмотра решений ИДЗ на смартфонах, высылается дополнительно файл в PDF-формате
2. Найти пределы, используя эквивалентные бесконечно малые функции.
3. Исследовать данные функции на непрерывность и построить их графики.
4. Исследовать данные функции на непрерывность в указанных точках
Подробное решение. Оформлено в Microsoft Word 2003 (Задание решено с использованием редактора формул)
Для удобства просмотра решений ИДЗ на смартфонах, высылается дополнительно файл в PDF-формате
Изображения:
Вас могут заинтересовать:

08.09.2021
16 продаж
Рябушко А.П. ИДЗ 9.1 Вариант 27
Купить
$ 0.61

08.07.2022
16 продаж
Рябушко А.П. ИДЗ 12.2 вариант 24
Купить
$ 0.65

11.05.2022
16 продаж
Рябушко А.П. ИДЗ 13.3 вариант 6
Купить
$ 0.46

09.07.2025
14 продаж
ИДЗ 9.2 – Вариант 18. Решения Рябушко А.П.
Купить
$ 1.05

23.12.2023
13 продаж
Рябушко А.П. ИДЗ 1.2 вариант 27
Купить
$ 0.34
29.10.2023
7 продаж
ИДЗ Часть 1 Вариант 14
Купить
$ 8.68
26.06.2024
11 продаж
ИДЗ Рябушко 15.1 Вариант 3
Купить
$ 0.84

30.10.2023
9 продаж
ИДЗ Рябушко 1.1 Вариант 9
Купить
$ 0.6
14.05.2024
8 продаж
ИДЗ Рябушко 8.2 Вариант 22
Купить
$ 1.1
17.05.2024
8 продаж
ИДЗ Рябушко 11.4 Вариант 23
Купить
$ 0.72
14.10.2023
8 продаж
Вариант 9 ИДЗ 9.2
Купить
$ 0.88

13.10.2023
5 продаж
Вариант 10 ИДЗ 8.2
Купить
$ 0.71
03.05.2022
2 продажи
ИДЗ Часть 4 Вариант 24
Купить
$ 5.74

14.10.2023
3 продажи
Вариант 30 ИДЗ 8.3
Купить
$ 0.94

15.09.2020
4 продажи
ИДЗ 11.4 – Вариант 11. Решения Рябушко А.П.
Купить
$ 0.9
28.06.2024
2 продажи
ИДЗ Рябушко 16.2 Вариант 9
Купить
$ 1.67

28.10.2023
1 продажа
Вариант 19 ИДЗ 16.2
Купить
$ 1.06

03.07.2016
3 продажи
ИДЗ 16.1 - Вариант 1 - Рябушко А. П. (сборник №4)
Купить
$ 1.61
02.06.2020
2 продажи
КР Дифф. уравнения Вариант 13
Купить
$ 1.37

28.10.2023
1 продажа
Вариант 29 ИДЗ 15.2
Купить
$ 0.71

25.11.2022
2 продажи
Рябушко ч. 2, Контр. Неопределенные интегралы вар. 1
Купить
$ 0.54
28.10.2023
0 продаж
Вариант 28 ИДЗ 18.1
Купить
$ 1.18
29.05.2024
0 продаж
ИДЗ Рябушко 13.3 Вариант 28
Купить
$ 0.86
03.12.2022
1 продажа
ИДЗ 1.1 - Вариант 27 - Рябушко (сборник №1)
Купить
$ 1.04
22.12.2022
1 продажа
ИДЗ 15.2 - Вариант 10 - Рябушко (сборник №3)
Купить
$ 0.96
17.12.2022
1 продажа
ИДЗ 11.4 - Вариант 20 - Рябушко (сборник №2)
Купить
$ 0.99

14.03.2024
0 продаж
Айдос_15_УТ10_1V28
Купить
$ 0.86

09.05.2023
0 продаж
Задача N5735 теория вероятностей интервальная оценка
Купить
$ 0.32

05.03.2023
0 продаж
Решение задачи N4761 теория вероятностей
Купить
$ 0.16

08.02.2016
1 продажа
ИДЗ 8.3 - Вариант 6 - Рябушко А. П. (сборник №2)
Купить
$ 0.87

03.10.2017
5 продаж
Решение задачи N1006 теория вероятностей Лапласа
Купить
$ 0.25

12.11.2015
1 продажа
17 вариант идз 13.2 Рябушко А.П решение
Купить
$ 1.02

08.06.2017
9 продаж
Решение задачи N37 теория вероятностей Чебышева
Купить
$ 0.16

11.05.2017
5 продаж
Решение задачи N252 теория вероятностей Лапласа
Купить
$ 0.25

22.05.2017
15 продаж
Решение задачи N419 теория вероятностей Лапласа
Купить
$ 0.32

22.05.2017
5 продаж
Решение задачи N443 теория вероятностей Лапласа
Купить
$ 0.25

26.09.2018
1 продажа
Решение задачи N2287 теория вероятностей Лапласа
Купить
$ 0.32

23.11.2018
0 продаж
Решение задачи N3418 теория вероятностей
Купить
$ 0.32

23.11.2018
0 продаж
Решение задачи N3447 теория вероятностей
Купить
$ 0.32

01.11.2023
0 продаж
Решение задачи N3219 теория вероятностей Бернулли
Купить
$ 0.32

08.02.2019
1 продажа
Решение задачи N3878 теория вероятностей Байеса
Купить
$ 0.32

18.04.2019
1 продажа
Решение задачи N4194 теория вероятностей Лапласа
Купить
$ 0.32

03.08.2020
0 продаж
Решение задачи N4437 теория вероятностей
Купить
$ 0.21

03.08.2020
0 продаж
Решение задачи N4407 теория вероятностей
Купить
$ 0.32
15.07.2011
6 продаж
Чудесенко В.Ф. решение задачи 22.5 из раздела ТФКП и ОИ
Купить
$ 0.25
20.07.2011
4 продажи
Чудесенко В. решение задачи 15.19 из раздела ТФКП и ОИ
Купить
$ 0.25
20.07.2011
15 продаж
Чудесенко В. решение задачи 6.17 из раздела ТФКП и ОИ
Купить
$ 0.25
18.07.2011
24 продажи
Чудесенко В.Ф. решение задачи 8.10 из раздела ТФКП и ОИ
Купить
$ 0.25
20.07.2011
8 продаж
Чудесенко В. решение задачи 22.16 из раздела ТФКП и ОИ
Купить
$ 0.25

25.07.2011
5 продаж
Чудесенко В. решение задачи 13.28 из раздела ТФКП и ОИ
Купить
$ 0.25