USSR SHOP »
Магазин » Решебник Арутюнова Ю.С. Задание N135 Высшая математика
Купить Решебник Арутюнова Ю.С. Задание N135 Высшая математика
Обновлено: 2025-10-23 16:39:59
$ 0.32
0 продаж
Всего продаж: 0
✅ Методы оплаты: 





Описание товара:
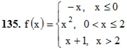
Готовое решение задачи. Решебник Арутюнова. Задание №135.
131 – 140. Задана функция y=f(x). Найти точки разрыва функции, если они существуют. Сделать чертеж.
Если у вас похожее задание, прорешаю на заказ, пишите мне http://fizmathim.plati.ru
Подробное решение. Оформлено в Microsoft Word 2003 (Задание решено с использованием редактора формул)
131 – 140. Задана функция y=f(x). Найти точки разрыва функции, если они существуют. Сделать чертеж.
Если у вас похожее задание, прорешаю на заказ, пишите мне http://fizmathim.plati.ru
Подробное решение. Оформлено в Microsoft Word 2003 (Задание решено с использованием редактора формул)
Изображения:
Вас могут заинтересовать:

01.06.2023
8 продаж
Специальная математика и основы статистики
Купить
$ 3.67

06.03.2007
7 продаж
Решебник для задачника по экономике. Автор Мицкевич(7-я глава) ЧАСТЬ 1
Купить
$ 0.3
13.11.2020
7 продаж
Математика и статистика 1 семестр Ответы Синергия
Купить
$ 1.84

08.07.2019
4 продажи
ТК-1. Задание. Финансовый менеджмент.
Купить
$ 2.93

21.05.2008
0 продаж
Решебник 1+ Рымкевич
Купить
$ 1

12.01.2017
5 продаж
Решебник Кузнецова Л.А. Линейная алгебра - Вариант 21
Купить
$ 1.23

27.08.2016
0 продаж
Привод к цепному конвейеру задание 3, вариант 3
Купить
$ 12

29.03.2018
1 продажа
Бизнес планы. Задание №1.
Купить
$ 3.91

09.10.2018
1 продажа
12 задач. Финансовая математика.
Купить
$ 3.91

22.07.2021
0 продаж
Коммерциализация инноваций. Задание №4.
Купить
$ 3.91

20.10.2017
0 продаж
Практическое задание по БУ. Готовая работа.
Купить
$ 3.42

22.07.2021
0 продаж
Практическое задание №1. Документооборот.
Купить
$ 4.88

27.10.2018
0 продаж
Бренд-Менеджмент. Задание. 2-е части
Купить
$ 4.88

06.07.2017
0 продаж
Кейс-задание №3. Логистика.
Купить
$ 3.67

03.08.2020
0 продаж
Практическое задание №3. Механика грунтов.
Купить
$ 5.86
18.05.2018
3 продажи
Диевский В.А. - Решение задачи Д7 вариант 23 задание 1
Купить
$ 0.74

13.01.2017
2 продажи
Решебник Кузнецова Л.А. Ряды - Вариант 15
Купить
$ 1.64
12.04.2016
1 продажа
Решение задачи Д1 Вариант 84, решебник Тарг С.М. 1983
Купить
$ 0.63
12.04.2016
1 продажа
Решение задачи Д1 Вариант 10, решебник Тарг С.М. 1983
Купить
$ 0.63
23.05.2016
1 продажа
Решение С5 вар. 04, решебник теормех Тарг С.М. 1982 г.
Купить
$ 0.79

06.11.2018
1 продажа
Решебник Рябушко. Решенный ИДЗ 13.2, Вариант 9
Купить
$ 0.82
20.02.2025
1 продажа
Вариант 6 ИДЗ 6.2 Решебник Рябушко часть 1
Купить
$ 1.37
21.02.2025
1 продажа
Вариант 23 ИДЗ 6.2 Решебник Рябушко часть 1
Купить
$ 1.37
21.02.2025
1 продажа
Вариант 24 ИДЗ 8.4 Решебник Рябушко часть 2
Купить
$ 1.57

15.01.2017
1 продажа
Вариант 7 ИДЗ 9.2 Решебник Рябушко часть 2
Купить
$ 0.75
20.02.2025
1 продажа
Вариант 5 ИДЗ 13.3 Решебник Рябушко часть 3
Купить
$ 1.18
21.02.2025
1 продажа
Вариант 16 ИДЗ 11.1 Решебник Рябушко часть 2
Купить
$ 1.18
21.02.2025
1 продажа
Вариант 25 ИДЗ 11.3 Решебник Рябушко часть 2
Купить
$ 1.18
13.04.2021
1 продажа
Решение задачи Д3 вариант 2 задание 2 - Диевский В.А.
Купить
$ 0.74

25.08.2016
0 продаж
Привод к вертикальному валу цепного конвейера задание 1
Купить
$ 12
21.02.2017
0 продаж
Решение Д3 В67, решебник по термеху Тарг С.М. 1982 г.
Купить
$ 1.92

21.02.2025
0 продаж
Вариант 29 ИДЗ 8.4 Решебник Рябушко часть 2
Купить
$ 1.57

16.03.2021
0 продаж
Математика для правого мозга
Купить
$ 29.29
24.03.2016
0 продаж
Решение К1 вариант 61, решебник Тарг С.М. 1982 года
Купить
$ 0.77

30.03.2016
0 продаж
Задание К1 вариант 26, решебник Тарг С.М. 1983 года
Купить
$ 0.51

12.04.2016
0 продаж
Решение задачи Д1 Вариант 27, решебник Тарг С.М. 1983
Купить
$ 0.5

13.04.2016
0 продаж
Задача Д3 Вариант 93, решебник термех Тарг С.М. 1983 г
Купить
$ 0.53

23.05.2016
0 продаж
Задача С4 вариант 44, решебник термех Тарг С.М. 1982 г
Купить
$ 0.63
31.05.2016
0 продаж
Решение К3 вар. 70, решебник термех Тарг С.М. 1982 г.
Купить
$ 0.79

10.02.2017
0 продаж
Решение задачи Д4 В 23, решебник Тарг С.М. 1982 года
Купить
$ 0.63

15.01.2017
0 продаж
Вариант 4 ИДЗ 19.2 Решебник Рябушко часть 4
Купить
$ 0.94
20.02.2025
0 продаж
Вариант 6 ИДЗ 11.2 Решебник Рябушко часть 2
Купить
$ 1.18

01.08.2017
2 продажи
Решебник Арутюнова Ю.С. Задание N461 Высшая математика
Купить
$ 0.42

15.05.2017
1 продажа
Решебник Арутюнова Ю.С. Задание N528 Высшая математика
Купить
$ 0.25

09.06.2017
2 продажи
Решебник Арутюнова Ю.С. Задание N332 Высшая математика
Купить
$ 0.25

06.08.2017
0 продаж
Решебник Арутюнова Ю.С. Задание N33 Высшая математика
Купить
$ 0.25

06.08.2017
0 продаж
Решебник Арутюнова Ю.С. Задание N36 Высшая математика
Купить
$ 0.25

15.08.2017
0 продаж
Решебник Арутюнова Ю.С. Задание N117 Высшая математика
Купить
$ 0.41

04.06.2017
0 продаж
Решебник Арутюнова Ю.С. Задание N265 Высшая математика
Купить
$ 0.25

23.05.2020
0 продаж
Решение задачи № 72 из Сборника под ред. Арутюнова Ю.С.
Купить
$ 0.44