USSR SHOP »
Магазин »
Электронные книги »
Наука и образование »
Контрольные работы » Решение задачи 9.22 из раздела 3 УМФ автор Чудесенко В.
Купить Решение задачи 9.22 из раздела 3 УМФ автор Чудесенко В.
Обновлено: 2025-10-23 19:04:15

$ 0.75
16 продаж
Всего продаж: 16
✅ Методы оплаты: 











Описание товара:
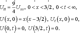
Решение задачи 9.22 (задача 9 вариант 22) по высшей математике из раздела: Уравнения Математической Физики (УМФ). Задачник: Чудесенко В.Ф. Сборник заданий по специальным курсам высшей математики (типовые расчеты). — Москва: Высшая школа. Решение подходит для изданий: 1983 (1994, 2005-2009) гг..
После оплаты вы получите архив zip. Решение выполнено в электронном виде и сохранено в виде картинки в формате tif. Открывается любой программой. Разрешение 300 dpi. Решение неоднократно сдавалось в ВУЗах России. Все недочёты исправлены.
Буду очень благодарна, если Вы оставите ПОЛОЖИТЕЛЬНЫЙ ОТЗЫВ после покупки.
СПАСИБО!
После оплаты вы получите архив zip. Решение выполнено в электронном виде и сохранено в виде картинки в формате tif. Открывается любой программой. Разрешение 300 dpi. Решение неоднократно сдавалось в ВУЗах России. Все недочёты исправлены.
Буду очень благодарна, если Вы оставите ПОЛОЖИТЕЛЬНЫЙ ОТЗЫВ после покупки.
СПАСИБО!
Изображения:
Вас могут заинтересовать:

05.11.2010
11 продаж
Вольский, находясь в неприязненных отношениях (2008)
Купить
$ 2

10.05.2022
9 продаж
143. Задачка по химии №014 3519
Купить
$ 1.02

19.05.2016
5 продаж
Гарбузова КР1 Вариант 38
Купить
$ 1.95

05.08.2019
2 продажи
Статистика МФПУ Синергия тесты
Купить
$ 1.46

30.09.2018
2 продажи
7 Вариант. Моделирование РЦБ.
Купить
$ 1.48

27.10.2018
0 продаж
3 кейса. Экономика.
Купить
$ 6.84

19.01.2020
0 продаж
Фирменный стиль организации.
Купить
$ 3.91

22.07.2021
0 продаж
Принятие решения в условиях определенности
Купить
$ 4.32

17.07.2019
0 продаж
Психология. Кейс 1. Вариант 1.
Купить
$ 4.88

20.01.2021
0 продаж
Тест. Организационное поведение.
Купить
$ 2.93

27.10.2018
0 продаж
Гостиничное дело. Практическая работа. 2 вопроса.
Купить
$ 2.93

03.08.2020
0 продаж
Практическое задание №3. Механика грунтов.
Купить
$ 5.86

14.02.2023
1 продажа
Качественные и количественные методы анализа психологич
Купить
$ 2.5
07.03.2024
0 продаж
Ответы на ИДЗ 15.1 вариант 14 Рябушко часть 3
Купить
$ 1.2

07.03.2024
0 продаж
Ответы на ИДЗ 6.4 вариант 3 Рябушко часть 1
Купить
$ 0.87

01.08.2022
0 продаж
Кутуков Б.Н. 1990 Задача 8 вариант 079
Купить
$ 0.88

18.01.2020
0 продаж
Управление изменениями. КР.
Купить
$ 4.88

17.05.2024
0 продаж
Тарг С.М. 1988 С2 вариант 67
Купить
$ 0.39

20.05.2024
0 продаж
Тарг С.М. 1988 С2 вариант 15
Купить
$ 0.49

29.07.2024
0 продаж
Тарг С.М. 1988 Д4 вариант 05
Купить
$ 0.49

23.07.2023
0 продаж
Тарг С.М. 1988 К2 вариант 89
Купить
$ 0.39

09.07.2025
0 продаж
Тарг С.М. 1988 Д3 вариант 77
Купить
$ 0.49

21.06.2025
0 продаж
Тарг С.М. 1988 Д3 вариант 56
Купить
$ 0.49

09.04.2025
0 продаж
Тарг С.М. 1989 С2 вариант 63
Купить
$ 0.49

14.03.2022
0 продаж
Байарыст 2008 №10 вариант 6
Купить
$ 0.61

27.07.2023
0 продаж
Тарг С.М. 1988 К3 вариант 00
Купить
$ 0.49

15.09.2020
0 продаж
Вариант 19 ИДЗ 11.4 Решебник Рябушко часть 2
Купить
$ 0.9

21.02.2025
0 продаж
Вариант 28 ИДЗ 2.2 Решебник Рябушко часть 1
Купить
$ 0.69

23.05.2022
0 продаж
Техническая механика. Задача ТМ1.
Купить
$ 1.46
24.05.2013
9 продаж
Решение С2 рисунок 2 условие 5 (вариант 25) Тарг 1989
Купить
$ 0.8
02.12.2012
1 продажа
Вариант 51 Задача 4.1. РГР по ТОЭ по Бессонову ...
Купить
$ 3.09
15.08.2012
11 продаж
Решение задачи 4.21 из раздела 3 УМФ автор Чудесенко В
Купить
$ 0.75

14.08.2012
33 продажи
Решение задачи 2.12 из раздела 3 УМФ автор Чудесенко В
Купить
$ 0.75

27.11.2014
3 продажи
Международные экономические отношения. Контр раб ИМЭИ
Купить
$ 0.88
08.07.2013
3 продажи
Тарг С.М. 1989 г. решение задачи Д10 В20 (рис. 2усл. 0)
Купить
$ 0.8
12.06.2013
8 продаж
Решение задачи К2 рис 2 усл 7 (вариант 27) Тарг С.М. 89
Купить
$ 0.8

26.07.2012
23 продажи
Вариант 08 Задача 1.2. РГР по ТОЭ "по Бессонову ..."
Купить
$ 2.44
22.07.2012
20 продаж
Вариант 17 Задача 1.1. РГР по ТОЭ "по Бессонову ..."
Купить
$ 3.06
09.05.2012
4 продажи
06 Решение задачи переходные процессы схема 6
Купить
$ 3.06
03.07.2013
2 продажи
Контрольная работа Д4 В57 (рис 5 усл 7) термех Тарг 89г
Купить
$ 0.8
24.05.2013
12 продаж
Решение С1 рисунок 2 условие 2 (вариант 22) Тарг 1989
Купить
$ 0.8
12.06.2013
8 продаж
Решение задачи К2 рис 9 усл 7 (вариант 97) Тарг С.М. 89
Купить
$ 0.8

04.07.2013
167 продаж
Международное право практическая с ответами,10 заданий
Купить
$ 0.3

05.07.2013
32 продажи
Статистика контрольная с ответами 10 заданий
Купить
$ 0.51

24.04.2014
55 продаж
ОРГАНИЗАЦИОННАЯ КУЛЬТУРА ТЕСТ С ОТВЕТАМИ, 40 ВОПРОСОВ
Купить
$ 0.43

27.06.2013
118 продаж
Мировая экономика тест с ответами,130 вопросов
Купить
$ 0.43

27.11.2014
3 продажи
Безопасность жизнедеятельности. Контрольная работа ИМЭИ
Купить
$ 1.1
14.08.2012
15 продаж
Решение задачи 16.12 из раздела 3 УМФ автор Чудесенко В
Купить
$ 0.75

15.05.2011
77 продаж
Статистика контрольная работа МЭИ
Купить
$ 0.78