USSR SHOP »
Магазин »
Электронные книги »
Наука и образование »
Контрольные работы » Решение задачи 15.15 из раздела 3 УМФ автор Чудесенко В
Купить Решение задачи 15.15 из раздела 3 УМФ автор Чудесенко В
Обновлено: 2025-10-23 06:13:50
$ 0.75
10 продаж
Всего продаж: 10
✅ Методы оплаты: 











Описание товара:
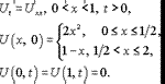
Решение задачи 15.15 (задача 15 вариант 15) по высшей математике из раздела: Уравнения Математической Физики (УМФ). Задачник: Чудесенко В.Ф. Сборник заданий по специальным курсам высшей математики (типовые расчеты). — Москва: Высшая школа. Решение подходит для изданий: 1983 (1994, 2005-2009) гг..
После оплаты вы получите архив zip. Решение выполнено в электронном виде и сохранено в виде картинки в формате tif. Открывается любой программой. Разрешение 300 dpi. Решение неоднократно сдавалось в ВУЗах России. Все недочёты исправлены.
Буду очень благодарна, если Вы оставите ПОЛОЖИТЕЛЬНЫЙ ОТЗЫВ после покупки.
СПАСИБО!
После оплаты вы получите архив zip. Решение выполнено в электронном виде и сохранено в виде картинки в формате tif. Открывается любой программой. Разрешение 300 dpi. Решение неоднократно сдавалось в ВУЗах России. Все недочёты исправлены.
Буду очень благодарна, если Вы оставите ПОЛОЖИТЕЛЬНЫЙ ОТЗЫВ после покупки.
СПАСИБО!
Изображения:
Вас могут заинтересовать:

25.06.2012
44 продажи
Древние греки определяли мудрость как
Купить
$ 1.95

30.12.2012
20 продаж
Социальное и экономическое прогнозирование тест 1 МЭИ
Купить
$ 0.37

30.09.2020
8 продаж
Расчетно-графическая работа 1. Вариант 1 Сетков В.И.
Купить
$ 0.98

05.11.2010
5 продаж
Врач Даниленко, осужден по ч. 2 ст. 109 УК (2010)
Купить
$ 2

16.08.2019
0 продаж
Задачи по платежному балансу
Купить
$ 3.91

29.07.2020
0 продаж
Кейс 2. Теория и практика связей с общественностью.
Купить
$ 4.88

27.10.2018
0 продаж
Виды Вооруженных Сил, их функции и задачи, роль в систе
Купить
$ 2.93

10.01.2016
2 продажи
Правоохранительные органы практическая
Купить
$ 0.78

14.11.2021
1 продажа
Кутуков Б.Н. 1990 Задача 4 вариант x35
Купить
$ 0.98

23.01.2022
1 продажа
Байарыст 2008 №7 вариант 8
Купить
$ 0.48

13.01.2017
1 продажа
Вариант 3 ИДЗ 15.1 Решебник Рябушко часть 3
Купить
$ 0.9

05.03.2024
0 продаж
Ответы на ИДЗ 9.2 вариант 15 Рябушко часть 2
Купить
$ 0.87
05.03.2024
0 продаж
Ответы на ИДЗ 11.4 вариант 25 Рябушко часть 2
Купить
$ 1.1

26.10.2024
0 продаж
Ответы на ИДЗ 8.1 вариант 7 Рябушко часть 2
Купить
$ 0.79

01.08.2022
0 продаж
Кутуков Б.Н. 1990 Задача 8 вариант 079
Купить
$ 0.88

21.08.2022
0 продаж
Кутуков Б.Н. 1990 Задача 5 вариант 028
Купить
$ 0.98

12.06.2023
0 продаж
Тарг С.М. 1989 Д1 вариант 21
Купить
$ 0.49

13.11.2023
0 продаж
Тарг С.М. 1989 С4 вариант 10
Купить
$ 0.39

19.05.2024
0 продаж
Тарг С.М. 1988 С2 вариант 42
Купить
$ 0.39

13.05.2024
0 продаж
Тарг С.М. 1988 С2 вариант 06
Купить
$ 0.49

21.07.2023
0 продаж
Тарг С.М. 1988 К2 вариант 79
Купить
$ 0.49

18.06.2025
0 продаж
Тарг С.М. 1988 Д3 вариант 49
Купить
$ 0.49
10.06.2025
0 продаж
Ответы на ИДЗ 12.2 вариант 19 Рябушко часть 3
Купить
$ 1.5

14.07.2022
0 продаж
Тарг С.М. 1988 Д1 вариант 59
Купить
$ 0.49

13.07.2022
0 продаж
Тарг С.М. 1988 Д1 вариант 28
Купить
$ 0.49

02.08.2020
0 продаж
Вариант 18 ИДЗ 13.2 Решебник Рябушко часть 3
Купить
$ 0.9

02.08.2020
0 продаж
Вариант 20 ИДЗ 13.1 Решебник Рябушко часть 3
Купить
$ 1.05
10.06.2025
0 продаж
Ответы на ИДЗ 13.3 вариант 1 Рябушко часть 3
Купить
$ 1.2

15.08.2012
21 продажа
Решение задачи 12.21 из раздела 3 УМФ автор Чудесенко В
Купить
$ 0.75
22.07.2013
4 продажи
Решение Д4 Вариант 79 (рис. 7 усл. 9) термех Тарг 1988г
Купить
$ 0.8

26.07.2012
25 продаж
Вариант 06 Задача 1.2. РГР по ТОЭ "по Бессонову ..."
Купить
$ 3.09

27.04.2013
1 продажа
Коммерческая деятельность (тест)
Купить
$ 6.35

15.08.2012
9 продаж
Решение задачи 4.20 из раздела 3 УМФ автор Чудесенко В
Купить
$ 0.75

15.08.2012
2 продажи
Решение задачи 8.17 из раздела 3 УМФ автор Чудесенко В
Купить
$ 0.75

28.03.2013
3 продажи
Финансы и кредит, вариант 3
Купить
$ 0.49
26.06.2013
2 продажи
Задача Д2 В42 (рисунок 4 условие 2) теормех Тарг 1989г
Купить
$ 0.8
04.07.2013
6 продаж
Решение Д6 В07 (рис 0 усл 7) термех Тарг С.М. 1989
Купить
$ 0.8

29.03.2014
36 продаж
Оценка стоимости бизнеса практическая работа с ответами
Купить
$ 0.51
03.07.2013
2 продажи
Контрольная работа Д4 В69 (рис 6 усл 9) термех Тарг 89г
Купить
$ 0.8

31.03.2014
56 продаж
Финансовые вычисления тест с ответами, 38 вопросов,ч.1
Купить
$ 0.43

05.07.2013
140 продаж
Право интеллектуальной собственности практическая 10 з.
Купить
$ 0.51

26.10.2013
18 продаж
Актуальные проблемы административного права контрольная
Купить
$ 0.51

23.10.2013
4 продажи
18 Задача по химии № 18
Купить
$ 3.09

29.06.2013
41 продажа
Английский язык как средство делового общения практич.
Купить
$ 0.51

29.06.2013
82 продажи
Бизнес планирование онлайн тест с ответами,40 вопросов
Купить
$ 0.51

24.01.2016
9 продаж
Учет и оперативная деятельность банка тест, 75 вопр.
Купить
$ 0.43
16.05.2016
14 продаж
Решение задачи 4.11(2005) 3 УМФ автор Чудесенко В.Ф.
Купить
$ 0.75
14.08.2012
15 продаж
Решение задачи 4.1 из раздела 3 УМФ автор Чудесенко ВФ
Купить
$ 0.75
14.08.2012
9 продаж
Решение задачи 7.8 из раздела 3 УМФ автор Чудесенко ВФ
Купить
$ 0.75

21.02.2025
0 продаж
Вариант 28 ИДЗ 1.1 Решебник Рябушко часть 1
Купить
$ 0.49