USSR SHOP »
Магазин » ИДЗ 16.2 – Вариант 27. Решения Рябушко А.П.
Купить ИДЗ 16.2 – Вариант 27. Решения Рябушко А.П.
Обновлено: 2025-10-23 16:05:21
$ 0.95
0 продаж
Всего продаж: 0
✅ Методы оплаты: 






Описание товара:
1. Решить операторным методом линейное дифференциальное уравнение
αẍ + βẋ + γx = f(t), x(t0) = A, ẋ(t0) = B
Функцию f(t) и значения коэффициентов α, β, γ, t0, x(t0), ẋ(t0) взять из табл. 16.4
1.27. α = 2, β = 0, γ = 8, f(t) = 2cos2t, t0 = 0, x(t0) = −1, ẋ(t0) = 2
1.27. 2ẍ + 8x = 2cos2t, x(0) = −1, ẋ(0) = 2
2. Решить операторным методом систему линейных дифференциальных уравнений
Функции f1(t), f2(t) и значения ak, bk, ck, dk (k=1, 2), A, B, x(0), y(0) взять из табл. 16.5
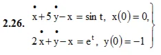
2.27. a1 = 2, b1 = 4, c1 = −2, d1 = −1, f1(t) = et, a2 = 0, b2 = −2, c2 = 1, d2 = 0, f2(t) = cost, x(0) = 1, y(0) = 0
Подробное решение. Оформлено в PDF-формате для удобства просмотра решений ИДЗ на смартфонах и ПК.
В MS Word (doc-формате) высылается дополнительно.
αẍ + βẋ + γx = f(t), x(t0) = A, ẋ(t0) = B
Функцию f(t) и значения коэффициентов α, β, γ, t0, x(t0), ẋ(t0) взять из табл. 16.4
1.27. α = 2, β = 0, γ = 8, f(t) = 2cos2t, t0 = 0, x(t0) = −1, ẋ(t0) = 2
1.27. 2ẍ + 8x = 2cos2t, x(0) = −1, ẋ(0) = 2
2. Решить операторным методом систему линейных дифференциальных уравнений
Функции f1(t), f2(t) и значения ak, bk, ck, dk (k=1, 2), A, B, x(0), y(0) взять из табл. 16.5
2.27. a1 = 2, b1 = 4, c1 = −2, d1 = −1, f1(t) = et, a2 = 0, b2 = −2, c2 = 1, d2 = 0, f2(t) = cost, x(0) = 1, y(0) = 0
Подробное решение. Оформлено в PDF-формате для удобства просмотра решений ИДЗ на смартфонах и ПК.
В MS Word (doc-формате) высылается дополнительно.
Изображения:
Вас могут заинтересовать:
10.07.2025
26 продаж
ИДЗ 12.3 – Вариант 5. Решения Рябушко А.П.
Купить
$ 1.47
16.07.2020
18 продаж
ИДЗ 6.3 – Вариант 17. Решения Рябушко А.П.
Купить
$ 1.07
03.07.2020
16 продаж
ИДЗ 5.2 – Вариант 19. Решения Рябушко А.П.
Купить
$ 0.66

09.07.2025
18 продаж
ИДЗ 9.2 – Вариант 8. Решения Рябушко А.П.
Купить
$ 1.05
04.01.2023
15 продаж
ИДЗ 8.3 – Вариант 10. Решения Рябушко А.П.
Купить
$ 1.07
08.07.2025
17 продаж
ИДЗ 6.1 – Вариант 5. Решения Рябушко А.П.
Купить
$ 1.47
10.11.2016
15 продаж
ИДЗ 19.1 – Вариант 9. Решения Рябушко А.П.
Купить
$ 1.07

09.09.2020
13 продаж
ИДЗ 11.3 – Вариант 6. Решения Рябушко А.П.
Купить
$ 0.9

09.07.2025
14 продаж
ИДЗ 11.3 – Вариант 11. Решения Рябушко А.П.
Купить
$ 1.16

09.07.2025
13 продаж
ИДЗ 9.2 – Вариант 17. Решения Рябушко А.П.
Купить
$ 1.05
03.07.2020
11 продаж
ИДЗ 5.2 – Вариант 4. Решения Рябушко А.П.
Купить
$ 0.66

09.07.2025
11 продаж
ИДЗ 11.3 – Вариант 17. Решения Рябушко А.П.
Купить
$ 1.16

07.07.2025
15 продаж
ИДЗ 2.2 – Вариант 6. Решения Рябушко А.П.
Купить
$ 0.74

11.07.2020
10 продаж
ИДЗ 6.2 – Вариант 12. Решения Рябушко А.П.
Купить
$ 0.98
16.10.2020
10 продаж
ИДЗ 8.4 – Вариант 7. Решения Рябушко А.П.
Купить
$ 1.15
25.09.2014
10 продаж
ИДЗ 12.3 – Вариант 19. Решения Рябушко А.П.
Купить
$ 1.15
22.08.2014
10 продаж
ИДЗ 12.2 – Вариант 13. Решения Рябушко А.П.
Купить
$ 1.15
10.07.2025
10 продаж
ИДЗ 19.1 – Вариант 24. Решения Рябушко А.П.
Купить
$ 1.37
29.10.2020
9 продаж
ИДЗ 9.1 – Вариант 18. Решения Рябушко А.П.
Купить
$ 0.98

09.07.2025
10 продаж
ИДЗ 11.1 – Вариант 25. Решения Рябушко А.П.
Купить
$ 1.16

08.07.2025
9 продаж
ИДЗ 4.1 – Вариант 11. Решения Рябушко А.П.
Купить
$ 1.26

07.07.2025
10 продаж
ИДЗ 2.2 – Вариант 14. Решения Рябушко А.П.
Купить
$ 0.74
08.07.2025
10 продаж
ИДЗ 6.1 – Вариант 23. Решения Рябушко А.П.
Купить
$ 1.47

10.07.2025
10 продаж
ИДЗ 18.1 – Вариант 18. Решения Рябушко А.П.
Купить
$ 1.47

09.11.2016
8 продаж
ИДЗ 18.1 – Вариант 12. Решения Рябушко А.П.
Купить
$ 1.15
30.09.2020
7 продаж
ИДЗ 8.2 – Вариант 13. Решения Рябушко А.П.
Купить
$ 0.98
10.10.2020
7 продаж
ИДЗ 8.3 – Вариант 22. Решения Рябушко А.П.
Купить
$ 1.07
22.08.2014
7 продаж
ИДЗ 12.2 – Вариант 1. Решения Рябушко А.П.
Купить
$ 1.15
10.07.2025
7 продаж
ИДЗ 18.2 – Вариант 11. Решения Рябушко А.П.
Купить
$ 1.47
08.07.2025
6 продаж
ИДЗ 8.2 – Вариант 11. Решения Рябушко А.П.
Купить
$ 1.26
20.12.2023
6 продаж
ИДЗ 12.1 – Вариант 24. Решения Рябушко А.П.
Купить
$ 0.98

15.12.2016
6 продаж
ИДЗ 14.1 – Вариант 1. Решения Рябушко А.П.
Купить
$ 0.82
10.11.2016
6 продаж
ИДЗ 19.2 – Вариант 23. Решения Рябушко А.П.
Купить
$ 1.07

10.07.2025
8 продаж
ИДЗ 18.1 – Вариант 22. Решения Рябушко А.П.
Купить
$ 1.47

09.07.2025
5 продаж
ИДЗ 11.2 – Вариант 24. Решения Рябушко А.П.
Купить
$ 1.16
10.07.2025
5 продаж
ИДЗ 18.2 – Вариант 24. Решения Рябушко А.П.
Купить
$ 1.47

16.06.2020
3 продажи
ИДЗ 2.1 – Вариант 25. Решения Рябушко А.П.
Купить
$ 0.57

09.11.2016
3 продажи
ИДЗ 15.1 – Вариант 25. Решения Рябушко А.П.
Купить
$ 0.98

19.11.2016
3 продажи
ИДЗ 13.2 – Вариант 29. Решения Рябушко А.П.
Купить
$ 0.82

30.11.2016
3 продажи
ИДЗ 13.3 – Вариант 7. Решения Рябушко А.П.
Купить
$ 0.9
10.07.2025
2 продажи
ИДЗ 13.2 – Вариант 17. Решения Рябушко А.П.
Купить
$ 1.05

05.12.2022
2 продажи
ИДЗ 16.3 – Вариант 25. Решения Рябушко А.П.
Купить
$ 0.66
10.07.2025
1 продажа
ИДЗ 15.1 – Вариант 28. Решения Рябушко А.П.
Купить
$ 1.26
10.07.2025
0 продаж
ИДЗ 16.1 – Вариант 17. Решения Рябушко А.П.
Купить
$ 0.95
10.07.2025
0 продаж
ИДЗ 16.2 – Вариант 18. Решения Рябушко А.П.
Купить
$ 0.95
10.07.2025
0 продаж
ИДЗ 16.2 – Вариант 25. Решения Рябушко А.П.
Купить
$ 0.95
10.07.2025
0 продаж
ИДЗ 16.2 – Вариант 26. Решения Рябушко А.П.
Купить
$ 0.95
12.06.2020
11 продаж
ИДЗ 1.1 – Вариант 14. Решения Рябушко А.П.
Купить
$ 0.33
12.06.2020
7 продаж
ИДЗ 1.1 – Вариант 22. Решения Рябушко А.П.
Купить
$ 0.33

29.12.2016
5 продаж
ИДЗ 14.2 – Вариант 5. Решения Рябушко А.П.
Купить
$ 0.49