USSR SHOP »
Магазин » ИДЗ 16.1 – Вариант 6. Решения Рябушко А.П.
Купить ИДЗ 16.1 – Вариант 6. Решения Рябушко А.П.
Обновлено: 2025-12-13 11:59:44
$ 0.95
0 продаж
Всего продаж: 0
✅ Методы оплаты: 







Описание товара:
1. По заданному оригиналу найти изображение по Лапласу:
Значения параметров α, ω, Mi (i = 0, 1, 2, 3), A, B, C, D, E, F, G приведены в табл. 16.1
1.6. α = 0, ω = 2, M0 = 0, M1 = 0, M2 = −1, M3 = 2, A = 0, B = −1, C = 1, D = 0, E = 0, F = 0, G = 3
2. Найти изображение функции
Функции f1(t), f2(t) и числовые значения параметров t1, t2 приведены в табл. 16.2.
2.6. f1(t) = 3, f2(t) = −3, t1 = 1, t2 = 2
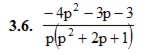
3. По заданному изображению
найти оригинал. Значения коэффициентов A, B, C, a, b, c приведены в табл. 16.3.
3.6. A = −4, B = −3, C = −3, a = 0, b = 2, c = 1.
Подробное решение. Оформлено в PDF-формате для удобства просмотра решений ИДЗ на смартфонах и ПК.
В MS Word (doc-формате) высылается дополнительно.
Значения параметров α, ω, Mi (i = 0, 1, 2, 3), A, B, C, D, E, F, G приведены в табл. 16.1
1.6. α = 0, ω = 2, M0 = 0, M1 = 0, M2 = −1, M3 = 2, A = 0, B = −1, C = 1, D = 0, E = 0, F = 0, G = 3
2. Найти изображение функции
Функции f1(t), f2(t) и числовые значения параметров t1, t2 приведены в табл. 16.2.
2.6. f1(t) = 3, f2(t) = −3, t1 = 1, t2 = 2
3. По заданному изображению
найти оригинал. Значения коэффициентов A, B, C, a, b, c приведены в табл. 16.3.
3.6. A = −4, B = −3, C = −3, a = 0, b = 2, c = 1.
Подробное решение. Оформлено в PDF-формате для удобства просмотра решений ИДЗ на смартфонах и ПК.
В MS Word (doc-формате) высылается дополнительно.
Изображения:
Вас могут заинтересовать:
07.07.2025
27 продаж
ИДЗ 2.1 – Вариант 3. Решения Рябушко А.П.
Купить
$ 0.76
10.07.2025
19 продаж
ИДЗ 19.1 – Вариант 4. Решения Рябушко А.П.
Купить
$ 1.42
10.07.2025
19 продаж
ИДЗ 12.1 – Вариант 9. Решения Рябушко А.П.
Купить
$ 1.26
09.07.2025
16 продаж
ИДЗ 11.1 – Вариант 1. Решения Рябушко А.П.
Купить
$ 1.16
08.07.2025
18 продаж
ИДЗ 6.4 – Вариант 12. Решения Рябушко А.П.
Купить
$ 1.09
08.07.2025
16 продаж
ИДЗ 6.2 – Вариант 8. Решения Рябушко А.П.
Купить
$ 1.31
08.07.2025
15 продаж
ИДЗ 3.1 – Вариант 10. Решения Рябушко А.П.
Купить
$ 0.74
08.07.2025
14 продаж
ИДЗ 3.2 – Вариант 3. Решения Рябушко А.П.
Купить
$ 0.53
08.07.2025
14 продаж
ИДЗ 6.2 – Вариант 15. Решения Рябушко А.П.
Купить
$ 1.31
08.07.2025
15 продаж
ИДЗ 6.4 – Вариант 17. Решения Рябушко А.П.
Купить
$ 1.05
08.07.2025
14 продаж
ИДЗ 6.4 – Вариант 14. Решения Рябушко А.П.
Купить
$ 1.05
08.07.2025
14 продаж
ИДЗ 6.4 – Вариант 11. Решения Рябушко А.П.
Купить
$ 1.05
09.07.2025
13 продаж
ИДЗ 11.2 – Вариант 9. Решения Рябушко А.П.
Купить
$ 1.2
10.07.2025
14 продаж
ИДЗ 18.1 – Вариант 2. Решения Рябушко А.П.
Купить
$ 1.53
09.07.2025
12 продаж
ИДЗ 9.2 – Вариант 10. Решения Рябушко А.П.
Купить
$ 1.09
10.07.2025
12 продаж
ИДЗ 18.2 – Вариант 18. Решения Рябушко А.П.
Купить
$ 1.47
08.07.2025
11 продаж
ИДЗ 4.1 – Вариант 25. Решения Рябушко А.П.
Купить
$ 1.31
09.07.2025
10 продаж
ИДЗ 11.1 – Вариант 14. Решения Рябушко А.П.
Купить
$ 1.2
08.07.2025
13 продаж
ИДЗ 8.2 – Вариант 1. Решения Рябушко А.П.
Купить
$ 1.31
07.07.2025
12 продаж
ИДЗ 2.2 – Вариант 24. Решения Рябушко А.П.
Купить
$ 0.74
08.07.2025
13 продаж
ИДЗ 8.3 – Вариант 8. Решения Рябушко А.П.
Купить
$ 1.37
08.07.2025
12 продаж
ИДЗ 8.4 – Вариант 12. Решения Рябушко А.П.
Купить
$ 1.47
08.07.2025
13 продаж
ИДЗ 6.1 – Вариант 3. Решения Рябушко А.П.
Купить
$ 1.47
10.07.2025
10 продаж
ИДЗ 13.1 – Вариант 4. Решения Рябушко А.П.
Купить
$ 1.37
09.07.2025
10 продаж
ИДЗ 10.1 – Вариант 20. Решения Рябушко А.П.
Купить
$ 1.37
10.07.2025
8 продаж
ИДЗ 19.1 – Вариант 28. Решения Рябушко А.П.
Купить
$ 1.42
08.07.2025
7 продаж
ИДЗ 3.1 – Вариант 27. Решения Рябушко А.П.
Купить
$ 0.76
09.07.2025
9 продаж
ИДЗ 10.1 – Вариант 14. Решения Рябушко А.П.
Купить
$ 1.42
10.07.2025
7 продаж
ИДЗ 13.1 – Вариант 16. Решения Рябушко А.П.
Купить
$ 1.37
08.07.2025
6 продаж
ИДЗ 3.2 – Вариант 25. Решения Рябушко А.П.
Купить
$ 0.53
10.07.2025
6 продаж
ИДЗ 11.4 – Вариант 9. Решения Рябушко А.П.
Купить
$ 1.2
10.07.2025
7 продаж
ИДЗ 11.4 – Вариант 1. Решения Рябушко А.П.
Купить
$ 1.2
10.07.2025
6 продаж
ИДЗ 14.1 – Вариант 6. Решения Рябушко А.П.
Купить
$ 1.05
08.07.2025
6 продаж
ИДЗ 6.3 – Вариант 28. Решения Рябушко А.П.
Купить
$ 1.37
09.07.2025
8 продаж
ИДЗ 10.1 – Вариант 4. Решения Рябушко А.П.
Купить
$ 1.37
10.07.2025
6 продаж
ИДЗ 12.3 – Вариант 12. Решения Рябушко А.П.
Купить
$ 1.47
10.07.2025
5 продаж
ИДЗ 19.2 – Вариант 24. Решения Рябушко А.П.
Купить
$ 1.42
07.07.2025
7 продаж
ИДЗ 2.2 – Вариант 18. Решения Рябушко А.П.
Купить
$ 0.74
07.07.2025
6 продаж
ИДЗ 2.2 – Вариант 23. Решения Рябушко А.П.
Купить
$ 0.76
10.07.2025
3 продажи
ИДЗ 15.2 – Вариант 7. Решения Рябушко А.П.
Купить
$ 1.31
10.07.2025
2 продажи
ИДЗ 16.3 – Вариант 23. Решения Рябушко А.П.
Купить
$ 0.87
10.07.2025
2 продажи
ИДЗ 13.2 – Вариант 25. Решения Рябушко А.П.
Купить
$ 1.05
10.07.2025
1 продажа
ИДЗ 11.4 – Вариант 10. Решения Рябушко А.П.
Купить
$ 1.2
10.07.2025
1 продажа
ИДЗ 16.1 – Вариант 1. Решения Рябушко А.П.
Купить
$ 0.95
10.07.2025
1 продажа
ИДЗ 13.3 – Вариант 21. Решения Рябушко А.П.
Купить
$ 1.2
10.07.2025
0 продаж
ИДЗ 16.1 – Вариант 29. Решения Рябушко А.П.
Купить
$ 0.95
10.07.2025
0 продаж
ИДЗ 13.3 – Вариант 19. Решения Рябушко А.П.
Купить
$ 1.2
10.07.2025
0 продаж
ИДЗ 14.2 – Вариант 23. Решения Рябушко А.П.
Купить
$ 0.63
10.07.2025
0 продаж
ИДЗ 16.2 – Вариант 20. Решения Рябушко А.П.
Купить
$ 0.95
12.06.2020
13 продаж
ИДЗ 1.1 – Вариант 16. Решения Рябушко А.П.
Купить
$ 0.33