USSR SHOP »
Магазин »
Электронные книги »
Наука и образование »
Математика » ИДЗ 16.3 – Вариант 8. Решения Рябушко А.П.
Купить ИДЗ 16.3 – Вариант 8. Решения Рябушко А.П.
Обновлено: 2025-10-23 09:42:50
$ 0.84
3 продажи
Всего продаж: 3
✅ Методы оплаты: 








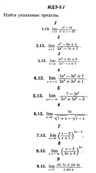
Описание товара:
1. Найти изображение по графику оригинала.
2. Вычислить несобственный интеграл с помощью предельных теорем.
Подробное решение. Оформлено в PDF-формате для удобства просмотра решений ИДЗ на смартфонах и ПК.
В MS Word (doc-формате) высылается дополнительно.
2. Вычислить несобственный интеграл с помощью предельных теорем.
Подробное решение. Оформлено в PDF-формате для удобства просмотра решений ИДЗ на смартфонах и ПК.
В MS Word (doc-формате) высылается дополнительно.
Изображения:
Вас могут заинтересовать:

05.09.2021
40 продаж
Рябушко А.П. ИДЗ 6.1 вариант 2
Купить
$ 0.66

27.04.2021
22 продажи
Рябушко А.П. ИДЗ 18.1 вариант 22
Купить
$ 0.62
25.09.2014
16 продаж
ИДЗ 12.3 – Вариант 2. Решения Рябушко А.П.
Купить
$ 1.15
24.10.2023
14 продаж
Вариант 10 ИДЗ 13.1
Купить
$ 1.18

27.07.2022
14 продаж
Рябушко А.П. ИДЗ 19.1 вариант 13
Купить
$ 0.63

15.06.2020
12 продаж
ИДЗ 2.2 – Вариант 5. Решения Рябушко А.П.
Купить
$ 0.57

23.04.2024
10 продаж
ИДЗ Рябушко 3.2 Вариант 3
Купить
$ 0.6

29.10.2023
3 продажи
ИДЗ Часть 1 Вариант 21
Купить
$ 6.92

13.10.2023
6 продаж
Вариант 21 ИДЗ 8.1
Купить
$ 0.71

12.04.2020
1 продажа
ИДЗ Часть 2 Вариант 13
Купить
$ 8.09

12.10.2023
3 продажи
Вариант 18 ИДЗ 6.3
Купить
$ 0.71

11.02.2022
4 продажи
Айдос_УТ2_3V08
Купить
$ 0.28

13.05.2024
3 продажи
ИДЗ Рябушко 6.4 Вариант 29
Купить
$ 0.84

30.11.2016
3 продажи
ИДЗ 13.3 – Вариант 7. Решения Рябушко А.П.
Купить
$ 0.9
02.06.2020
1 продажа
КР Дифф. уравнения Вариант 12
Купить
$ 1.37
12.12.2022
1 продажа
ИДЗ 9.3 - Вариант 18 - Рябушко (сборник №2)
Купить
$ 1.18
09.12.2022
1 продажа
ИДЗ 6.3 - Вариант 27 - Рябушко (сборник №1)
Купить
$ 1.08
06.12.2022
1 продажа
ИДЗ 5.1 - Вариант 13 - Рябушко (сборник №1)
Купить
$ 0.99
17.12.2022
1 продажа
ИДЗ 11.3 - Вариант 1 - Рябушко (сборник №2)
Купить
$ 0.96
14.05.2024
0 продаж
ИДЗ Рябушко 9.2 Вариант 30
Купить
$ 0.92

31.03.2024
0 продаж
Айдос_15_УТ10_2V15
Купить
$ 0.44

09.03.2021
0 продаж
Все ИДЗ 1 варианта - Рябушко А. П. (сборник №1)
Купить
$ 5.66

08.12.2015
0 продаж
3 вариант идз 5.2 Рябушко А.П решение
Купить
$ 1.02

16.08.2020
0 продаж
ИДЗ 5.2 вариант 13 сборник ИДЗ Рябушко
Купить
$ 1.18

19.04.2023
0 продаж
Задача N5517 теория вероятностей доверительный интервал
Купить
$ 0.32

11.04.2023
0 продаж
Задача N5375 теория вероятностей доверительный интервал
Купить
$ 0.32

06.04.2023
0 продаж
Решение задачи N5293 теория вероятностей
Купить
$ 0.25
01.06.2016
1 продажа
Задача 14.10 из раздела 11 УМФ автор Кузнецов Л.А. 2005
Купить
$ 0.58

15.10.2017
1 продажа
Решение задачи N1165 теория вероятностей Лапласа
Купить
$ 0.32

04.07.2015
0 продаж
13 вариант идз 11.4 Рябушко А.П решение
Купить
$ 1.02

08.06.2017
1 продажа
Решение задачи N555 теория вероятностей Лапласа
Купить
$ 0.25

03.10.2017
2 продажи
Решение задачи N1048 теория вероятностей Лапласа
Купить
$ 0.25

03.10.2017
2 продажи
Решение задачи N1050 теория вероятностей Лапласа
Купить
$ 0.32

04.09.2017
1 продажа
Решение задачи N715 теория вероятностей Лапласа
Купить
$ 0.25

03.05.2017
1 продажа
Решение задачи N136 теория вероятностей Лапласа
Купить
$ 0.25

19.10.2015
1 продажа
7 вариант идз 11.3 Рябушко А.П решение
Купить
$ 1.27

09.11.2015
1 продажа
15 вариант идз 15.1 Рябушко А.П решение
Купить
$ 1.03

15.10.2015
2 продажи
15 вариант идз 11.3 Рябушко А.П решение
Купить
$ 1.03

17.10.2017
2 продажи
Решение задачи N1223 теория вероятностей Лапласа
Купить
$ 0.32

22.09.2017
1 продажа
Решение задачи N942 теория вероятностей Лапласа
Купить
$ 0.25

12.10.2018
0 продаж
Решение задачи N2553 теория вероятностей
Купить
$ 0.32

06.11.2018
0 продаж
Решение задачи N3199 теория вероятностей Бернулли схема
Купить
$ 0.16

23.11.2018
0 продаж
Решение задачи N3443 теория вероятностей
Купить
$ 0.32

02.11.2018
0 продаж
Решение задачи N3094 теория вероятностей
Купить
$ 0.32

26.11.2018
0 продаж
Решение задачи N3497 теория вероятностей Бернулли
Купить
$ 0.32

22.07.2020
0 продаж
Решение задачи N4350 теория вероятностей
Купить
$ 0.17
20.07.2011
7 продаж
Чудесенко В. решение задачи 13.25 из раздела ТФКП и ОИ
Купить
$ 0.25
20.07.2011
14 продаж
Чудесенко В. решение задачи 1.18 из раздела ТФКП и ОИ
Купить
$ 0.25
15.07.2011
16 продаж
Чудесенко В.Ф. решение задачи 17.8 из раздела ТФКП и ОИ
Купить
$ 0.25
20.07.2011
15 продаж
Чудесенко В. решение задачи 3.14 из раздела ТФКП и ОИ
Купить
$ 0.25