USSR SHOP »
Магазин » ИДЗ 16.1 – Вариант 25. Решения Рябушко А.П.
Купить ИДЗ 16.1 – Вариант 25. Решения Рябушко А.П.
Обновлено: 2025-12-18 06:49:43
$ 0.98
0 продаж
Всего продаж: 0
✅ Методы оплаты: 







Описание товара:
1. По заданному оригиналу найти изображение по Лапласу:
Значения параметров α, ω, Mi (i = 0, 1, 2, 3), A, B, C, D, E, F, G приведены в табл. 16.1
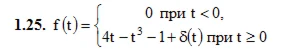
1.25. α = 0, ω = 0, M0 = 0, M1 = 2, M2 = 0, M3 = −1, A = 0, B = 0, C = 2, D = −1, E = 0, F = 1, G = 0
2. Найти изображение функции
Функции f1(t), f2(t) и числовые значения параметров t1, t2 приведены в табл. 16.2.
2.25. f1(t) = 2t, f2(t) = 2(2π−t), t1 = π, t2 = 2π
3. По заданному изображению
найти оригинал. Значения коэффициентов A, B, C, a, b, c приведены в табл. 16.3.
3.25. A = 5, B = 5, C = −58, a = −4, b = 2, c = −3.
Подробное решение. Оформлено в PDF-формате для удобства просмотра решений ИДЗ на смартфонах и ПК.
В MS Word (doc-формате) высылается дополнительно.
Значения параметров α, ω, Mi (i = 0, 1, 2, 3), A, B, C, D, E, F, G приведены в табл. 16.1
1.25. α = 0, ω = 0, M0 = 0, M1 = 2, M2 = 0, M3 = −1, A = 0, B = 0, C = 2, D = −1, E = 0, F = 1, G = 0
2. Найти изображение функции
Функции f1(t), f2(t) и числовые значения параметров t1, t2 приведены в табл. 16.2.
2.25. f1(t) = 2t, f2(t) = 2(2π−t), t1 = π, t2 = 2π
3. По заданному изображению
найти оригинал. Значения коэффициентов A, B, C, a, b, c приведены в табл. 16.3.
3.25. A = 5, B = 5, C = −58, a = −4, b = 2, c = −3.
Подробное решение. Оформлено в PDF-формате для удобства просмотра решений ИДЗ на смартфонах и ПК.
В MS Word (doc-формате) высылается дополнительно.
Изображения:
Вас могут заинтересовать:
09.07.2025
27 продаж
ИДЗ 10.1 – Вариант 7. Решения Рябушко А.П.
Купить
$ 1.37
09.07.2025
20 продаж
ИДЗ 10.2 – Вариант 7. Решения Рябушко А.П.
Купить
$ 1.16
08.07.2025
22 продажи
ИДЗ 8.1 – Вариант 18. Решения Рябушко А.П.
Купить
$ 0.95
08.07.2025
19 продаж
ИДЗ 3.2 – Вариант 1. Решения Рябушко А.П.
Купить
$ 0.55
08.07.2025
18 продаж
ИДЗ 3.2 – Вариант 7. Решения Рябушко А.П.
Купить
$ 0.55
09.07.2025
17 продаж
ИДЗ 9.1 – Вариант 15. Решения Рябушко А.П.
Купить
$ 1.26
08.07.2025
16 продаж
ИДЗ 3.2 – Вариант 5. Решения Рябушко А.П.
Купить
$ 0.53
09.07.2025
16 продаж
ИДЗ 11.1 – Вариант 1. Решения Рябушко А.П.
Купить
$ 1.16
08.07.2025
17 продаж
ИДЗ 4.1 – Вариант 2. Решения Рябушко А.П.
Купить
$ 1.31
08.07.2025
16 продаж
ИДЗ 6.2 – Вариант 8. Решения Рябушко А.П.
Купить
$ 1.31
08.07.2025
17 продаж
ИДЗ 5.1 – Вариант 8. Решения Рябушко А.П.
Купить
$ 1.05
08.07.2025
17 продаж
ИДЗ 8.2 – Вариант 5. Решения Рябушко А.П.
Купить
$ 1.26
10.07.2025
16 продаж
ИДЗ 12.2 – Вариант 4. Решения Рябушко А.П.1
Купить
$ 1.47
08.07.2025
17 продаж
ИДЗ 8.1 – Вариант 24. Решения Рябушко А.П.
Купить
$ 0.95
10.07.2025
15 продаж
ИДЗ 12.2 – Вариант 14. Решения Рябушко А.П.
Купить
$ 1.47
08.07.2025
14 продаж
ИДЗ 6.4 – Вариант 14. Решения Рябушко А.П.
Купить
$ 1.09
08.07.2025
12 продаж
ИДЗ 6.2 – Вариант 1. Решения Рябушко А.П.
Купить
$ 1.26
09.07.2025
12 продаж
ИДЗ 10.2 – Вариант 18. Решения Рябушко А.П.
Купить
$ 1.2
07.07.2025
12 продаж
ИДЗ 1.2 – Вариант 10. Решения Рябушко А.П.
Купить
$ 0.84
10.07.2025
12 продаж
ИДЗ 19.1 – Вариант 21. Решения Рябушко А.П.
Купить
$ 1.37
09.07.2025
12 продаж
ИДЗ 9.1 – Вариант 19. Решения Рябушко А.П.
Купить
$ 1.31
09.07.2025
10 продаж
ИДЗ 11.3 – Вариант 16. Решения Рябушко А.П.
Купить
$ 1.2
08.07.2025
13 продаж
ИДЗ 8.4 – Вариант 16. Решения Рябушко А.П.
Купить
$ 1.47
10.07.2025
10 продаж
ИДЗ 18.1 – Вариант 11. Решения Рябушко А.П.
Купить
$ 1.47
08.07.2025
9 продаж
ИДЗ 3.1 – Вариант 9. Решения Рябушко А.П.
Купить
$ 0.74
10.07.2025
8 продаж
ИДЗ 11.4 – Вариант 12. Решения Рябушко А.П.
Купить
$ 1.16
08.07.2025
8 продаж
ИДЗ 8.3 – Вариант 24. Решения Рябушко А.П.
Купить
$ 1.37
09.07.2025
10 продаж
ИДЗ 10.1 – Вариант 11. Решения Рябушко А.П.
Купить
$ 1.42
08.07.2025
7 продаж
ИДЗ 8.2 – Вариант 14. Решения Рябушко А.П.
Купить
$ 1.31
08.07.2025
8 продаж
ИДЗ 8.2 – Вариант 13. Решения Рябушко А.П.
Купить
$ 1.31
08.07.2025
8 продаж
ИДЗ 5.2 – Вариант 25. Решения Рябушко А.П.
Купить
$ 0.87
09.07.2025
7 продаж
ИДЗ 11.4 – Вариант 22. Решения Рябушко А.П.
Купить
$ 1.2
09.07.2025
9 продаж
ИДЗ 10.1 – Вариант 14. Решения Рябушко А.П.
Купить
$ 1.42
08.07.2025
6 продаж
ИДЗ 8.1 – Вариант 27. Решения Рябушко А.П.
Купить
$ 0.98
10.07.2025
7 продаж
ИДЗ 18.2 – Вариант 16. Решения Рябушко А.П.
Купить
$ 1.53
09.07.2025
6 продаж
ИДЗ 9.2 – Вариант 25. Решения Рябушко А.П.
Купить
$ 1.09
08.07.2025
6 продаж
ИДЗ 8.3 – Вариант 18. Решения Рябушко А.П.
Купить
$ 1.42
10.07.2025
5 продаж
ИДЗ 13.1 – Вариант 10. Решения Рябушко А.П.
Купить
$ 1.37
09.07.2025
5 продаж
ИДЗ 11.2 – Вариант 6. Решения Рябушко А.П.
Купить
$ 1.2
08.07.2025
4 продажи
ИДЗ 8.4 – Вариант 30. Решения Рябушко А.П.
Купить
$ 1.47
08.07.2025
2 продажи
ИДЗ 4.1 – Вариант 26. Решения Рябушко А.П.
Купить
$ 1.31
10.07.2025
2 продажи
ИДЗ 15.1 – Вариант 18. Решения Рябушко А.П.
Купить
$ 1.31
10.07.2025
3 продажи
ИДЗ 16.2 – Вариант 2. Решения Рябушко А.П.
Купить
$ 0.98
10.07.2025
2 продажи
ИДЗ 16.3 – Вариант 25. Решения Рябушко А.П.
Купить
$ 0.87
10.07.2025
2 продажи
ИДЗ 19.2 – Вариант 26. Решения Рябушко А.П.
Купить
$ 1.42
10.07.2025
1 продажа
ИДЗ 16.2 – Вариант 7. Решения Рябушко А.П.
Купить
$ 0.98
10.07.2025
1 продажа
ИДЗ 14.1 – Вариант 28. Решения Рябушко А.П.
Купить
$ 1.05
10.07.2025
0 продаж
ИДЗ 16.2 – Вариант 22. Решения Рябушко А.П.
Купить
$ 0.98
08.07.2025
0 продаж
ИДЗ 6.3 – Вариант 30. Решения Рябушко А.П.
Купить
$ 1.37
07.07.2025
25 продаж
ИДЗ 1.1 – Вариант 1. Решения Рябушко А.П.
Купить
$ 0.42