USSR SHOP »
Магазин »
Электронные книги »
Наука и образование »
Контрольные работы » Решение задачи 11.6 из раздела 3 УМФ автор Чудесенко ВФ
Купить Решение задачи 11.6 из раздела 3 УМФ автор Чудесенко ВФ
Обновлено: 2025-10-23 12:04:51
$ 0.75
7 продаж
Всего продаж: 7
✅ Методы оплаты: 











Описание товара:
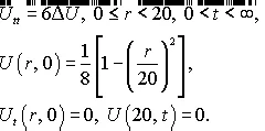
Решение задачи 11.6 (задача 11 вариант 6) по высшей математике из раздела: Уравнения Математической Физики (УМФ). Задачник: Чудесенко В.Ф. Сборник заданий по специальным курсам высшей математики (типовые расчеты). — Москва: Высшая школа. Решение подходит для изданий: 1983 (1994, 2005-2009) гг..
После оплаты вы получите архив zip. Решение выполнено в электронном виде и сохранено в виде картинки в формате tif. Открывается любой программой. Разрешение 300 dpi. Решение неоднократно сдавалось в ВУЗах России. Все недочёты исправлены.
Буду очень благодарна, если Вы оставите ПОЛОЖИТЕЛЬНЫЙ ОТЗЫВ после покупки.
СПАСИБО!
После оплаты вы получите архив zip. Решение выполнено в электронном виде и сохранено в виде картинки в формате tif. Открывается любой программой. Разрешение 300 dpi. Решение неоднократно сдавалось в ВУЗах России. Все недочёты исправлены.
Буду очень благодарна, если Вы оставите ПОЛОЖИТЕЛЬНЫЙ ОТЗЫВ после покупки.
СПАСИБО!
Изображения:
Вас могут заинтересовать:

03.10.2014
4 продажи
Гарбузова КР2 Вариант 16
Купить
$ 3.91

17.07.2018
1 продажа
Бухучет и аудит. 8-й вариант. КР. БФО.
Купить
$ 4.4

03.10.2014
3 продажи
Гарбузова КР2 Вариант 34
Купить
$ 3.91

29.07.2020
0 продаж
Макроэкономика. ТК - 7. Задание.
Купить
$ 4.4
27.09.2019
1 продажа
Уголовное право ответы на тесты Синергия
Купить
$ 1.46

18.09.2021
2 продажи
Байарыст 2008 №12 вариант 1
Купить
$ 0.99

19.05.2016
2 продажи
Гарбузова КР1 Вариант 11
Купить
$ 1.95

20.08.2022
1 продажа
Кутуков Б.Н. 1990 Задача 5 вариант 014
Купить
$ 1.22

11.06.2023
1 продажа
Тарг С.М. 1989 Д1 вариант 39
Купить
$ 0.49

17.06.2023
1 продажа
Тарг С.М. 1989 С1 вариант 32
Купить
$ 0.49

07.03.2024
0 продаж
Ответы на ИДЗ 19.1 вариант 16 Рябушко часть 4
Купить
$ 0.95

05.03.2024
0 продаж
Ответы на ИДЗ 10.1 вариант 20 Рябушко часть 2
Купить
$ 1.03
07.03.2024
0 продаж
Ответы на ИДЗ 6.3 вариант 20 Рябушко часть 1
Купить
$ 1.3
07.03.2024
0 продаж
Ответы на ИДЗ 6.3 вариант 23 Рябушко часть 1
Купить
$ 1.3

05.03.2024
0 продаж
Ответы на ИДЗ 10.1 вариант 8 Рябушко часть 2
Купить
$ 1.03

07.03.2024
0 продаж
Ответы на ИДЗ 5.1 вариант 8 Рябушко часть 1
Купить
$ 0.87
07.03.2024
0 продаж
Ответы на ИДЗ 5.1 вариант 21 Рябушко часть 1
Купить
$ 1.1
07.03.2024
0 продаж
Ответы на ИДЗ 14.1 вариант 6 Рябушко часть 3
Купить
$ 1.1

19.08.2022
0 продаж
Кутуков Б.Н. 1990 Задача 5 вариант 011
Купить
$ 0.98

09.06.2023
1 продажа
Тарг С.М. 1989 Д1 вариант 63
Купить
$ 0.49

15.11.2023
0 продаж
Тарг С.М. 1989 С4 вариант 28
Купить
$ 0.39

13.11.2023
0 продаж
Тарг С.М. 1989 С4 вариант 09
Купить
$ 0.39

13.11.2023
0 продаж
Тарг С.М. 1989 С4 вариант 08
Купить
$ 0.49

06.06.2023
0 продаж
Тарг С.М. 1989 К1 вариант 46
Купить
$ 0.39

24.05.2024
0 продаж
Тарг С.М. 1988 С1 вариант 92
Купить
$ 0.49

06.02.2025
0 продаж
Тарг С.М. 1989 С2 вариант 29
Купить
$ 0.49

02.07.2025
0 продаж
Тарг С.М. 1988 Д3 вариант 70
Купить
$ 0.49

23.01.2022
0 продаж
Байарыст 2008 №6 вариант 2
Купить
$ 0.37

18.10.2022
0 продаж
Байарыст 2018-1 №5 вариант 20
Купить
$ 0.37

04.11.2022
0 продаж
Байарыст 2008 №2 вариант 5
Купить
$ 0.33

04.11.2022
0 продаж
Байарыст 2008 №1 вариант 24
Купить
$ 0.26

01.08.2020
0 продаж
Вариант 19 ИДЗ 5.2 Решебник Рябушко часть 1
Купить
$ 0.83

21.02.2025
0 продаж
Вариант 28 ИДЗ 1.2 Решебник Рябушко часть 1
Купить
$ 0.98

13.05.2014
2 продажи
Компания является лизингополучателем по договору финанс
Купить
$ 0.98
22.07.2013
1 продажа
Решение Д4 Вариант 76(рис. 7 усл. 6) термех Тарг 1988г
Купить
$ 0.8

30.07.2012
4 продажи
Вариант 49 Задача 2.2. РГР по ТОЭ "по Бессонову ..."
Купить
$ 3.09
08.07.2013
2 продажи
Решебник Тарг С.М. задача Д9 В18 (рис 1 усл 8) 1989 год
Купить
$ 0.8
09.05.2012
3 продажи
02 Решение задачи переходные процессы схема 2
Купить
$ 2.44

26.10.2013
177 продаж
Земельное право контрольная с ответами, 10 вопросов
Купить
$ 0.3
26.06.2013
4 продажи
Задача Д2 В14 (рисунок 1 условие 4) теормех Тарг 1989г
Купить
$ 0.8
10.07.2013
1 продажа
Задача по термеху Д11 В44 (рис. 4 усл. 4) Тарг С.М. 89
Купить
$ 0.8

24.05.2013
5 продаж
Решение С2 рисунок 9 условие 5 (вариант 95) Тарг 1989
Купить
$ 0.8

15.08.2012
4 продажи
Решение задачи 3.25 из раздела 3 УМФ автор Чудесенко В
Купить
$ 0.75

05.07.2013
119 продаж
Эконометрика тест с ответами,180 вопросов
Купить
$ 0.38
07.06.2013
8 продаж
Решение задачи К1 рис 3 усл 2 (вариант 32) Тарг С.М. 89
Купить
$ 0.8
26.06.2013
9 продаж
Решение Д1 В81 (рисунок Д1.8 условие 1) термех Тарг 89
Купить
$ 0.8
07.06.2013
6 продаж
Решение задачи К1 рис 1 усл 4 (вариант 14) Тарг С.М. 89
Купить
$ 0.8

18.08.2021
0 продаж
Задача 17б
Купить
$ 0.49
14.08.2012
13 продаж
Решение задачи 13.5 из раздела 3 УМФ автор Чудесенко ВФ
Купить
$ 0.75

12.12.2011
27 продаж
Бухгалтерский финансовый учет часть 1 МЭИ тест
Купить
$ 0.78