USSR SHOP »
Магазин »
Электронные книги »
Наука и образование »
Математика » ИДЗ 14.1 – Вариант 5. Решения Рябушко А.П.
Купить ИДЗ 14.1 – Вариант 5. Решения Рябушко А.П.
Обновлено: 2025-10-23 19:33:57

$ 0.82
7 продаж
Всего продаж: 7
✅ Методы оплаты: 








Описание товара:
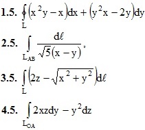
1. Вычислить данные криволинейные интегралы (1-4)
, где L – дуга эллипса x = 3cost, y = 2sint при положительном направлении обхода.
, где LAB – отрезок прямой, заключенный между точками A(0, 4) и B(4, 0)
, где L – первый виток конической винтовой линии x = tcost, y = tsint, z = t.
, где LOA – дуга параболы z = x2/4 от точки O(0, 0, 0) до точки A(2, 0, 1).
Подробное решение. Оформлено в Microsoft Word 2003 (Задание решено с использованием редактора формул)
Для удобства просмотра решений ИДЗ на смартфонах, высылается дополнительно файл в PDF-формате
, где L – дуга эллипса x = 3cost, y = 2sint при положительном направлении обхода.
, где LAB – отрезок прямой, заключенный между точками A(0, 4) и B(4, 0)
, где L – первый виток конической винтовой линии x = tcost, y = tsint, z = t.
, где LOA – дуга параболы z = x2/4 от точки O(0, 0, 0) до точки A(2, 0, 1).
Подробное решение. Оформлено в Microsoft Word 2003 (Задание решено с использованием редактора формул)
Для удобства просмотра решений ИДЗ на смартфонах, высылается дополнительно файл в PDF-формате
Изображения:
Вас могут заинтересовать:

01.03.2022
39 продаж
Рябушко А.П. ИДЗ 10.1 Вариант 10
Купить
$ 0.71

09.11.2024
32 продажи
Рябушко А.П. ИДЗ 4.1 вариант 2
Купить
$ 0.37
25.06.2024
25 продаж
ИДЗ Рябушко 14.1 Вариант 12
Купить
$ 0.72
16.07.2020
15 продаж
ИДЗ 6.3 – Вариант 15. Решения Рябушко А.П.
Купить
$ 1.07
22.08.2014
15 продаж
ИДЗ 12.2 – Вариант 21. Решения Рябушко А.П.
Купить
$ 1.15

13.10.2023
13 продаж
Вариант 12 ИДЗ 8.2
Купить
$ 0.71

30.09.2023
13 продаж
Вариант 3 ИДЗ 5.1
Купить
$ 0.59

17.02.2023
13 продаж
ИДЗ 9.2 – Вариант 22. Решения Рябушко А.П.
Купить
$ 0.82
24.10.2023
10 продаж
Вариант 16 ИДЗ 13.1
Купить
$ 1.19
23.09.2020
12 продаж
ИДЗ 8.1 – Вариант 15. Решения Рябушко А.П.
Купить
$ 0.74
10.09.2023
10 продаж
Вариант 13 ИДЗ 1.2
Купить
$ 0.89

02.11.2024
11 продаж
РАП ИДЗ 2.1 вариант 26
Купить
$ 0.4
13.06.2020
11 продаж
ИДЗ 1.2 – Вариант 10. Решения Рябушко А.П.
Купить
$ 0.66

08.07.2025
9 продаж
ИДЗ 6.4 – Вариант 27. Решения Рябушко А.П.
Купить
$ 1.05

03.05.2022
2 продажи
ИДЗ Часть 4 Вариант 20
Купить
$ 4.6

26.04.2024
4 продажи
ИДЗ Рябушко 5.2 Вариант 24
Купить
$ 0.72

02.11.2020
4 продажи
ИДЗ 9.2 – Вариант 29. Решения Рябушко А.П.
Купить
$ 0.82

15.12.2016
4 продажи
ИДЗ 14.1 – Вариант 15. Решения Рябушко А.П.
Купить
$ 0.82

02.02.2023
2 продажи
Рябушко ч. 1, Контр. Производные вар. 7
Купить
$ 0.39

15.10.2023
0 продаж
Вариант 30 ИДЗ 10.1
Купить
$ 0.94

14.12.2015
2 продажи
5 вариант идз 6.3 Рябушко А.П решение
Купить
$ 1.27

09.02.2016
1 продажа
ИДЗ 9.2 - Вариант 20 - Рябушко А. П. (сборник №2)
Купить
$ 0.87

09.07.2025
1 продажа
ИДЗ 11.3 – Вариант 29. Решения Рябушко А.П.
Купить
$ 1.16
03.12.2022
1 продажа
ИДЗ 1.1 - Вариант 5 - Рябушко (сборник №1)
Купить
$ 1.05
10.12.2022
1 продажа
ИДЗ 8.3 - Вариант 26 - Рябушко (сборник №2)
Купить
$ 0.98
16.12.2022
1 продажа
ИДЗ 11.2 - Вариант 21 - Рябушко (сборник №2)
Купить
$ 0.98
10.12.2022
1 продажа
ИДЗ 8.3 - Вариант 6 - Рябушко (сборник №2)
Купить
$ 0.96

12.02.2022
0 продаж
Айдос_УТ3_1V27
Купить
$ 0.52

13.08.2020
0 продаж
ИДЗ 4.2 вариант 8 сборник ИДЗ Рябушко
Купить
$ 0.88
20.02.2025
0 продаж
ИДЗ Рябушко Вариант 21 КР "Пределы"
Купить
$ 0.86

05.03.2023
0 продаж
Решение задачи N4761 теория вероятностей
Купить
$ 0.16

24.02.2023
0 продаж
Решение задачи N4610 теория вероятностей
Купить
$ 0.21

01.06.2016
6 продаж
Задача 14.04 из раздела 11 УМФ автор Кузнецов Л.А. 2005
Купить
$ 0.46

11.02.2016
1 продажа
ИДЗ 11.1 - Вариант 9 - Рябушко А. П. (сборник №2)
Купить
$ 1.09

29.12.2016
3 продажи
ИДЗ 14.2 – Вариант 10. Решения Рябушко А.П.
Купить
$ 0.49

01.09.2017
2 продажи
Решение задачи N686 теория вероятностей Лапласа
Купить
$ 0.32

15.11.2015
0 продаж
21 вариант идз 14.1 Рябушко А.П решение
Купить
$ 1.02

08.12.2015
0 продаж
8 вариант идз 6.2 Рябушко А.П решение
Купить
$ 1.02

15.10.2017
2 продажи
Решение задачи N1175 теория вероятностей Лапласа
Купить
$ 0.25

15.11.2015
0 продаж
14 вариант идз 14.1 Рябушко А.П решение
Купить
$ 1.02

04.11.2015
1 продажа
21 вариант идз 1.1 Рябушко А.П решение
Купить
$ 1.27

12.10.2018
0 продаж
Решение задачи N2569 теория вероятностей
Купить
$ 0.25

04.11.2018
0 продаж
Решение задачи N3148 теория вероятностей
Купить
$ 0.32

12.11.2018
0 продаж
Решение задачи N3274 теория вероятностей
Купить
$ 0.25

06.11.2018
0 продаж
Решение задачи N3163 теория вероятностей Бернулли
Купить
$ 0.25

16.11.2018
0 продаж
Решение задачи N3314 теория вероятностей
Купить
$ 0.25

12.02.2019
0 продаж
Решение задачи N3922 теория вероятностей полная вероятн
Купить
$ 0.32

06.06.2020
0 продаж
Решение задачи N4201 теория вероятностей Лапласа
Купить
$ 0.25

11.07.2020
5 продаж
Решение задачи N4257 теория вероятностей Бернулли
Купить
$ 0.25
20.07.2011
9 продаж
Чудесенко В. решение задачи 7.20 из раздела ТФКП и ОИ
Купить
$ 0.25