USSR SHOP »
Магазин »
Электронные книги »
Наука и образование »
Контрольные работы » Решение задачи 5.24 из раздела 3 УМФ автор Чудесенко В.
Купить Решение задачи 5.24 из раздела 3 УМФ автор Чудесенко В.
Обновлено: 2025-10-24 00:07:22

$ 0.75
7 продаж
Всего продаж: 7
✅ Методы оплаты: 











Описание товара:
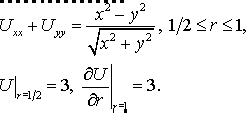
Решение задачи 5.24 (задача 5 вариант 24) по высшей математике из раздела: Уравнения Математической Физики (УМФ). Задачник: Чудесенко В.Ф. Сборник заданий по специальным курсам высшей математики (типовые расчеты). — Москва: Высшая школа. Решение подходит для изданий: 1983 (1994, 2005-2009) гг..
После оплаты вы получите архив zip. Решение выполнено в электронном виде и сохранено в виде картинки в формате tif. Открывается любой программой. Разрешение 300 dpi. Решение неоднократно сдавалось в ВУЗах России. Все недочёты исправлены.
Буду очень благодарна, если Вы оставите ПОЛОЖИТЕЛЬНЫЙ ОТЗЫВ после покупки.
СПАСИБО!
После оплаты вы получите архив zip. Решение выполнено в электронном виде и сохранено в виде картинки в формате tif. Открывается любой программой. Разрешение 300 dpi. Решение неоднократно сдавалось в ВУЗах России. Все недочёты исправлены.
Буду очень благодарна, если Вы оставите ПОЛОЖИТЕЛЬНЫЙ ОТЗЫВ после покупки.
СПАСИБО!
Изображения:
Вас могут заинтересовать:

04.05.2011
13 продаж
Контрольная РФЭИ Бухгалтерская финан. отчетность 2 зад.
Купить
$ 2.2

28.08.2010
7 продаж
практическая по Информационные технологии управления
Купить
$ 0.98

21.04.2020
5 продаж
Контрольная работа по гражданскому процессу
Купить
$ 6

07.06.2017
4 продажи
Принятие решений в условиях неопределенности задача
Купить
$ 0.76

18.01.2020
0 продаж
Управление образовательными системами.
Купить
$ 3.91

03.08.2020
0 продаж
Практическая работа. Картография конфликта.
Купить
$ 4.4

16.08.2019
0 продаж
Технические основы создания машин. Вариант 1.
Купить
$ 3.42

10.07.2019
0 продаж
ТК-8. Задание. Налоги.
Купить
$ 2.47

05.11.2015
2 продажи
Регулирование социально-трудовых отношений
Купить
$ 0.78
20.02.2025
1 продажа
Вариант 5 ИДЗ 15.1 Решебник Рябушко часть 3
Купить
$ 1.18
07.03.2024
0 продаж
Ответы на ИДЗ 6.1 вариант 16 Рябушко часть 1
Купить
$ 1.4

05.03.2024
0 продаж
Ответы на ИДЗ 8.4 вариант 19 Рябушко часть 2
Купить
$ 1.19
07.03.2024
0 продаж
Ответы на ИДЗ 6.2 вариант 24 Рябушко часть 1
Купить
$ 1.2

23.01.2024
0 продаж
Кутуков Б.Н. 1990 Задача 4 вариант 103
Купить
$ 0.98

26.10.2024
0 продаж
Ответы на ИДЗ 8.1 вариант 29 Рябушко часть 2
Купить
$ 0.79

13.09.2023
0 продаж
Тарг С.М. 1988 К3 вариант 89
Купить
$ 0.49

16.10.2023
0 продаж
Тарг С.М. 1988 Д2 вариант 64
Купить
$ 0.39

08.06.2023
0 продаж
Тарг С.М. 1989 Д1 вариант 82
Купить
$ 0.49

25.05.2024
0 продаж
Тарг С.М. 1988 С1 вариант 83
Купить
$ 0.49

11.06.2024
0 продаж
Тарг С.М. 1988 К1 вариант 47
Купить
$ 0.39

30.07.2024
0 продаж
Тарг С.М. 1988 Д4 вариант 10
Купить
$ 0.39

12.08.2021
0 продаж
Байарыст 2008 №3 вариант 9
Купить
$ 0.37

23.01.2022
0 продаж
Байарыст 2008 №6 вариант 26
Купить
$ 0.29

06.11.2022
0 продаж
Байарыст 2018-1 №5 вариант 7
Купить
$ 0.37

12.08.2020
0 продаж
Вариант 22 ИДЗ 6.4 Решебник Рябушко часть 1
Купить
$ 0.83

21.02.2025
0 продаж
Вариант 22 ИДЗ 15.1 Решебник Рябушко часть 3
Купить
$ 1.18

21.02.2025
0 продаж
Вариант 22 ИДЗ 14.1 Решебник Рябушко часть 3
Купить
$ 1.08

21.02.2025
0 продаж
Вариант 30 ИДЗ 14.2 Решебник Рябушко часть 3
Купить
$ 0.74

23.05.2022
0 продаж
Термодинамика. Задача Т2.
Купить
$ 1.46
28.06.2013
1 продажа
Решение Д3 В96 (рисунок 9 условие 6) термех Тарг 1989
Купить
$ 0.8
10.07.2013
1 продажа
Д12 Вариант 48 (рис. 4 усл. 8) теормех Тарг С.М. 1989 г
Купить
$ 0.8

14.08.2012
33 продажи
Решение задачи 2.12 из раздела 3 УМФ автор Чудесенко В
Купить
$ 0.75
18.07.2013
2 продажи
К2 Вариант 00 (рис. 0 усл. 0) решение термех Тарг 1988г
Купить
$ 0.8
04.07.2013
5 продаж
Решение Д6 В93 (рис 9 усл 3) термех Тарг С.М. 1989 г.
Купить
$ 0.8

26.07.2012
9 продаж
Вариант 51 Задача 1.2. РГР по ТОЭ "по Бессонову ..."
Купить
$ 3.09
12.07.2013
9 продаж
Задача С1 Вариант 02 (рис. 0 усл. 2) термех Тарг 1988 г
Купить
$ 0.8

30.06.2013
43 продажи
Бухгалтерский управленческий учет практическая
Купить
$ 0.51
24.05.2013
6 продаж
Решение С2 рисунок 6 условие 4 (вариант 64) Тарг 1989
Купить
$ 0.8
12.07.2013
7 продаж
Задача С1 Вариант 76 (рис. 7 усл. 6) термех Тарг 1988 г
Купить
$ 0.8

05.07.2013
40 продаж
Основы документационного обеспечения управления контр.
Купить
$ 0.38
24.05.2013
9 продаж
Решение С1 рисунок 9 условие 8 (вариант 98) Тарг 1989
Купить
$ 0.8

05.07.2013
94 продажи
Социология тест с ответами 160 вопросов МЭИ
Купить
$ 0.3

05.01.2016
47 продаж
Математика контрольная ч 2
Купить
$ 0.65

05.07.2013
69 продаж
Риторика контрольная работа с ответами 10 вопросов
Купить
$ 0.3

18.01.2014
33 продажи
Вопрос 1. Какие ассоциации вызывает понятие "этика" у с
Купить
$ 0.98

02.02.2017
8 продаж
Иностранный язык в сфере юриспруденции imei.anomir.ru
Купить
$ 1.08
15.08.2012
1 продажа
Решение задачи 10.25 из раздела 3 УМФ автор Чудесенко В
Купить
$ 0.75

27.09.2012
1 продажа
Индивидуальный предприниматель Пименов Н.Г., использует
Купить
$ 47.84