USSR SHOP »
Магазин » Решение Д7-50 (Рисунок Д7.5 условие 0 С.М. Тарг 1989 г)
Купить Решение Д7-50 (Рисунок Д7.5 условие 0 С.М. Тарг 1989 г)
Всего продаж: 0
✅ Методы оплаты: 











Описание товара:
Решение Д7-50 (Рисунок Д7.5 условие 0 С.М. Тарг 1989 г)
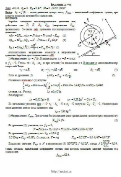
Барабан радиуса R весом P имеет выточку (как у катушки) радиуса r = 0,6R (рис. Д7.0 — Д7.9, табл. Д7). К концам намотанных на барабан нитей приложены постоянные силы F1 и F2, направления которых определяются углом β; кроме сил на барабан действует пара с моментом М; когда в таблице М<0, направление момента противоположно показанному на рисунке. При движении, начинающемся из состояния покоя, барабан катится без скольжения по шероховатой наклонной плоскости с углом наклона α так, как показано на рисунках. Пренебрегая сопротивлением качению, определить закон движения центра масс С барабана, т. е. xC = f(t), и наименьшее значение коэффициента трения f о плоскость, при котором возможно качение без скольжения. Барабан рассматривать как сплошной однородный цилиндр радиуса R.
Барабан радиуса R весом P имеет выточку (как у катушки) радиуса r = 0,6R (рис. Д7.0 — Д7.9, табл. Д7). К концам намотанных на барабан нитей приложены постоянные силы F1 и F2, направления которых определяются углом β; кроме сил на барабан действует пара с моментом М; когда в таблице М<0, направление момента противоположно показанному на рисунке. При движении, начинающемся из состояния покоя, барабан катится без скольжения по шероховатой наклонной плоскости с углом наклона α так, как показано на рисунках. Пренебрегая сопротивлением качению, определить закон движения центра масс С барабана, т. е. xC = f(t), и наименьшее значение коэффициента трения f о плоскость, при котором возможно качение без скольжения. Барабан рассматривать как сплошной однородный цилиндр радиуса R.