USSR SHOP »
Магазин » Решебник Арутюнова Ю.С. Задание N57 Высшая математика
Купить Решебник Арутюнова Ю.С. Задание N57 Высшая математика
Обновлено: 2025-10-24 00:37:18
$ 0.32
0 продаж
Всего продаж: 0
✅ Методы оплаты: 





Описание товара:
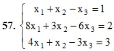
Готовое решение задачи. Решебник Арутюнова. Задание №57.
51 − 60. Дана система линейных уравнений.
Доказать её совместность и решить двумя способами: 1) методом Гаусса; 2) средствами матричного исчисления.
Если у вас похожее задание, прорешаю на заказ, пишите мне http://fizmathim.plati.ru
Подробное решение. Оформлено в Microsoft Word 2003 (Задание решено с использованием редактора формул)
51 − 60. Дана система линейных уравнений.
Доказать её совместность и решить двумя способами: 1) методом Гаусса; 2) средствами матричного исчисления.
Если у вас похожее задание, прорешаю на заказ, пишите мне http://fizmathim.plati.ru
Подробное решение. Оформлено в Microsoft Word 2003 (Задание решено с использованием редактора формул)
Изображения:
Вас могут заинтересовать:

12.07.2017
1 продажа
Решебник Арутюнова Ю.С. Задание N418 Высшая математика
Купить
$ 0.25

28.07.2017
1 продажа
Решебник Арутюнова Ю.С. Задание N447 Высшая математика
Купить
$ 0.25

17.05.2017
3 продажи
Решебник Арутюнова Ю.С. Задание N308 Высшая математика
Купить
$ 0.16

03.12.2016
1 продажа
Решебник Арутюнова Ю.С. Задание N6 Высшая математика
Купить
$ 0.32

20.08.2017
1 продажа
Решебник Арутюнова Ю.С. Задание N173 Высшая математика
Купить
$ 0.32

23.06.2017
2 продажи
Решебник Арутюнова Ю.С. Задание N398 Высшая математика
Купить
$ 0.25

12.08.2017
1 продажа
Решебник Арутюнова Ю.С. Задание N91 Высшая математика
Купить
$ 0.42

10.12.2016
1 продажа
Решебник Арутюнова Ю.С. Задание N548 Высшая математика
Купить
$ 0.25
12.07.2017
2 продажи
Решебник Арутюнова Ю.С. Задание N428 Высшая математика
Купить
$ 0.21

16.08.2017
1 продажа
Решебник Арутюнова Ю.С. Задание N123 Высшая математика
Купить
$ 0.32

29.05.2017
1 продажа
Решебник Арутюнова Ю.С. Задание N278 Высшая математика
Купить
$ 0.25

09.06.2017
2 продажи
Решебник Арутюнова Ю.С. Задание N332 Высшая математика
Купить
$ 0.25

03.12.2016
0 продаж
Решебник Арутюнова Ю.С. Задание N3 Высшая математика
Купить
$ 0.25

03.12.2016
0 продаж
Решебник Арутюнова Ю.С. Задание N4 Высшая математика
Купить
$ 0.25

05.08.2017
1 продажа
Решебник Арутюнова Ю.С. Задание N30 Высшая математика
Купить
$ 0.25

06.08.2017
1 продажа
Решебник Арутюнова Ю.С. Задание N40 Высшая математика
Купить
$ 0.25

07.08.2017
0 продаж
Решебник Арутюнова Ю.С. Задание N45 Высшая математика
Купить
$ 0.32
08.08.2017
0 продаж
Решебник Арутюнова Ю.С. Задание N59 Высшая математика
Купить
$ 0.32

12.08.2017
0 продаж
Решебник Арутюнова Ю.С. Задание N94 Высшая математика
Купить
$ 0.33

12.08.2017
0 продаж
Решебник Арутюнова Ю.С. Задание N96 Высшая математика
Купить
$ 0.33
16.08.2017
1 продажа
Решебник Арутюнова Ю.С. Задание N136 Высшая математика
Купить
$ 0.32

17.08.2017
0 продаж
Решебник Арутюнова Ю.С. Задание N146 Высшая математика
Купить
$ 0.49

17.08.2017
0 продаж
Решебник Арутюнова Ю.С. Задание N150 Высшая математика
Купить
$ 0.49

17.08.2017
0 продаж
Решебник Арутюнова Ю.С. Задание N157 Высшая математика
Купить
$ 0.33

19.08.2017
0 продаж
Решебник Арутюнова Ю.С. Задание N162 Высшая математика
Купить
$ 0.25

19.08.2017
0 продаж
Решебник Арутюнова Ю.С. Задание N168 Высшая математика
Купить
$ 0.32

20.08.2017
0 продаж
Решебник Арутюнова Ю.С. Задание N180 Высшая математика
Купить
$ 0.25

23.08.2017
0 продаж
Решебник Арутюнова Ю.С. Задание N204 Высшая математика
Купить
$ 0.33

23.08.2017
0 продаж
Решебник Арутюнова Ю.С. Задание N208 Высшая математика
Купить
$ 0.33

25.08.2017
0 продаж
Решебник Арутюнова Ю.С. Задание N224 Высшая математика
Купить
$ 0.33

31.05.2017
0 продаж
Решебник Арутюнова Ю.С. Задание N246 Высшая математика
Купить
$ 0.41

31.05.2017
0 продаж
Решебник Арутюнова Ю.С. Задание N247 Высшая математика
Купить
$ 0.41

04.06.2017
0 продаж
Решебник Арутюнова Ю.С. Задание N269 Высшая математика
Купить
$ 0.32

04.06.2017
0 продаж
Решебник Арутюнова Ю.С. Задание N270 Высшая математика
Купить
$ 0.25
29.05.2017
0 продаж
Решебник Арутюнова Ю.С. Задание N273 Высшая математика
Купить
$ 0.32

08.06.2017
0 продаж
Решебник Арутюнова Ю.С. Задание N326 Высшая математика
Купить
$ 0.25

09.06.2017
0 продаж
Решебник Арутюнова Ю.С. Задание N338 Высшая математика
Купить
$ 0.25

09.06.2017
0 продаж
Решебник Арутюнова Ю.С. Задание N340 Высшая математика
Купить
$ 0.25

18.06.2017
0 продаж
Решебник Арутюнова Ю.С. Задание N374 Высшая математика
Купить
$ 0.25

18.06.2017
0 продаж
Решебник Арутюнова Ю.С. Задание N376 Высшая математика
Купить
$ 0.25

23.06.2017
0 продаж
Решебник Арутюнова Ю.С. Задание N394 Высшая математика
Купить
$ 0.25

23.06.2017
0 продаж
Решебник Арутюнова Ю.С. Задание N399 Высшая математика
Купить
$ 0.25

12.07.2017
0 продаж
Решебник Арутюнова Ю.С. Задание N415 Высшая математика
Купить
$ 0.25

28.07.2017
0 продаж
Решебник Арутюнова Ю.С. Задание N446 Высшая математика
Купить
$ 0.25

30.07.2017
0 продаж
Решебник Арутюнова Ю.С. Задание N455 Высшая математика
Купить
$ 0.25

01.08.2017
0 продаж
Решебник Арутюнова Ю.С. Задание N462 Высшая математика
Купить
$ 0.33

15.05.2017
0 продаж
Решебник Арутюнова Ю.С. Задание N527 Высшая математика
Купить
$ 0.32

15.05.2017
0 продаж
Решебник Арутюнова Ю.С. Задание N529 Высшая математика
Купить
$ 0.25

09.12.2016
1 продажа
Решебник Арутюнова Ю.С. Задание N565 Высшая математика
Купить
$ 0.16

09.12.2016
0 продаж
Решебник Арутюнова Ю.С. Задание N571 Высшая математика
Купить
$ 0.16