USSR SHOP »
Магазин »
Электронные книги »
Наука и образование »
Контрольные работы » Решение задачи 4.6 из раздела 3 УМФ автор Чудесенко ВФ
Купить Решение задачи 4.6 из раздела 3 УМФ автор Чудесенко ВФ
Обновлено: 2025-10-23 13:49:46
$ 0.75
18 продаж
Всего продаж: 18
✅ Методы оплаты: 











Описание товара:
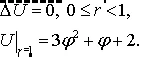
Решение задачи 4.6 (задача 4 вариант 6) по высшей математике из раздела: Уравнения Математической Физики (УМФ). Задачник: Чудесенко В.Ф. Сборник заданий по специальным курсам высшей математики (типовые расчеты). — Москва: Высшая школа. Решение подходит для изданий: 1983 (1994, 2005-2009) гг..
После оплаты вы получите архив zip. Решение выполнено в электронном виде и сохранено в виде картинки в формате tif. Открывается любой программой. Разрешение 300 dpi. Решение неоднократно сдавалось в ВУЗах России. Все недочёты исправлены.
Буду очень благодарна, если Вы оставите ПОЛОЖИТЕЛЬНЫЙ ОТЗЫВ после покупки.
СПАСИБО!
После оплаты вы получите архив zip. Решение выполнено в электронном виде и сохранено в виде картинки в формате tif. Открывается любой программой. Разрешение 300 dpi. Решение неоднократно сдавалось в ВУЗах России. Все недочёты исправлены.
Буду очень благодарна, если Вы оставите ПОЛОЖИТЕЛЬНЫЙ ОТЗЫВ после покупки.
СПАСИБО!
Изображения:
Вас могут заинтересовать:

04.12.2017
10 продаж
Оценка стоимости бизнеса Синергия тест готовый
Купить
$ 1.47

17.07.2018
2 продажи
Реферат и кейс. КР. Логистика.
Купить
$ 3.91

17.07.2018
2 продажи
Вариант №3. Контроллинг и антикризисное управление
Купить
$ 3.42

12.06.2014
2 продажи
Бухгалтерский учет и анализ вариант 1 ТЮМГу
Купить
$ 2.93

19.06.2018
3 продажи
Решение КР2 из методички Гарбузовой Н.Е. Вариант 49
Купить
$ 3.91

29.07.2020
0 продаж
Управление городским имуществом и недвижимостью. часть
Купить
$ 4.4

16.08.2019
0 продаж
Деловые коммуникации. 2 вопроса.
Купить
$ 4.4

16.08.2019
0 продаж
12 задач по мировой экономике
Купить
$ 5.37

12.06.2018
2 продажи
Основы делопроизводства практическая с ответами,10 з.
Купить
$ 0.81

19.06.2023
1 продажа
Тарг С.М. 1989 С1 вариант 18
Купить
$ 0.49

09.06.2023
1 продажа
Тарг С.М. 1989 Д1 вариант 66
Купить
$ 0.49

30.08.2021
1 продажа
Байарыст 2008 №3 вариант 3
Купить
$ 0.37

07.03.2024
0 продаж
Ответы на ИДЗ 6.2 вариант 15 Рябушко часть 1
Купить
$ 0.95

01.10.2023
0 продаж
Кутуков Б.Н. 1990 Задача 4 вариант x65
Купить
$ 0.98

05.03.2024
0 продаж
Ответы на ИДЗ 9.2 вариант 28 Рябушко часть 2
Купить
$ 0.87

26.10.2024
0 продаж
Ответы на ИДЗ 8.1 вариант 13 Рябушко часть 2
Купить
$ 0.79

07.03.2024
0 продаж
Ответы на ИДЗ 13.2 вариант 28 Рябушко часть 3
Купить
$ 0.87
07.03.2024
0 продаж
Ответы на ИДЗ 5.2 вариант 2 Рябушко часть 1
Купить
$ 1

20.05.2024
0 продаж
Тарг С.М. 1988 С2 вариант 36
Купить
$ 0.39

23.05.2024
0 продаж
Тарг С.М. 1988 С1 вариант 99
Купить
$ 0.49

17.05.2024
0 продаж
Тарг С.М. 1988 С2 вариант 67
Купить
$ 0.39

20.05.2024
0 продаж
Тарг С.М. 1988 С2 вариант 27
Купить
$ 0.49

12.07.2023
0 продаж
Тарг С.М. 1988 К2 вариант 27
Купить
$ 0.39

21.02.2025
0 продаж
Вариант 28 ИДЗ 6.1 Решебник Рябушко часть 1
Купить
$ 1.57
10.06.2025
0 продаж
Ответы на ИДЗ 12.3 вариант 15 Рябушко часть 3
Купить
$ 1.5
10.06.2025
0 продаж
Ответы на ИДЗ 12.3 вариант 5 Рябушко часть 3
Купить
$ 1.5
10.06.2025
0 продаж
Ответы на ИДЗ 12.3 вариант 20 Рябушко часть 3
Купить
$ 1.5

04.09.2021
0 продаж
Байарыст 2008 №5 вариант 2
Купить
$ 0.37

02.08.2020
0 продаж
Вариант 16 ИДЗ 9.2 Решебник Рябушко часть 2
Купить
$ 0.75

02.08.2020
0 продаж
Вариант 16 ИДЗ 10.2 Решебник Рябушко часть 2
Купить
$ 0.9

26.09.2020
0 продаж
Вариант 16 ИДЗ 8.1 Решебник Рябушко часть 2
Купить
$ 0.75

24.08.2021
0 продаж
Задача 2 (выпаривание)
Купить
$ 0.98
10.06.2025
0 продаж
Ответы на ИДЗ 14.2 вариант 16 Рябушко часть 3
Купить
$ 0.6

21.02.2025
0 продаж
Вариант 29 ИДЗ 18.1 Решебник Рябушко часть 4
Купить
$ 1.47

09.09.2013
17 продаж
Некоторый ресторан славится хорошей кухней. Управляющий
Купить
$ 0.49
24.05.2013
11 продаж
Решение С2 рисунок 8 условие 8 (вариант 88) Тарг 1989
Купить
$ 0.8

15.08.2012
12 продаж
Решение задачи 16.19 из раздела 3 УМФ автор Чудесенко В
Купить
$ 0.75

24.06.2013
5 продаж
Решение задачи К4 В97 (рисунок К4.9 условие 7) Тарг 89
Купить
$ 0.8
18.07.2013
4 продажи
К2 Вариант 79 (рис.7 усл. 9) решение термех Тарг 1988г
Купить
$ 0.8
10.07.2013
1 продажа
Задача по термеху Д11 В22 (рис. 2 усл. 2) Тарг С.М. 89
Купить
$ 0.8
24.05.2013
6 продаж
Решение С2 рисунок 2 условие 8 (вариант 28) Тарг 1989
Купить
$ 0.8
12.07.2013
5 продаж
Задача С1 Вариант 62 (рис. 6 усл. 2) термех Тарг 1988 г
Купить
$ 0.8

01.08.2012
8 продаж
Вариант 30 Задача 3.1. РГР по ТОЭ "по Бессонову ..."
Купить
$ 3.09
12.06.2013
7 продаж
Решение задачи К2 рис 7 усл 4 (вариант 74) Тарг С.М. 89
Купить
$ 0.8
18.07.2013
2 продажи
К2 Вариант 01 (рис. 0 усл. 1) решение термех Тарг 1988г
Купить
$ 0.8

31.07.2020
0 продаж
Вариант 20 ИДЗ 1.1 Решебник Рябушко часть 1
Купить
$ 0.38

02.02.2017
8 продаж
Иностранный язык в сфере юриспруденции imei.anomir.ru
Купить
$ 1.08

19.12.2021
1 продажа
РГР АиГ. С4 КЧ. 18 вариант
Купить
$ 0.88

15.08.2012
8 продаж
Решение задачи 13.18 из раздела 3 УМФ автор Чудесенко В
Купить
$ 0.75