USSR SHOP »
Магазин »
Электронные книги »
Наука и образование »
Контрольные работы » Решение задачи 5.6 из раздела 3 УМФ автор Чудесенко ВФ
Купить Решение задачи 5.6 из раздела 3 УМФ автор Чудесенко ВФ
Обновлено: 2025-10-25 01:14:32
$ 0.75
16 продаж
Всего продаж: 16
✅ Методы оплаты: 











Описание товара:
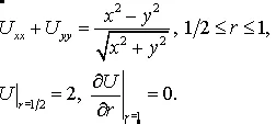
Решение задачи 5.6 (задача 5 вариант 6) по высшей математике из раздела: Уравнения Математической Физики (УМФ). Задачник: Чудесенко В.Ф. Сборник заданий по специальным курсам высшей математики (типовые расчеты). — Москва: Высшая школа. Решение подходит для изданий: 1983 (1994, 2005-2009) гг..
После оплаты вы получите архив zip. Решение выполнено в электронном виде и сохранено в виде картинки в формате tif. Открывается любой программой. Разрешение 300 dpi. Решение неоднократно сдавалось в ВУЗах России. Все недочёты исправлены.
Буду очень благодарна, если Вы оставите ПОЛОЖИТЕЛЬНЫЙ ОТЗЫВ после покупки.
СПАСИБО!
После оплаты вы получите архив zip. Решение выполнено в электронном виде и сохранено в виде картинки в формате tif. Открывается любой программой. Разрешение 300 dpi. Решение неоднократно сдавалось в ВУЗах России. Все недочёты исправлены.
Буду очень благодарна, если Вы оставите ПОЛОЖИТЕЛЬНЫЙ ОТЗЫВ после покупки.
СПАСИБО!
Изображения:
Вас могут заинтересовать:
04.03.2008
22 продажи
Контрольная работа РФЭИ исследование систем управления
Купить
$ 5
20.02.2014
19 продаж
Организационное поведение практическая МЭИ
Купить
$ 0.59
10.04.2011
17 продаж
Страхование - практическая работа
Купить
$ 0.98
20.05.2016
3 продажи
Теория игр контольная с ответами,часть 3,8 вариант
Купить
$ 2.02
22.07.2021
0 продаж
Задачи по финансовой математике
Купить
$ 3.91
03.08.2020
0 продаж
Практическая работа. Тема №5. Маркетинг.
Купить
$ 4.4
29.07.2020
0 продаж
Управление качеством. Кейс задание.
Купить
$ 4.4
29.07.2020
0 продаж
Тест. Управление PR-проектами.
Купить
$ 2.44
25.06.2020
2 продажи
Ведение операций с иностранной валютой и чеками Синерги
Купить
$ 1.47
13.02.2022
1 продажа
Финансовая грамотность Синергия (ответы тесты 100/100)
Купить
$ 1.84
17.06.2023
1 продажа
Тарг С.М. 1989 С1 вариант 31
Купить
$ 0.49
30.01.2023
1 продажа
Тарг С.М. 1989 С1 вариант 56
Купить
$ 0.49
24.01.2022
1 продажа
Байарыст 2008 №8 вариант 8
Купить
$ 0.85
07.03.2024
0 продаж
Ответы на ИДЗ 13.1 вариант 23 Рябушко часть 3
Купить
$ 1.4
07.03.2024
0 продаж
Ответы на ИДЗ 4.1 вариант 10 Рябушко часть 1
Купить
$ 0.95
04.03.2024
0 продаж
Ответы на ИДЗ 8.2 вариант 23 Рябушко часть 2
Купить
$ 1.2
16.10.2023
0 продаж
Тарг С.М. 1988 Д2 вариант 72
Купить
$ 0.49
13.11.2023
0 продаж
Тарг С.М. 1989 С4 вариант 13
Купить
$ 0.49
04.06.2023
0 продаж
Тарг С.М. 1989 К1 вариант 57
Купить
$ 0.49
06.08.2023
0 продаж
Тарг С.М. 1988 К3 вариант 11
Купить
$ 0.39
06.09.2023
0 продаж
Тарг С.М. 1988 К3 вариант 74
Купить
$ 0.49
06.09.2023
0 продаж
Тарг С.М. 1988 К3 вариант 77
Купить
$ 0.39
13.06.2025
0 продаж
Тарг С.М. 1988 Д3 вариант 33
Купить
$ 0.49
21.01.2022
0 продаж
Байарыст 2018-1 №4 вариант 4
Купить
$ 0.37
26.10.2024
0 продаж
Ответы на ИДЗ 3.1 и 3.2 вариант 17 Рябушко часть 1
Купить
$ 1.1
26.10.2024
0 продаж
Ответы на ИДЗ 3.1 и 3.2 вариант 20 Рябушко часть 1
Купить
$ 1.1
26.10.2024
0 продаж
Ответы на ИДЗ 2.1 и 2.2 вариант 21 Рябушко часть 1
Купить
$ 1.2
24.01.2019
0 продаж
МЭИ Теория организации. Тест 21 задание по 5 вопросов
Купить
$ 0.78
21.02.2025
0 продаж
Вариант 16 ИДЗ 11.3 Решебник Рябушко часть 2
Купить
$ 1.18
21.02.2025
0 продаж
Вариант 29 ИДЗ 9.1 Решебник Рябушко часть 2
Купить
$ 1.27
12.08.2025
0 продаж
Расчет посадки соединения 45L0/js6 в Word со схемой
Купить
$ 1.3
23.06.2013
7 продаж
Решение задачи К4 В58 (рисунок К4.5 условие 8) Тарг 89
Купить
$ 0.8
03.07.2013
2 продажи
Решение Д5 В73 (рис 7 усл 3) теормех Тарг С.М. 1989 г
Купить
$ 0.8
24.05.2013
5 продаж
Решение С2 рисунок 3 условие 1 (вариант 31) Тарг 1989
Купить
$ 0.8
09.11.2010
22 продажи
Решение задачи Д24 В9 по теормеху из Яблонского А.А.
Купить
$ 0.62
20.06.2013
8 продаж
Решение контрольной К3 рис 8 усл 4 (вариант 84) Тарг 89
Купить
$ 0.8
28.05.2013
4 продажи
Решение С3 рисунок 6 условие 1 (вариант 61) Тарг 1989
Купить
$ 0.8
24.06.2013
8 продаж
Решение Д1 В04 (рисунок Д1.0 условие 4) термех Тарг 89
Купить
$ 0.8
28.06.2013
1 продажа
Решение Д3 В40 (рисунок 4 условие 0) термех Тарг 1989
Купить
$ 0.8
26.06.2013
8 продаж
Решение Д1 В26 (рисунок Д1.2 условие 6) термех Тарг 89
Купить
$ 0.8
24.05.2013
5 продаж
Решение С1 рисунок 9 условие 5 (вариант 95) Тарг 1989
Купить
$ 0.8
12.06.2013
12 продаж
Решение задачи К2 рис 4 усл 5 (вариант 45) Тарг С.М. 89
Купить
$ 0.8
05.07.2013
26 продаж
Финансовая политика практическая с ответами 10 вопросов
Купить
$ 0.51
12.06.2013
6 продаж
Решение задачи К2 рис 6 усл 5 (вариант 65) Тарг С.М. 89
Купить
$ 0.8
18.07.2013
4 продажи
К2 Вариант 76 (рис.7 усл. 6) решение термех Тарг 1988г
Купить
$ 0.8
05.03.2013
0 продаж
Контрольная Психология
Купить
$ 2.47
05.03.2013
0 продаж
Основы приема и обслуживания туристов
Купить
$ 2.45
14.08.2012
10 продаж
Решение задачи 13.4 из раздела 3 УМФ автор Чудесенко ВФ
Купить
$ 0.75
22.01.2015
2 продажи
Экономика, практическая
Купить
$ 0.78
12.12.2011
11 продаж
Бухгалтерский финансовый учет контрольная МЭИ
Купить
$ 0.78