USSR SHOP »
Магазин » Решебник Арутюнова Ю.С. Задание N115 Высшая математика
Купить Решебник Арутюнова Ю.С. Задание N115 Высшая математика
Обновлено: 2025-10-23 21:36:13
$ 0.53
0 продаж
Всего продаж: 0
✅ Методы оплаты: 





Описание товара:
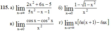
Готовое решение задачи. Решебник Арутюнова. Задание №115.
111 – 120. Найти пределы функций, не пользуясь правилом Лопиталя.
Если у вас похожее задание, прорешаю на заказ, пишите мне http://fizmathim.plati.ru
Подробное решение. Оформлено в Microsoft Word 2003 (Задание решено с использованием редактора формул)
111 – 120. Найти пределы функций, не пользуясь правилом Лопиталя.
Если у вас похожее задание, прорешаю на заказ, пишите мне http://fizmathim.plati.ru
Подробное решение. Оформлено в Microsoft Word 2003 (Задание решено с использованием редактора формул)
Изображения:
Вас могут заинтересовать:
26.11.2015
16 продаж
Решение задачи Д3 Вариант 20 (задание 1, 2) Диевский ВА
Купить
$ 1.45

14.06.2013
12 продаж
Контрольный компьютерный практикум РФЭИ Математика 30 з
Купить
$ 2.2

12.01.2017
9 продаж
Решебник Кузнецова Л.А. Линейная алгебра - Вариант 01
Купить
$ 1.23

30.08.2016
0 продаж
Привод к цепному конвейеру, задание 5, вариант 5
Купить
$ 12

12.05.2017
4 продажи
Задача термех С10 В3 из решебник Яблонский А.А. 1978 г
Купить
$ 0.77

07.07.2022
1 продажа
Задание 1. БУ.
Купить
$ 2.93

07.07.2022
0 продаж
Задание 3. БУ И отчетность.
Купить
$ 4.32

29.07.2016
0 продаж
ЗАДАНИЕ №1. ОСНОВЫ ТЕОРИИ УПРАВЛЕНИЯ ОБРАЗОВАТЕЛЬНЫМИ С
Купить
$ 4.29

17.07.2019
0 продаж
Общие условия государственной службы. Задание 6.
Купить
$ 2.93

09.07.2019
0 продаж
ТК-3. Задание. Аудит.
Купить
$ 2.44

29.07.2016
0 продаж
ЗАДАНИЕ № 5. Документация системы менеджмента качества
Купить
$ 3.06

02.03.2022
0 продаж
Финансы. Задание №3
Купить
$ 1.95

24.03.2016
2 продажи
Решение К1 вариант 11, решебник Тарг С.М. 1982 года
Купить
$ 0.61
20.02.2012
1 продажа
Дискретна математика - Теорія множин НУ"ЛП" В-21
Купить
$ 0.53
10.02.2017
1 продажа
Решение К2 вар. 46, решебник теормех Тарг С.М. 1982 г.
Купить
$ 0.79
10.02.2017
1 продажа
Решение К2 вар. 48, решебник теормех Тарг С.М. 1982 г.
Купить
$ 0.79
31.05.2016
1 продажа
Решение задачи К4 В 41, решебник термех Тарг С.М. 1982
Купить
$ 0.79

19.02.2025
1 продажа
Решебник Рябушко. Решенный ИДЗ 11.3, Вариант 20
Купить
$ 1.16

15.01.2017
1 продажа
Решебник Кузнецова Л.А. Дифф. уравнения - Вариант 21
Купить
$ 1.49

19.02.2025
1 продажа
Решебник Рябушко. Решенный ИДЗ 10.1, Вариант 2
Купить
$ 1.37
20.02.2025
1 продажа
Вариант 10 ИДЗ 18.1 Решебник Рябушко часть 4
Купить
$ 1.47
21.02.2025
1 продажа
Вариант 11 ИДЗ 12.2 Решебник Рябушко часть 3
Купить
$ 1.57
21.02.2025
1 продажа
Вариант 13 ИДЗ 12.1 Решебник Рябушко часть 3
Купить
$ 1.37
21.02.2025
1 продажа
Вариант 15 ИДЗ 6.2 Решебник Рябушко часть 1
Купить
$ 1.37
20.02.2025
1 продажа
Вариант 2 ИДЗ 2.2 Решебник Рябушко часть 1
Купить
$ 0.69
20.02.2025
1 продажа
Вариант 4 ИДЗ 8.1 Решебник Рябушко часть 2
Купить
$ 0.98

26.07.2020
1 продажа
Вариант 6 ИДЗ 5.2 Решебник Рябушко часть 1
Купить
$ 0.83
20.02.2025
1 продажа
Вариант 10 ИДЗ 11.4 Решебник Рябушко часть 2
Купить
$ 1.18
21.02.2025
1 продажа
Вариант 11 ИДЗ 2.2 Решебник Рябушко часть 1
Купить
$ 0.69
21.02.2025
1 продажа
Вариант 21 ИДЗ 8.2 Решебник Рябушко часть 2
Купить
$ 1.27
13.04.2021
1 продажа
Решение задачи Д3 вариант 22 задание 2 - Диевский В.А.
Купить
$ 0.74
09.10.2022
1 продажа
Решение задачи Д3 вариант 1 задание 2 - Диевский В.А.
Купить
$ 0.74

16.03.2021
0 продаж
Математика для правого мозга
Купить
$ 30.88

31.07.2020
0 продаж
Вариант 24 ИДЗ 1.2 Решебник Рябушко часть 1
Купить
$ 0.75

30.03.2016
0 продаж
Задание К1 вариант 08, решебник Тарг С.М. 1983 года
Купить
$ 0.51

30.03.2016
0 продаж
Задание К1 вариант 31, решебник Тарг С.М. 1983 года
Купить
$ 0.51

12.04.2016
0 продаж
Решение задачи Д1 Вариант 37, решебник Тарг С.М. 1983
Купить
$ 0.5

13.04.2016
0 продаж
Задача Д3 Вариант 72, решебник термех Тарг С.М. 1983 г
Купить
$ 0.53

23.05.2016
0 продаж
Задача С4 вариант 24, решебник термех Тарг С.М. 1982 г
Купить
$ 0.63
10.02.2017
0 продаж
Решение К2 вар. 72, решебник теормех Тарг С.М. 1982 г.
Купить
$ 0.79
10.02.2017
0 продаж
Решение К2 вар. 73, решебник теормех Тарг С.М. 1982 г.
Купить
$ 0.79
31.05.2016
0 продаж
Решение К3 вар. 79, решебник термех Тарг С.М. 1982 г.
Купить
$ 0.79
31.05.2016
0 продаж
Решение К3 вар. 88, решебник термех Тарг С.М. 1982 г.
Купить
$ 0.79

31.05.2016
0 продаж
Решение задачи К4 В 15, решебник термех Тарг С.М. 1982
Купить
$ 0.63

16.05.2016
0 продаж
Задание Д2 Вариант 88, решебник теормех Тарг С.М. 1983
Купить
$ 1.16

30.12.2014
2 продажи
Финансовая математика: задача 0002
Купить
$ 0.55

04.07.2013
48 продаж
Математика тест с ответами часть 3
Купить
$ 0.38
12.07.2017
2 продажи
Решебник Арутюнова Ю.С. Задание N421 Высшая математика
Купить
$ 0.21

06.03.2013
0 продаж
РГР: В.Н.Кунин А.Ф.Галкин 2007г. задание 2.4
Купить
$ 0.24

25.08.2017
0 продаж
Решебник Арутюнова Ю.С. Задание N227 Высшая математика
Купить
$ 0.33