USSR SHOP »
Магазин » Решение К1 вариант 52, решебник Тарг С.М. 1982 года
Купить Решение К1 вариант 52, решебник Тарг С.М. 1982 года
Всего продаж: 0
✅ Методы оплаты: 










Описание товара:
Решение задания К1 Вариант 52 из решебника по теоретической механике методички Тарга С.М. 1982 года.
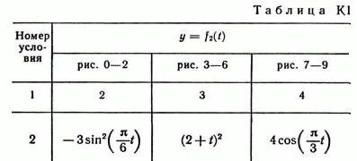
Сверьте условие к задаче С3 (стр. 32 в методичке Тарг С.М. 1982):
Точка В движется в плоскости xy (рис. К1.0 — К 1.9, табл. К1; траектория точки на рисунках показана условно). Закон движения точки задается уравнениями: x = f1(t), y = f2, где x и y выражены в сантиметрах, t — в секундах.
Необходимо найти уравнение траектории точки для момента времени t1 = 1 с определить скорость и ускорение точки, а также ее касательное и нормальное ускорения и радиус кривизны в соответствующей точке траектории.
Зависимость x = f1(t) указана непосредственно на рисунках, а зависимость y = f2 дана в табл. K1 (для рис. 0—2 в столбце 2, для рис. 3—6 в столбце 3, для рис. 7—9 в стол
Cразу после оплаты Вы получите решение задачи К1 вариант 52 по теоретической механике из решебника С.М. Тарг 1982 года. Задача выполнена по методическим указаниям и контрольным заданиям для студентов-заочников строительных, транспортных, машиностроительных и приборостроительных специальностей ВУЗов.
Решение оформлено в формате word.
Буду очень благодарен, если после получения работы Вы вернетесь на сайт и оставите положительный отзыв (отзыв можно оставить в любой момент перейдя по уникальной ссылке, полученной после оплаты). Это поможет сделать сервис лучше.
Заранее спасибо.
Сверьте условие к задаче С3 (стр. 32 в методичке Тарг С.М. 1982):
Точка В движется в плоскости xy (рис. К1.0 — К 1.9, табл. К1; траектория точки на рисунках показана условно). Закон движения точки задается уравнениями: x = f1(t), y = f2, где x и y выражены в сантиметрах, t — в секундах.
Необходимо найти уравнение траектории точки для момента времени t1 = 1 с определить скорость и ускорение точки, а также ее касательное и нормальное ускорения и радиус кривизны в соответствующей точке траектории.
Зависимость x = f1(t) указана непосредственно на рисунках, а зависимость y = f2 дана в табл. K1 (для рис. 0—2 в столбце 2, для рис. 3—6 в столбце 3, для рис. 7—9 в стол
Cразу после оплаты Вы получите решение задачи К1 вариант 52 по теоретической механике из решебника С.М. Тарг 1982 года. Задача выполнена по методическим указаниям и контрольным заданиям для студентов-заочников строительных, транспортных, машиностроительных и приборостроительных специальностей ВУЗов.
Решение оформлено в формате word.
Буду очень благодарен, если после получения работы Вы вернетесь на сайт и оставите положительный отзыв (отзыв можно оставить в любой момент перейдя по уникальной ссылке, полученной после оплаты). Это поможет сделать сервис лучше.
Заранее спасибо.