USSR SHOP »
Магазин »
Электронные книги »
Наука и образование »
Контрольные работы » Решение задачи 15.22 из раздела 3 УМФ автор Чудесенко В
Купить Решение задачи 15.22 из раздела 3 УМФ автор Чудесенко В
Обновлено: 2025-10-23 12:04:29
$ 0.75
4 продажи
Всего продаж: 4
✅ Методы оплаты: 











Описание товара:
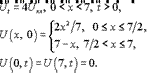
Решение задачи 15.22 (задача 15 вариант 22) по высшей математике из раздела: Уравнения Математической Физики (УМФ). Задачник: Чудесенко В.Ф. Сборник заданий по специальным курсам высшей математики (типовые расчеты). — Москва: Высшая школа. Решение подходит для изданий: 1983 (1994, 2005-2009) гг..
После оплаты вы получите архив zip. Решение выполнено в электронном виде и сохранено в виде картинки в формате tif. Открывается любой программой. Разрешение 300 dpi. Решение неоднократно сдавалось в ВУЗах России. Все недочёты исправлены.
Буду очень благодарна, если Вы оставите ПОЛОЖИТЕЛЬНЫЙ ОТЗЫВ после покупки.
После оплаты вы получите архив zip. Решение выполнено в электронном виде и сохранено в виде картинки в формате tif. Открывается любой программой. Разрешение 300 dpi. Решение неоднократно сдавалось в ВУЗах России. Все недочёты исправлены.
Буду очень благодарна, если Вы оставите ПОЛОЖИТЕЛЬНЫЙ ОТЗЫВ после покупки.
Изображения:
Вас могут заинтересовать:

29.12.2007
12 продаж
Контрольная РФЭИ Управ. персоналом Адаптация персонала
Купить
$ 5

09.12.2015
7 продаж
Гарбузова КР2 Вариант 38
Купить
$ 3.91

09.03.2013
4 продажи
280211 Строительное материаловедение Вариант 8
Купить
$ 6.79

25.11.2013
3 продажи
Добролюбов А.А. (60 лет) и Добролюбова В.В. (2013)
Купить
$ 2

16.08.2019
0 продаж
Управление проектами. Введение.
Купить
$ 3.91
09.11.2020
1 продажа
Безопасность интернет-ресурсов (ответы Синергия) 30 воп
Купить
$ 1.46

30.07.2020
0 продаж
Информационное право. 5 заданий. Кейс.
Купить
$ 4.88

17.07.2019
0 продаж
Общие условия государственной службы. Задание 3.
Купить
$ 2.93

20.01.2021
0 продаж
Экономические модели. Задачи.
Купить
$ 5.86

30.07.2020
0 продаж
Кейс Эссе
Купить
$ 5.37

09.06.2023
1 продажа
Тарг С.М. 1989 Д1 вариант 67
Купить
$ 0.49

19.05.2022
1 продажа
137. Задачка по химии №013 785
Купить
$ 1.02

07.03.2024
0 продаж
Ответы на ИДЗ 6.1 вариант 6 Рябушко часть 1
Купить
$ 1.11

05.03.2024
0 продаж
Ответы на ИДЗ 8.4 вариант 9 Рябушко часть 2
Купить
$ 1.19

05.03.2024
0 продаж
Ответы на ИДЗ 11.3 вариант 11 Рябушко часть 2
Купить
$ 0.95

07.03.2024
0 продаж
Ответы на ИДЗ 6.2 вариант 4 Рябушко часть 1
Купить
$ 0.95

07.03.2024
0 продаж
Ответы на ИДЗ 6.3 вариант 14 Рябушко часть 1
Купить
$ 1.03
07.03.2024
0 продаж
Ответы на ИДЗ 6.3 вариант 24 Рябушко часть 1
Купить
$ 1.3
07.03.2024
0 продаж
Ответы на ИДЗ 14.1 вариант 24 Рябушко часть 3
Купить
$ 1.1

22.08.2022
0 продаж
Кутуков Б.Н. 1990 Задача 5 вариант 033
Купить
$ 0.98

15.02.2024
0 продаж
Тарг С.М. 1989 К4 вариант 08
Купить
$ 0.39

19.06.2023
0 продаж
Тарг С.М. 1989 С4 вариант 00
Купить
$ 0.39

16.11.2023
0 продаж
Тарг С.М. 1989 С4 вариант 37
Купить
$ 0.39

01.06.2023
0 продаж
Тарг С.М. 1989 К1 вариант 23
Купить
$ 0.39

29.05.2024
0 продаж
Тарг С.М. 1988 С1 вариант 53
Купить
$ 0.49

03.06.2024
0 продаж
Тарг С.М. 1988 К1 вариант 93
Купить
$ 0.49

11.07.2023
0 продаж
Тарг С.М. 1988 К2 вариант 32
Купить
$ 0.39

08.02.2025
0 продаж
Тарг С.М. 1989 С2 вариант 32
Купить
$ 0.49

23.05.2022
0 продаж
135. Задачка по химии №013 534
Купить
$ 2.45
10.06.2025
0 продаж
Ответы на ИДЗ 12.3 вариант 6 Рябушко часть 3
Купить
$ 1.5

13.07.2022
0 продаж
Тарг С.М. 1988 Д1 вариант 97
Купить
$ 0.49

16.01.2022
0 продаж
Байарыст 2018-1 №3 вариант 6
Купить
$ 0.37

19.10.2022
0 продаж
Байарыст 2018-1 №3 вариант 15
Купить
$ 0.37

15.09.2020
0 продаж
Вариант 23 ИДЗ 11.4 Решебник Рябушко часть 2
Купить
$ 0.9

02.08.2020
0 продаж
Вариант 22 ИДЗ 18.2 Решебник Рябушко часть 4
Купить
$ 1.13

02.08.2020
0 продаж
Вариант 21 ИДЗ 18.2 Решебник Рябушко часть 4
Купить
$ 1.13

30.07.2012
1 продажа
Вариант 62 Задача 2.2. РГР по ТОЭ "по Бессонову ..."
Купить
$ 3.09

15.08.2012
31 продажа
Решение задачи 12.15 из раздела 3 УМФ автор Чудесенко В
Купить
$ 0.75

23.10.2013
1 продажа
34 Задача по химии № 34
Купить
$ 2.44

15.08.2012
3 продажи
Решение задачи 13.23 из раздела 3 УМФ автор Чудесенко В
Купить
$ 0.75

27.07.2012
7 продаж
Вариант 55 Задача 1.2. РГР по ТОЭ "по Бессонову ..."
Купить
$ 3.09
22.07.2012
10 продаж
Вариант 55 Задача 1.1. РГР по ТОЭ "по Бессонову ..."
Купить
$ 3.09
10.06.2013
4 продажи
Решение задачи К1 рис 7 усл 6 (вариант 76) Тарг С.М. 89
Купить
$ 0.8

05.07.2013
208 продаж
Право социального обеспечения тест с ответами 185 вопр
Купить
$ 0.38

15.01.2017
1 продажа
Вариант 7 ИДЗ 3.2 Решебник Рябушко часть 1
Купить
$ 0.41

31.07.2020
0 продаж
Вариант 22 ИДЗ 1.1 Решебник Рябушко часть 1
Купить
$ 0.38
14.08.2012
9 продаж
Решение задачи 14.9 из раздела 3 УМФ автор Чудесенко ВФ
Купить
$ 0.75

28.03.2013
1 продажа
Контрольная Международное право
Купить
$ 2.93

15.08.2012
9 продаж
Решение задачи 4.22 из раздела 3 УМФ автор Чудесенко В.
Купить
$ 0.75

13.02.2017
15 продаж
Гражданское право тест
Купить
$ 0.78