USSR SHOP »
Магазин »
Электронные книги »
Наука и образование »
Математика » ИДЗ 14.1 – Вариант 7. Решения Рябушко А.П.
Купить ИДЗ 14.1 – Вариант 7. Решения Рябушко А.П.
Обновлено: 2025-10-23 19:24:58

$ 0.82
7 продаж
Всего продаж: 7
✅ Методы оплаты: 








Описание товара:
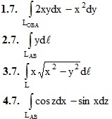
1. Вычислить данные криволинейные интегралы (1-4)
, где LOBA – ломаная OBA; O(0, 0); B(2, 0); A(2, 1)
, где LAB – дуга астроиды x = cos3t, y = sin3t, заключенная между точками A(1, 0) и B(0, 1).
, где L – кривая (x2 + y2)2 = a2 (x2 – y2), x ≥ 0.
, где LAB – отрезок прямой, соединяющий точки A(2, 0, –2) и B(–2, 0, 2).
Подробное решение. Оформлено в Microsoft Word 2003 (Задание решено с использованием редактора формул)
Для удобства просмотра решений ИДЗ на смартфонах, высылается дополнительно файл в PDF-формате
, где LOBA – ломаная OBA; O(0, 0); B(2, 0); A(2, 1)
, где LAB – дуга астроиды x = cos3t, y = sin3t, заключенная между точками A(1, 0) и B(0, 1).
, где L – кривая (x2 + y2)2 = a2 (x2 – y2), x ≥ 0.
, где LAB – отрезок прямой, соединяющий точки A(2, 0, –2) и B(–2, 0, 2).
Подробное решение. Оформлено в Microsoft Word 2003 (Задание решено с использованием редактора формул)
Для удобства просмотра решений ИДЗ на смартфонах, высылается дополнительно файл в PDF-формате
Изображения:
Вас могут заинтересовать:

16.06.2022
40 продаж
Рябушко А.П. ИДЗ 13.1 вариант 19
Купить
$ 0.64

29.03.2021
38 продаж
Рябушко А.П. ИДЗ 12.1 вариант 17
Купить
$ 0.81

29.03.2021
36 продаж
Рябушко А.П. ИДЗ 12.1 вариант 13
Купить
$ 0.64

18.12.2021
32 продажи
Рябушко А.П. ИДЗ 5.2 вариант 11
Купить
$ 0.32

06.11.2024
29 продаж
Рябушко А.П. ИДЗ 3.1 вариант 24
Купить
$ 0.31

01.06.2022
25 продаж
Рябушко А.П. ИДЗ 6.2 вариант 23
Купить
$ 0.61
27.05.2024
20 продаж
ИДЗ Рябушко 12.2 Вариант 16
Купить
$ 1.37

30.07.2022
19 продаж
Рябушко А.П. ИДЗ 8.4 вариант 25
Купить
$ 0.6

09.07.2025
19 продаж
ИДЗ 10.1 – Вариант 15. Решения Рябушко А.П.
Купить
$ 1.37
29.10.2023
6 продаж
ИДЗ Часть 1 Вариант 15
Купить
$ 8.68
09.04.2024
10 продаж
ИДЗ Рябушко 2.2 Вариант 14
Купить
$ 0.92

19.09.2023
8 продаж
Вариант 9 ИДЗ 2.2
Купить
$ 0.59
25.09.2020
6 продаж
ИДЗ 8.1 – Вариант 29. Решения Рябушко А.П.
Купить
$ 0.74

09.04.2024
5 продаж
ИДЗ Рябушко 2.1 Вариант 26
Купить
$ 0.72
30.10.2023
5 продаж
ИДЗ Рябушко 1.1 Вариант 16
Купить
$ 0.76

27.05.2022
5 продаж
Рябушко А.П. ИДЗ 13.3 вариант 28
Купить
$ 0.58

16.06.2020
5 продаж
ИДЗ 2.1 – Вариант 18. Решения Рябушко А.П.
Купить
$ 0.57

16.06.2020
3 продажи
ИДЗ 2.1 – Вариант 29. Решения Рябушко А.П.
Купить
$ 0.57

01.06.2020
1 продажа
КР Производные Вариант 2
Купить
$ 0.98

30.11.2016
1 продажа
ИДЗ 13.3 – Вариант 15. Решения Рябушко А.П.
Купить
$ 0.9
20.12.2022
1 продажа
ИДЗ 12.2 - Вариант 29 - Рябушко (сборник №3)
Купить
$ 1.1
12.12.2022
1 продажа
ИДЗ 9.3 - Вариант 28 - Рябушко (сборник №2)
Купить
$ 1.22
12.12.2022
1 продажа
ИДЗ 9.3 - Вариант 19 - Рябушко (сборник №2)
Купить
$ 1.18
09.12.2022
1 продажа
ИДЗ 8.1 - Вариант 22 - Рябушко (сборник №2)
Купить
$ 1.18
10.12.2022
1 продажа
ИДЗ 8.2 - Вариант 24 - Рябушко (сборник №2)
Купить
$ 0.98

21.04.2024
0 продаж
Айдос_15_УТ1_1V26
Купить
$ 0.67

28.03.2024
0 продаж
Айдос_15_УТ10_4V22
Купить
$ 0.35

17.02.2017
0 продаж
2 вариант идз 19.2 Рябушко А.П решение
Купить
$ 1.02

15.11.2015
0 продаж
4 вариант идз 14.2 Рябушко А.П решение
Купить
$ 1.02
20.02.2025
0 продаж
ИДЗ Рябушко Вариант 17 КР "Неопределенные интегралы"
Купить
$ 1.28

09.05.2023
0 продаж
Задача N5710 теория вероятностей объем выборки
Купить
$ 0.25

28.04.2023
0 продаж
Задача N5697 теория вероятностей объем выборки
Купить
$ 0.25

19.12.2023
3 продажи
ИДЗ 5.1 - Вариант 13 - Рябушко А. П. (сборник №1)
Купить
$ 0.87

02.07.2016
2 продажи
ИДЗ 13.2 - Вариант 18 - Рябушко А. П. (сборник №3)
Купить
$ 0.87

30.07.2017
1 продажа
Решебник Арутюнова Ю.С. Задание N452 Высшая математика
Купить
$ 0.25

13.05.2017
5 продаж
Решение задачи N349 теория вероятностей Лапласа
Купить
$ 0.25

10.09.2014
1 продажа
11 вариант идз 12.1 Рябушко А.П решение
Купить
$ 1.27

30.01.2018
3 продажи
Решение задачи N1622 теория вероятностей Лапласа
Купить
$ 0.32

27.10.2018
0 продаж
Решение задачи N2945 теория вероятностей
Купить
$ 0.25

26.11.2018
0 продаж
Решение задачи N3465 теория вероятностей
Купить
$ 0.32

27.10.2018
0 продаж
Решение задачи N2910 теория вероятностей
Купить
$ 0.21

10.01.2019
0 продаж
Решение задачи N3578 теория вероятностей
Купить
$ 0.32

25.01.2019
1 продажа
Решение задачи N3730 теория вероятностей полная вероятн
Купить
$ 0.32

21.02.2019
1 продажа
Решение задачи N3951 теория вероятностей Байеса
Купить
$ 0.32

12.02.2019
0 продаж
Решение задачи N3939 теория вероятностей полная вероятн
Купить
$ 0.32

21.02.2019
0 продаж
Решение задачи N3976 теория вероятностей Байеса
Купить
$ 0.32

06.06.2020
0 продаж
Решение задачи N4245 теория вероятностей СВ X
Купить
$ 0.25

06.06.2020
2 продажи
Решение задачи N4213 теория вероятностей Лапласа
Купить
$ 0.32

22.07.2020
0 продаж
Решение задачи N4381 теория вероятностей
Купить
$ 0.25

11.07.2020
0 продаж
Решение задачи N4273 теория вероятностей полная вероятн
Купить
$ 0.32