USSR SHOP »
Магазин »
Электронные книги »
Наука и образование »
Математика » Решебник Арутюнова Ю.С. Задание N53 Высшая математика
Купить Решебник Арутюнова Ю.С. Задание N53 Высшая математика
Обновлено: 2025-10-23 18:18:10

$ 0.25
1 продажа
Всего продаж: 1
✅ Методы оплаты: 






Описание товара:
Готовое решение задачи. Решебник Арутюнова. Задание №53.
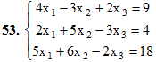
51 − 60. Дана система линейных уравнений.
Доказать её совместность и решить двумя способами: 1) методом Гаусса; 2) средствами матричного исчисления.
Если у вас похожее задание, прорешаю на заказ, пишите мне http://fizmathim.plati.ru
Подробное решение. Оформлено в Microsoft Word 2003 (Задание решено с использованием редактора формул)
51 − 60. Дана система линейных уравнений.
Доказать её совместность и решить двумя способами: 1) методом Гаусса; 2) средствами матричного исчисления.
Если у вас похожее задание, прорешаю на заказ, пишите мне http://fizmathim.plati.ru
Подробное решение. Оформлено в Microsoft Word 2003 (Задание решено с использованием редактора формул)
Изображения:
Вас могут заинтересовать:
Более 10 лет
42 продажи
ИДЗ 6.3 Сборник ИДЗ Рябушко
Купить
$ 1.29

14.05.2022
42 продажи
Рябушко А.П. ИДЗ 12.1 вариант 10
Купить
$ 0.82

25.11.2024
28 продаж
Рябушко А.П. ИДЗ 6.4 вариант 3
Купить
$ 0.44

06.07.2022
23 продажи
Рябушко А.П. ИДЗ 18.1 вариант 12
Купить
$ 0.62

23.04.2022
21 продажа
Рябушко А.П. ИДЗ 4.2 вариант 20
Купить
$ 0.25
25.06.2024
19 продаж
ИДЗ Рябушко 14.1 Вариант 1
Купить
$ 0.72
26.06.2024
17 продаж
ИДЗ Рябушко 15.1 Вариант 12
Купить
$ 0.86
26.04.2024
19 продаж
ИДЗ Рябушко 5.2 Вариант 10
Купить
$ 0.92
14.05.2024
15 продаж
ИДЗ Рябушко 8.4 Вариант 13
Купить
$ 1.1
16.05.2024
15 продаж
ИДЗ Рябушко 11.3 Вариант 23
Купить
$ 0.72

09.10.2023
12 продаж
Вариант 10 ИДЗ 6.1
Купить
$ 0.71
13.05.2024
14 продаж
ИДЗ Рябушко 6.4 Вариант 19
Купить
$ 1.06
24.10.2023
9 продаж
Вариант 14 ИДЗ 13.1
Купить
$ 1.19
29.10.2023
10 продаж
Вариант 6 ИДЗ 19.1
Купить
$ 1.19
19.09.2023
7 продаж
Вариант 13 ИДЗ 2.2
Купить
$ 0.74

07.07.2025
7 продаж
ИДЗ 2.2 – Вариант 22. Решения Рябушко А.П.
Купить
$ 0.74

26.03.2016
6 продаж
5 вариант идз 11.1 Рябушко А.П
Купить
$ 1.02
29.05.2024
5 продаж
ИДЗ Рябушко 13.3 Вариант 16
Купить
$ 0.84
01.06.2020
4 продажи
КР Пределы Вариант 16
Купить
$ 1.22
16.05.2024
4 продажи
ИДЗ Рябушко 11.1 Вариант 29
Купить
$ 0.72
02.06.2020
1 продажа
КР Неопред. интегралы Вариант 4
Купить
$ 1.37

15.12.2016
2 продажи
ИДЗ 14.1 – Вариант 26. Решения Рябушко А.П.
Купить
$ 0.82

05.12.2022
2 продажи
ИДЗ 16.3 – Вариант 25. Решения Рябушко А.П.
Купить
$ 0.66
29.05.2024
1 продажа
ИДЗ Рябушко 13.3 Вариант 29
Купить
$ 0.84

28.01.2016
1 продажа
ИДЗ 1.2 - Вариант 19 - Рябушко А. П. (сборник №1)
Купить
$ 0.73

15.12.2016
1 продажа
ИДЗ 14.1 – Вариант 24. Решения Рябушко А.П.
Купить
$ 0.82
22.12.2022
1 продажа
ИДЗ 14.2 - Вариант 26 - Рябушко (сборник №3)
Купить
$ 1.11
15.12.2022
1 продажа
ИДЗ 10.2 - Вариант 29 - Рябушко (сборник №2)
Купить
$ 1.18
14.12.2022
1 продажа
ИДЗ 10.2 - Вариант 12 - Рябушко (сборник №2)
Купить
$ 1.22

15.06.2014
0 продаж
22 вариант идз 8.3 Рябушко А.П
Купить
$ 1.27

09.05.2023
0 продаж
Задача N5719 теория вероятностей объем выборки
Купить
$ 0.32

06.04.2023
0 продаж
Решение задачи N5255 теория вероятностей
Купить
$ 0.32

24.02.2023
0 продаж
Решение задачи N4610 теория вероятностей
Купить
$ 0.21

01.07.2016
3 продажи
ИДЗ 12.3 - Вариант 22 - Рябушко А. П. (сборник №3)
Купить
$ 2.47

29.12.2016
1 продажа
ИДЗ 14.2 – Вариант 11. Решения Рябушко А.П.
Купить
$ 0.49

15.11.2015
1 продажа
13 вариант идз 9.3 Рябушко А.П решение
Купить
$ 1.02

03.05.2017
4 продажи
Решение задачи N141 теория вероятностей Лапласа
Купить
$ 0.25

29.10.2016
0 продаж
30 вариант идз 14.1 Рябушко А.П решение
Купить
$ 1.02

02.01.2016
1 продажа
21 вариант идз 8.4 Рябушко А.П решение
Купить
$ 1.14

05.05.2017
1 продажа
Решение задачи N223 теория вероятностей Лапласа
Купить
$ 0.32

12.10.2018
0 продаж
Решение задачи N2574 теория вероятностей
Купить
$ 0.32

04.10.2018
2 продажи
Решение задачи N2413 теория вероятностей
Купить
$ 0.25

10.01.2019
0 продаж
Решение задачи N3561 теория вероятностей
Купить
$ 0.32

04.11.2018
0 продаж
Решение задачи N3124 теория вероятностей
Купить
$ 0.32

08.02.2019
0 продаж
Решение задачи N3897 теория вероятностей Байеса
Купить
$ 0.32

21.02.2019
0 продаж
Решение задачи N3981 теория вероятностей Байеса
Купить
$ 0.32

20.07.2011
5 продаж
Чудесенко В. решение задачи 5.25 из раздела ТФКП и ОИ
Купить
$ 0.25
20.07.2011
5 продаж
Чудесенко В. решение задачи 8.20 из раздела ТФКП и ОИ
Купить
$ 0.25
20.07.2011
17 продаж
Чудесенко В. решение задачи 3.16 из раздела ТФКП и ОИ
Купить
$ 0.25

07.06.2013
3 продажи
Решение задач 22-41 для вар 30 раздел 2 ТВиМС Чудесенко
Купить
$ 6.5