USSR SHOP »
Магазин » Решебник Арутюнова Ю.С. Задание N131 Высшая математика
Купить Решебник Арутюнова Ю.С. Задание N131 Высшая математика
Обновлено: 2025-10-23 23:24:34

$ 0.25
0 продаж
Всего продаж: 0
✅ Методы оплаты: 





Описание товара:
Готовое решение задачи. Решебник Арутюнова. Задание №131.
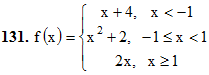
131 – 140. Задана функция y=f(x). Найти точки разрыва функции, если они существуют. Сделать чертеж.
Если у вас похожее задание, прорешаю на заказ, пишите мне http://fizmathim.plati.ru
Подробное решение. Оформлено в Microsoft Word 2003 (Задание решено с использованием редактора формул)
131 – 140. Задана функция y=f(x). Найти точки разрыва функции, если они существуют. Сделать чертеж.
Если у вас похожее задание, прорешаю на заказ, пишите мне http://fizmathim.plati.ru
Подробное решение. Оформлено в Microsoft Word 2003 (Задание решено с использованием редактора формул)
Изображения:
Вас могут заинтересовать:
26.11.2015
12 продаж
Решение задачи Д3 Вариант 12 (задание 1, 2) Диевский ВА
Купить
$ 1.44
14.03.2016
9 продаж
Решение задачи Д3 (задание 2) Вариант 18 Диевский В.А.
Купить
$ 0.79
11.01.2016
9 продаж
Решение задачи Д7 (задание 2) Вариант 02 Диевский В.А.
Купить
$ 0.79
11.01.2016
8 продаж
Решение задачи Д7 (задание 1) Вариант 18 Диевский В.А.
Купить
$ 0.79
27.11.2015
6 продаж
Решение задачи Д3 Вариант 24 (задание 1, 2) Диевский ВА
Купить
$ 1.45

13.10.2016
1 продажа
Привод к цепному конвейеру, задание 9, вариант 5
Купить
$ 12
22.10.2015
4 продажи
Финансовая математика контрольная, 3 задачи,вариант 7
Купить
$ 0.54

12.01.2017
4 продажи
Решебник Кузнецова Л.А. Линейная алгебра - Вариант 10
Купить
$ 1.23

20.01.2021
0 продаж
Задание 3. Протокольные практики.
Купить
$ 3.91

09.07.2019
0 продаж
Задание №1. УПБП.
Купить
$ 4.4

22.07.2021
0 продаж
Практическое задание №1. Документооборот.
Купить
$ 4.88

22.07.2021
0 продаж
Документооборот. Практическое задание №4.
Купить
$ 4.88

05.08.2020
0 продаж
Экономика недвижимости. ТК - 7. Задание.
Купить
$ 4.88

15.08.2017
0 продаж
ДКБ. ТК-1 - Задание.
Купить
$ 3.67

17.07.2018
0 продаж
УП. Задание №2.
Купить
$ 2.93
22.12.2017
2 продажи
Диевский В.А. - Решение задачи Д7 вариант 22 задание 2
Купить
$ 0.73
08.01.2016
2 продажи
Решение задачи Д4 (задание 1) Вариант 08 Диевский В.А.
Купить
$ 0.79

01.04.2016
2 продажи
Решение Д6 В71, решебник термех Тарг С.М. 1983 года
Купить
$ 1.03

19.02.2025
2 продажи
Решебник Рябушко. Решенный ИДЗ 18.1, Вариант 17
Купить
$ 1.47

16.01.2017
1 продажа
Вариант 16 ИДЗ 19.2 Решебник Рябушко часть 4
Купить
$ 0.94

13.04.2016
1 продажа
Задача Д3 Вариант 20, решебник термех Тарг С.М. 1983 г
Купить
$ 0.53

16.01.2017
1 продажа
Вариант 17 ИДЗ 12.1 Решебник Рябушко часть 3
Купить
$ 1.05
21.02.2025
1 продажа
Вариант 21 ИДЗ 18.1 Решебник Рябушко часть 4
Купить
$ 1.47

30.10.2020
1 продажа
Вариант 1 ИДЗ 9.1 Решебник Рябушко часть 2
Купить
$ 0.98
20.02.2025
1 продажа
Вариант 2 ИДЗ 11.4 Решебник Рябушко часть 2
Купить
$ 1.18
20.02.2025
1 продажа
Вариант 10 ИДЗ 15.2 Решебник Рябушко часть 3
Купить
$ 1.18
21.02.2025
1 продажа
Вариант 11 ИДЗ 8.2 Решебник Рябушко часть 2
Купить
$ 1.27
21.02.2025
1 продажа
Вариант 12 ИДЗ 2.1 Решебник Рябушко часть 1
Купить
$ 0.69
21.02.2025
1 продажа
Вариант 12 ИДЗ 14.2 Решебник Рябушко часть 3
Купить
$ 0.74
21.02.2025
1 продажа
Вариант 24 ИДЗ 15.1 Решебник Рябушко часть 3
Купить
$ 1.18
13.04.2021
1 продажа
Решение задачи Д3 вариант 23 задание 1 - Диевский В.А.
Купить
$ 0.73

25.08.2017
0 продаж
Привод к цепному конвейеру, задание 4, вариант 10
Купить
$ 12

21.07.2021
0 продаж
Практическое задание №1. Риторика.
Купить
$ 4.88
14.04.2016
0 продаж
Решение Д6 В59, решебник термех Тарг С.М. 1983 года
Купить
$ 3.26
24.03.2016
0 продаж
Решение К1 вариант 16, решебник Тарг С.М. 1982 года
Купить
$ 0.77
13.01.2019
0 продаж
Решение К1 вариант 19, решебник Тарг С.М. 1982 года
Купить
$ 0.76
13.01.2019
0 продаж
Решение Д6 В06, решебник по термеху Тарг С.М. 1982 г.
Купить
$ 1.11

30.03.2016
0 продаж
Задание К1 вариант 76, решебник Тарг С.М. 1983 года
Купить
$ 0.51

23.05.2016
0 продаж
Задача С4 вариант 56, решебник термех Тарг С.М. 1982 г
Купить
$ 0.63
23.05.2016
0 продаж
Решение С5 вар. 74, решебник теормех Тарг С.М. 1982 г.
Купить
$ 0.79

31.05.2016
0 продаж
Решение задачи К4 В 64, решебник термех Тарг С.М. 1982
Купить
$ 0.63
06.06.2016
0 продаж
Решение задачи Д1 В 68 решебник термех Тарг С.М. 1982
Купить
$ 0.79

10.02.2017
0 продаж
Решение задачи Д4 В 69, решебник Тарг С.М. 1982 года
Купить
$ 0.79

10.02.2017
0 продаж
Решение задачи Д4 В 71, решебник Тарг С.М. 1982 года
Купить
$ 0.63

09.03.2019
7 продаж
Вопросы Математика Синергия
Купить
$ 0.1

13.08.2017
0 продаж
Решебник Арутюнова Ю.С. Задание N109 Высшая математика
Купить
$ 0.32

21.08.2017
0 продаж
Решебник Арутюнова Ю.С. Задание N187 Высшая математика
Купить
$ 0.25

03.06.2017
0 продаж
Решебник Арутюнова Ю.С. Задание N256 Высшая математика
Купить
$ 0.33

18.06.2017
0 продаж
Решебник Арутюнова Ю.С. Задание N373 Высшая математика
Купить
$ 0.32