USSR SHOP »
Магазин »
Электронные книги »
Наука и образование »
Математика » Решенный интеграл вида ∫xln(αx^2+β)dx
Купить Решенный интеграл вида ∫xln(αx^2+β)dx
Обновлено: 2026-02-04 11:03:01
$ 0.16
0 продаж
Всего продаж: 0
✅ Методы оплаты: 











Описание товара:
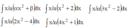
Решение неопределенного интеграла вида ∫xln(αx^2+β)dx методом интегрирования по частям, где α принимает значения 1,2,3,4,5,…n; β принимает значения ±1,±2,±3,±4,±5,…±m..
Рассмотрен пример решения интегралов при α=1, β=2; α=3, β=−2; α=2, β=−4 α=4, β=1.
∫xln(αx^2+β)dx, ∫xln(x^2+2)dx, ∫xln(3x^2−2)dx, ∫xln(2x^2−4)dx, ∫xln(4x^2+1)dx
Решение оформлено в PDF-формате
Рассмотрен пример решения интегралов при α=1, β=2; α=3, β=−2; α=2, β=−4 α=4, β=1.
∫xln(αx^2+β)dx, ∫xln(x^2+2)dx, ∫xln(3x^2−2)dx, ∫xln(2x^2−4)dx, ∫xln(4x^2+1)dx
Решение оформлено в PDF-формате
Изображения:
Вас могут заинтересовать:
18.02.2022
23 продажи
Рябушко А.П. ИДЗ 8.3 вариант 3
Купить
$ 0.8
23.12.2023
20 продаж
Рябушко А.П. ИДЗ 1.2 вариант 28
Купить
$ 0.46
15.10.2023
17 продаж
Вариант 13 ИДЗ 10.1
Купить
$ 1.25
14.05.2024
17 продаж
ИДЗ Рябушко 8.3 Вариант 14
Купить
$ 1.48
25.10.2023
10 продаж
Вариант 17 ИДЗ 14.1
Купить
$ 0.95
24.10.2023
11 продаж
Вариант 18 ИДЗ 13.1
Купить
$ 1.26
16.05.2024
9 продаж
ИДЗ Рябушко 11.2 Вариант 26
Купить
$ 0.98
12.04.2020
4 продажи
ИДЗ Часть 2 Вариант 19
Купить
$ 10.76
30.06.2024
9 продаж
ИДЗ Рябушко 18.1 Вариант 25
Купить
$ 1.47
16.10.2023
3 продажи
Вариант 28 ИДЗ 11.1
Купить
$ 0.93
28.06.2024
2 продажи
ИДЗ Рябушко 16.2 Вариант 18
Купить
$ 1.84
10.07.2025
3 продажи
ИДЗ 14.2 – Вариант 2. Решения Рябушко А.П.
Купить
$ 0.64
10.07.2025
2 продажи
ИДЗ 16.2 – Вариант 9. Решения Рябушко А.П.
Купить
$ 0.96
10.07.2025
1 продажа
ИДЗ 16.2 – Вариант 17. Решения Рябушко А.П.
Купить
$ 0.96
07.10.2014
1 продажа
5 вариант идз 13.2 Рябушко А.П решение
Купить
$ 1.37
21.12.2022
1 продажа
ИДЗ 13.3 - Вариант 2 - Рябушко (сборник №3)
Купить
$ 1.27
03.12.2022
1 продажа
ИДЗ 1.1 - Вариант 14 - Рябушко (сборник №1)
Купить
$ 1.09
21.12.2022
1 продажа
ИДЗ 13.2 - Вариант 24 - Рябушко (сборник №3)
Купить
$ 1.27
21.12.2022
1 продажа
ИДЗ 13.3 - Вариант 1 - Рябушко (сборник №3)
Купить
$ 1.27
10.12.2022
1 продажа
ИДЗ 8.2 - Вариант 4 - Рябушко (сборник №2)
Купить
$ 1.02
04.12.2022
1 продажа
ИДЗ 3.2 - Вариант 26 - Рябушко (сборник №1)
Купить
$ 1.01
06.12.2022
1 продажа
ИДЗ 5.1 - Вариант 29 - Рябушко (сборник №1)
Купить
$ 1.02
22.12.2022
1 продажа
ИДЗ 15.2 - Вариант 4 - Рябушко (сборник №3)
Купить
$ 1.01
24.03.2024
0 продаж
Айдос_15_УТ2_1V26
Купить
$ 0.29
31.10.2019
0 продаж
Айдос_УТ2_3V15
Купить
$ 0.37
07.11.2015
0 продаж
5 вариант идз 4.1 Рябушко А.П решение
Купить
$ 1.37
09.04.2023
0 продаж
Решение задачи N5332 теория вероятностей
Купить
$ 0.32
22.04.2023
0 продаж
Задача N5595 теория вероятностей доверительный интервал
Купить
$ 0.32
30.03.2023
0 продаж
Решение задачи N5199 теория вероятностей
Купить
$ 0.32
05.03.2023
0 продаж
Решение задачи N4778 теория вероятностей
Купить
$ 0.32
17.12.2017
4 продажи
Задача 15.24 из раздела 11 УМФ автор Кузнецов Л.А. 2005
Купить
$ 0.61
02.07.2016
1 продажа
ИДЗ 13.1 - Вариант 12 - Рябушко А. П. (сборник №3)
Купить
$ 1.14
07.07.2025
8 продаж
ИДЗ 1.1 – Вариант 20. Решения Рябушко А.П.
Купить
$ 0.43
22.03.2016
2 продажи
16 вариант идз 10.1 Рябушко А.П решение
Купить
$ 1.37
21.10.2017
3 продажи
Решение задачи N1286 теория вероятностей Пуассона
Купить
$ 0.32
08.12.2015
1 продажа
13 вариант идз 1.2 Рябушко А.П решение
Купить
$ 1.37
08.12.2015
0 продаж
14 вариант идз 5.1 Рябушко А.П решение
Купить
$ 1.37
26.09.2018
3 продажи
Решение задачи N2274 теория вероятностей Пуассона
Купить
$ 0.32
12.10.2018
0 продаж
Решение задачи N2580 теория вероятностей
Купить
$ 0.21
21.10.2018
0 продаж
Решение задачи N2787 теория вероятностей
Купить
$ 0.32
25.10.2018
0 продаж
Решение задачи N2857 теория вероятностей
Купить
$ 0.25
23.11.2018
0 продаж
Решение задачи N3420 теория вероятностей
Купить
$ 0.32
18.04.2019
0 продаж
Решение задачи N4185 теория вероятностей Лапласа
Купить
$ 0.32
12.02.2019
0 продаж
Решение задачи N3949 теория вероятностей полная вероятн
Купить
$ 0.32
04.03.2019
1 продажа
Решение задачи N4077 теория вероятностей полная вероятн
Купить
$ 0.32
27.08.2020
0 продаж
Решение задачи N4517 теория вероятностей
Купить
$ 0.32
19.07.2011
9 продаж
Чудесенко В. решение задачи 19.13 из раздела ТФКП и ОИ
Купить
$ 0.25
19.09.2022
13 продаж
Чудесенко В. решение задачи 4.15 из раздела ТФКП и ОИ
Купить
$ 0.25
18.07.2011
18 продаж
Чудесенко В.Ф. решение задачи 5.9 из раздела ТФКП и ОИ
Купить
$ 0.25
25.07.2011
5 продаж
Чудесенко В. решение задачи 4.29 из раздела ТФКП и ОИ
Купить
$ 0.25