USSR SHOP »
Магазин » Решебник Арутюнова Ю.С. Задание N133 Высшая математика
Купить Решебник Арутюнова Ю.С. Задание N133 Высшая математика
Обновлено: 2026-02-07 19:20:22
$ 0.32
0 продаж
Всего продаж: 0
✅ Методы оплаты: 







Описание товара:
Готовое решение задачи. Решебник Арутюнова. Задание №133.
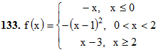
131 – 140. Задана функция y=f(x). Найти точки разрыва функции, если они существуют. Сделать чертеж.
Если у вас похожее задание, прорешаю на заказ, пишите мне http://fizmathim.plati.ru
Подробное решение. Оформлено в Microsoft Word 2003 (Задание решено с использованием редактора формул)
131 – 140. Задана функция y=f(x). Найти точки разрыва функции, если они существуют. Сделать чертеж.
Если у вас похожее задание, прорешаю на заказ, пишите мне http://fizmathim.plati.ru
Подробное решение. Оформлено в Microsoft Word 2003 (Задание решено с использованием редактора формул)
Изображения:
Вас могут заинтересовать:
18.05.2018
4 продажи
Диевский В.А. - Решение задачи Д7 вариант 24 задание 1
Купить
$ 0.78
27.10.2018
0 продаж
Бренд-Менеджмент. Задание. 2-е части
Купить
$ 6.5
22.12.2017
3 продажи
Диевский В.А. - Решение задачи Д7 вариант 18 задание 1
Купить
$ 0.78
08.12.2016
2 продажи
Основы маркетинга часть 2 КЕЙС-ЗАДАНИЕ 2 МИЭМП Витте
Купить
$ 2.61
09.10.2018
0 продаж
Управление рисками. ТК-8. Задание.
Купить
$ 1.97
12.04.2016
1 продажа
Решение задачи Д1 Вариант 18, решебник Тарг С.М. 1983
Купить
$ 0.67
06.06.2016
1 продажа
Решение задачи Д1 В 71 решебник термех Тарг С.М. 1982
Купить
$ 0.82
30.03.2016
1 продажа
Задание К1 вариант 64, решебник Тарг С.М. 1983 года
Купить
$ 0.68
19.02.2025
1 продажа
Решебник Рябушко. Решенный ИДЗ 3.1, Вариант 16
Купить
$ 0.75
19.02.2025
1 продажа
Решебник Рябушко. Решенный ИДЗ 9.2, Вариант 23
Купить
$ 1.07
19.02.2025
1 продажа
Решебник Рябушко. Решенный ИДЗ 6.1, Вариант 9
Купить
$ 1.5
21.02.2025
1 продажа
Вариант 14 ИДЗ 8.4 Решебник Рябушко часть 2
Купить
$ 1.6
21.02.2025
1 продажа
Вариант 27 ИДЗ 13.1 Решебник Рябушко часть 3
Купить
$ 1.4
21.02.2025
1 продажа
Вариант 15 ИДЗ 14.1 Решебник Рябушко часть 3
Купить
$ 1.1
21.02.2025
1 продажа
Вариант 23 ИДЗ 2.2 Решебник Рябушко часть 1
Купить
$ 0.7
21.02.2025
1 продажа
Вариант 26 ИДЗ 5.1 Решебник Рябушко часть 1
Купить
$ 1.2
13.04.2021
1 продажа
Решение задачи Д3 вариант 5 задание 2 - Диевский В.А.
Купить
$ 0.78
21.07.2021
0 продаж
Практическое задание №1. Риторика.
Купить
$ 6.59
21.02.2025
0 продаж
Вариант 20 ИДЗ 5.2 Решебник Рябушко часть 1
Купить
$ 1.1
21.02.2025
0 продаж
Вариант 25 ИДЗ 6.4 Решебник Рябушко часть 1
Купить
$ 1.1
21.02.2025
0 продаж
Вариант 19 ИДЗ 8.1 Решебник Рябушко часть 2
Купить
$ 1
21.02.2025
0 продаж
Вариант 22 ИДЗ 11.4 Решебник Рябушко часть 2
Купить
$ 1.2
24.03.2016
0 продаж
Решение К1 вариант 15, решебник Тарг С.М. 1982 года
Купить
$ 0.81
24.03.2016
0 продаж
Решение К1 вариант 31, решебник Тарг С.М. 1982 года
Купить
$ 0.79
30.03.2016
0 продаж
Задание К1 вариант 27, решебник Тарг С.М. 1983 года
Купить
$ 0.68
12.04.2016
0 продаж
Решение задачи Д1 Вариант 38, решебник Тарг С.М. 1983
Купить
$ 0.67
13.04.2016
0 продаж
Задача Д3 Вариант 11, решебник термех Тарг С.М. 1983 г
Купить
$ 0.7
13.04.2016
0 продаж
Задача Д3 Вариант 73, решебник термех Тарг С.М. 1983 г
Купить
$ 0.69
13.04.2016
0 продаж
Решение Д9 Вар. 96, решебник термех Тарг С.М. 1983 г.
Купить
$ 0.67
27.04.2016
0 продаж
Решение Д7 В45, решебник по термеху Тарг С.М. 1982 г.
Купить
$ 0.84
23.05.2016
0 продаж
Решение С5 вар. 07, решебник теормех Тарг С.М. 1982 г.
Купить
$ 0.83
10.02.2017
0 продаж
Решение К2 вар. 26, решебник теормех Тарг С.М. 1982 г.
Купить
$ 0.83
31.05.2016
0 продаж
Решение задачи К4 В 24, решебник термех Тарг С.М. 1982
Купить
$ 0.84
31.05.2016
0 продаж
Решение задачи К4 В 42, решебник термех Тарг С.М. 1982
Купить
$ 0.83
31.05.2016
0 продаж
Решение задачи К4 В 61, решебник термех Тарг С.М. 1982
Купить
$ 0.84
10.02.2017
0 продаж
Решение задачи Д4 В 02, решебник Тарг С.М. 1982 года
Купить
$ 0.84
10.02.2017
0 продаж
Решение задачи Д4 В 23, решебник Тарг С.М. 1982 года
Купить
$ 0.84
10.02.2017
0 продаж
Решение задачи Д4 В 59, решебник Тарг С.М. 1982 года
Купить
$ 0.84
10.02.2017
0 продаж
Решение задачи Д4 В 60, решебник Тарг С.М. 1982 года
Купить
$ 0.8
08.01.2016
0 продаж
Задание 1.1 Сгруппировать хозяйственные средства швейно
Купить
$ 1.93
21.06.2017
2 продажи
Решебник Арутюнова Ю.С. Задание N388 Высшая математика
Купить
$ 0.32
09.08.2017
1 продажа
Решебник Арутюнова Ю.С. Задание N62 Высшая математика
Купить
$ 0.32
09.08.2017
1 продажа
Решебник Арутюнова Ю.С. Задание N71 Высшая математика
Купить
$ 0.43
27.07.2017
1 продажа
Решебник Арутюнова Ю.С. Задание N437 Высшая математика
Купить
$ 0.32
18.02.2013
0 продаж
РГР: В.Н.Кунин А.Ф.Галкин 2007г. задание 2.1
Купить
$ 0.25
21.08.2017
0 продаж
Решебник Арутюнова Ю.С. Задание N187 Высшая математика
Купить
$ 0.32
21.08.2017
0 продаж
Решебник Арутюнова Ю.С. Задание N189 Высшая математика
Купить
$ 0.32
27.07.2017
0 продаж
Решебник Арутюнова Ю.С. Задание N435 Высшая математика
Купить
$ 0.32
17.04.2018
0 продаж
РГР: В.Н.КУНИН А.Ф.ГАЛКИН 2007Г. ЗАДАНИЕ 2.37
Купить
$ 0.26