USSR SHOP »
Магазин »
Электронные книги »
Наука и образование »
Контрольные работы » Байарыст 2008 №5 вариант 6
Купить Байарыст 2008 №5 вариант 6
Обновлено: 2025-10-23 10:37:03

$ 0.37
0 продаж
Всего продаж: 0
✅ Методы оплаты: 











Описание товара:
Байарыстанов А.О. 2008 работа №5 вариант 6
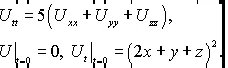
Төрт нүкте берелген А₁(0;7;1); А₂(2;–1;5); А₃(1;6;3); А₄(3;–9;8). Табу керек: а) А₁А₂А₃ жазықтығының теңдеуін; б) А₁А₂ тузуінің теңдеуін; в) А₁А₂А₃ жазықтығына перпендикуляр болатын А₄М тузуінің теңдеуін; г) А₁А₂ тузуіне параллель болатын А₄N тузуінің теңдеуін; д) А₁А₂А₃ жазықтығы мен А₁А₄ тузуініңарасыңдағы бұрыштың синусын есептеңіз; е) Оху координаттық жазықтығы мен А₁А₂А₃ жазықтығы арасындағы бұрыштың косинусын есептеңіз.
Спасибо за покупку. Если возникнут вопросы, то пишите на почту ( см. "информация о продавце")
Төрт нүкте берелген А₁(0;7;1); А₂(2;–1;5); А₃(1;6;3); А₄(3;–9;8). Табу керек: а) А₁А₂А₃ жазықтығының теңдеуін; б) А₁А₂ тузуінің теңдеуін; в) А₁А₂А₃ жазықтығына перпендикуляр болатын А₄М тузуінің теңдеуін; г) А₁А₂ тузуіне параллель болатын А₄N тузуінің теңдеуін; д) А₁А₂А₃ жазықтығы мен А₁А₄ тузуініңарасыңдағы бұрыштың синусын есептеңіз; е) Оху координаттық жазықтығы мен А₁А₂А₃ жазықтығы арасындағы бұрыштың косинусын есептеңіз.
Спасибо за покупку. Если возникнут вопросы, то пишите на почту ( см. "информация о продавце")
Вас могут заинтересовать:

18.01.2020
5 продаж
Практическая работа №2. Библиотека.
Купить
$ 4.88

18.01.2020
1 продажа
Практические работы. 2-й вариант.
Купить
$ 4.94

22.07.2021
0 продаж
Коммерциализация инноваций. Задание №4.
Купить
$ 3.91

27.10.2018
0 продаж
Информатика. 19 вариант.
Купить
$ 3.91

16.08.2019
0 продаж
КР. 6 вариант. Эконометрика.
Купить
$ 3.42

22.07.2021
0 продаж
Таможенная стоимость товаров. 9-й вариант.
Купить
$ 4.88

18.01.2020
0 продаж
Основы системного анализа. 5 вариант.
Купить
$ 4.88

04.08.2020
0 продаж
Лабораторная работа №1: Сетевые утилиты TCP\IP в среде
Купить
$ 5.86

27.10.2018
0 продаж
29 вариант. КР. Менеджмент.
Купить
$ 2.44
15.10.2013
1 продажа
C1-19 (Рис. C1.1, номер условия 9) - С.М. Тарг 1988
Купить
$ 0.56

23.10.2018
0 продаж
Судебно-медицинская экспертиза (2016)
Купить
$ 2

07.03.2024
0 продаж
Ответы на ИДЗ 6.2 вариант 5 Рябушко часть 1
Купить
$ 0.95

05.03.2024
0 продаж
Ответы на ИДЗ 10.1 вариант 20 Рябушко часть 2
Купить
$ 1.03

05.03.2024
0 продаж
Ответы на ИДЗ 9.2 вариант 13 Рябушко часть 2
Купить
$ 0.87

19.08.2022
0 продаж
Кутуков Б.Н. 1990 Задача 5 вариант 009
Купить
$ 0.98

03.10.2023
0 продаж
Тарг С.М. 1988 Д2 вариант 28
Купить
$ 0.49

27.11.2022
0 продаж
Байарыст 2008 №10 вариант 5
Купить
$ 0.48

23.07.2023
0 продаж
Тарг С.М. 1988 К2 вариант 89
Купить
$ 0.39

15.07.2025
0 продаж
Тарг С.М. 1988 Д3 вариант 89
Купить
$ 0.49

06.09.2021
0 продаж
Байарыст 2008 №9 вариант 1
Купить
$ 0.58

21.02.2025
0 продаж
Вариант 30 ИДЗ 6.1 Решебник Рябушко часть 1
Купить
$ 1.57

17.09.2023
0 продаж
Тарг С.М. 1988 С2 вариант 02
Купить
$ 0.49

23.01.2022
0 продаж
Байарыст 2018-1 №8 вариант 3
Купить
$ 0.49

26.10.2024
0 продаж
Ответы на ИДЗ 3.1 и 3.2 вариант 1 Рябушко часть 1
Купить
$ 0.87

25.08.2020
0 продаж
Вариант 16 ИДЗ 11.1 Решебник Рябушко часть 2
Купить
$ 0.9

26.09.2020
0 продаж
Вариант 22 ИДЗ 8.1 Решебник Рябушко часть 2
Купить
$ 0.75
10.06.2025
0 продаж
Ответы на ИДЗ 14.2 вариант 22 Рябушко часть 3
Купить
$ 0.6
10.06.2025
0 продаж
Ответы на ИДЗ 14.2 вариант 4 Рябушко часть 3
Купить
$ 0.6

21.02.2025
0 продаж
Вариант 30 ИДЗ 18.1 Решебник Рябушко часть 4
Купить
$ 1.47

21.02.2025
0 продаж
Вариант 26 ИДЗ 11.4 Решебник Рябушко часть 2
Купить
$ 1.18
10.06.2025
0 продаж
Ответы на ИДЗ 13.3 вариант 22 Рябушко часть 3
Купить
$ 1.2

09.09.2013
4 продажи
Компания по производству безалкогольных напитков предпо
Купить
$ 0.49
23.06.2013
8 продаж
Решение задачи К4 В15(рисунок К4.1 условие 5) Тарг 89
Купить
$ 0.8
05.07.2013
2 продажи
Термех Тарг решение задачи Д7 В36 (рис 3 усл 6) 1989 г.
Купить
$ 0.8

26.07.2012
25 продаж
Вариант 06 Задача 1.2. РГР по ТОЭ "по Бессонову ..."
Купить
$ 3.09
10.06.2013
6 продаж
Решение задачи К1 рис 6 усл 1 (вариант 61) Тарг С.М. 89
Купить
$ 0.8

27.07.2012
6 продаж
Вариант 78 Задача 1.2. РГР по ТОЭ "по Бессонову ..."
Купить
$ 3.09
22.07.2012
27 продаж
Вариант 11 Задача 1.1. РГР по ТОЭ "по Бессонову ..."
Купить
$ 3.09
24.05.2013
7 продаж
Решение С1 рисунок 4 условие 2 (вариант 42) Тарг 1989
Купить
$ 0.8
12.06.2013
4 продажи
Решение задачи К2 рис 3 усл 3 (вариант 33) Тарг С.М. 89
Купить
$ 0.8

05.07.2013
90 продаж
Экономика и социология труда контрольная работа
Купить
$ 0.51

26.10.2013
18 продаж
Актуальные проблемы гражданского права контрольная, 10в
Купить
$ 0.63

29.06.2013
47 продаж
Английский язык как средство делового общения контрольн
Купить
$ 0.51

23.03.2017
2 продажи
Управление проектами контрольная, 3 вариант,11 вопросов
Купить
$ 0.81
14.08.2012
10 продаж
Решение задачи 15.5 из раздела 3 УМФ автор Чудесенко ВФ
Купить
$ 0.75

14.08.2012
53 продажи
Решение задачи 9.5 из раздела 3 УМФ автор Чудесенко ВФ
Купить
$ 0.75
01.06.2014
10 продаж
Решение задачи 5.20 из раздела 3 УМФ автор Чудесенко В
Купить
$ 0.75
14.08.2012
14 продаж
Решение задачи 6.1 из раздела 3 УМФ автор Чудесенко ВФ
Купить
$ 0.75
14.08.2012
26 продаж
Решение задачи 3.8 из раздела 3 УМФ автор Чудесенко ВФ
Купить
$ 0.75