USSR SHOP »
Магазин »
Электронные книги »
Наука и образование »
Контрольные работы » Тарг С.М. 1988 Д3 вариант 00
Купить Тарг С.М. 1988 Д3 вариант 00
Обновлено: 2025-10-23 09:37:28

$ 0.49
0 продаж
Всего продаж: 0
✅ Методы оплаты: 











Описание товара:
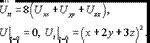
Механическая система состоит из грузов 1 и 2 ( коэффициент трения грузов о плоскость f=0,1); сплошного цилиндрического катка 3 и ступенчатого шкивов 4 и 5 с радиусами R₄=0,3м; r₄=0,1м; R₅=0,2м; r₅=0,1м ( массу каждого шкива считать равномерно распределенной по его внешнему ободу ). Под действием силы F; зависящей от перемещения точки приложения силы, система приходит в движение из состояния покоя. При движении системы на шкивы 4 и 5 действует постоянные моменты сил сопротивления; равные соответственно M₄ и M₅. Определить значение искомой величины в тот момент времени, когда перемещение точки приложения силы F равно S₁.
Спасибо за покупку. Если возникнут вопросы, то пишите на почту ( см. "информация о продавце")
Спасибо за покупку. Если возникнут вопросы, то пишите на почту ( см. "информация о продавце")
Вас могут заинтересовать:

10.04.2011
50 продаж
ИНВЕСТИЦИОННЫЙ МЕНЕДЖМЕНТ - тест
Купить
$ 0.68

23.12.2012
25 продаж
Административное право тест 1 МЭИ
Купить
$ 0.29

17.08.2011
20 продаж
Контрольные вопросы по оценке ценных бумаг
Купить
$ 5

19.02.2015
22 продажи
Управленческие решения контрольная с ответами, часть 2
Купить
$ 0.51

23.02.2013
14 продаж
Этика деловых отношений контрольная работа
Купить
$ 1.14

05.06.2018
9 продаж
Определите подведомственность следующих дел (2016)
Купить
$ 3

16.01.2018
6 продаж
Гарбузова КР1 Вариант 02
Купить
$ 1.95

03.08.2020
2 продажи
Бухгалтерский учет и анализ. 4 задания.
Купить
$ 4.88

16.08.2019
0 продаж
Методы диагностики социальной сферы образования.
Купить
$ 4.94

05.08.2020
0 продаж
Аудит. КОНТРОЛЬНАЯ РАБОТА №1
Купить
$ 4.4

21.05.2015
1 продажа
Финансовые рынки и институты контрольная 2015
Купить
$ 0.78

02.08.2020
1 продажа
Вариант 25 ИДЗ 12.1 Решебник Рябушко часть 3
Купить
$ 1.05

25.07.2020
1 продажа
Вариант 15 ИДЗ 10.2 Решебник Рябушко часть 2
Купить
$ 0.9

05.03.2024
0 продаж
Ответы на ИДЗ 8.4 вариант 26 Рябушко часть 2
Купить
$ 1.19

05.03.2024
0 продаж
Ответы на ИДЗ 8.4 вариант 7 Рябушко часть 2
Купить
$ 1.19
07.03.2024
0 продаж
Ответы на ИДЗ 6.2 вариант 28 Рябушко часть 1
Купить
$ 1.2

04.03.2024
0 продаж
Ответы на ИДЗ 8.2 вариант 25 Рябушко часть 2
Купить
$ 0.95

05.03.2024
0 продаж
Ответы на ИДЗ 10.1 вариант 12 Рябушко часть 2
Купить
$ 1.03
07.03.2024
0 продаж
Ответы на ИДЗ 13.2 вариант 30 Рябушко часть 3
Купить
$ 1.1

05.03.2024
0 продаж
Ответы на ИДЗ 9.2 вариант 23 Рябушко часть 2
Купить
$ 0.87

01.08.2022
0 продаж
Кутуков Б.Н. 1990 Задача 8 вариант 019
Купить
$ 0.88

23.04.2022
0 продаж
Байарыст 2008 №14 вариант 3
Купить
$ 1.46

03.10.2023
0 продаж
Тарг С.М. 1988 Д2 вариант 23
Купить
$ 0.49

15.07.2023
0 продаж
Тарг С.М. 1988 К2 вариант 63
Купить
$ 0.49
10.06.2025
0 продаж
Ответы на ИДЗ 12.2 вариант 18 Рябушко часть 3
Купить
$ 1.5
26.10.2024
0 продаж
Ответы на ИДЗ 2.1 и 2.2 вариант 24 Рябушко часть 1
Купить
$ 1.2

02.08.2020
0 продаж
Вариант 16 ИДЗ 9.2 Решебник Рябушко часть 2
Купить
$ 0.75

01.09.2020
0 продаж
Вариант 21 ИДЗ 11.2 Решебник Рябушко часть 2
Купить
$ 0.9
10.06.2025
0 продаж
Ответы на ИДЗ 13.3 вариант 26 Рябушко часть 3
Купить
$ 1.2
10.06.2025
0 продаж
Ответы на ИДЗ 13.3 вариант 4 Рябушко часть 3
Купить
$ 1.2

21.06.2012
1 продажа
Исаев ехал по шоссе на мотоцикле с пассажиром в коляске
Купить
$ 1.23
09.11.2012
3 продажи
Вариант 30 Задача 4.1. РГР по ТОЭ по Бессонову ...
Купить
$ 2.44
26.06.2013
2 продажи
Задача Д2 В03 (рисунок 0 условие 3) теормех Тарг 1989г
Купить
$ 0.8

30.07.2012
2 продажи
Вариант 60 Задача 2.2. РГР по ТОЭ "по Бессонову ..."
Купить
$ 3.09

30.06.2013
33 продажи
Геополитика контрольная с ответами 10 вопросов
Купить
$ 0.3
02.12.2012
2 продажи
Вариант 66 Задача 4.1. РГР по ТОЭ по Бессонову ...
Купить
$ 2.44
08.07.2013
2 продажи
Решение задачи Д8 В28 (рис 2 усл 8) теормех Тарг 1989 г
Купить
$ 0.8
23.06.2013
9 продаж
Решение задачи К4 В56 (рисунок К4.5 условие 6) Тарг 89
Купить
$ 0.8
22.07.2012
6 продаж
Вариант 73 Задача 1.1. РГР по ТОЭ "по Бессонову ..."
Купить
$ 2.44
23.06.2013
6 продаж
Решение задачи К4 В25(рисунок К4.2 условие 5) Тарг 89
Купить
$ 0.8
13.06.2013
7 продаж
Решение контрольной К3 рис 0 усл 2 (вариант 02) Тарг 89
Купить
$ 0.8
12.06.2013
10 продаж
Решение задачи К2 рис 1 усл 5 (вариант 15) Тарг С.М. 89
Купить
$ 0.8

23.06.2013
84 продажи
Экологическое право практическая,10 заданий с ответами
Купить
$ 0.3

04.07.2013
45 продаж
Математика тест с ответами часть 4
Купить
$ 0.38

24.10.2013
2 продажи
85 Задача по химии № 85
Купить
$ 3.09

25.11.2014
4 продажи
Контроль и ревизия тест с ответами,ч.2,15 вопросов
Купить
$ 0.54

31.01.2018
2 продажи
Введение в Государственное и муниципальное управлениеКР
Купить
$ 0.65
03.01.2020
4 продажи
К2 Вариант 39 (рис. 3 усл. 9) решение термех Тарг 1988г
Купить
$ 0.8

14.08.2012
7 продаж
Решение задачи 15.8 из раздела 3 УМФ автор Чудесенко ВФ
Купить
$ 0.75