USSR SHOP »
Магазин » Решебник Арутюнова Ю.С. Задание N139 Высшая математика
Купить Решебник Арутюнова Ю.С. Задание N139 Высшая математика
Обновлено: 2025-10-23 18:54:48

$ 0.25
0 продаж
Всего продаж: 0
✅ Методы оплаты: 





Описание товара:
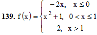
Готовое решение задачи. Решебник Арутюнова. Задание №139.
131 – 140. Задана функция y=f(x). Найти точки разрыва функции, если они существуют. Сделать чертеж.
Если у вас похожее задание, прорешаю на заказ, пишите мне http://fizmathim.plati.ru
Подробное решение. Оформлено в Microsoft Word 2003 (Задание решено с использованием редактора формул)
131 – 140. Задана функция y=f(x). Найти точки разрыва функции, если они существуют. Сделать чертеж.
Если у вас похожее задание, прорешаю на заказ, пишите мне http://fizmathim.plati.ru
Подробное решение. Оформлено в Microsoft Word 2003 (Задание решено с использованием редактора формул)
Изображения:
Вас могут заинтересовать:
14.01.2019
19 продаж
Расчетно-графическая работа 3. Задание 1. Вариант 1
Купить
$ 1.45
08.01.2016
9 продаж
Решение задачи Д4 (задание 2) Вариант 12 Диевский В.А.
Купить
$ 0.79
19.02.2025
5 продаж
Решебник Рябушко. Решенный ИДЗ 18.2, Вариант 1
Купить
$ 1.47

14.12.2017
4 продажи
Практическое задание 1 по антикризисному управлению
Купить
$ 1

27.10.2018
0 продаж
Задание 2. Вариант 15.
Купить
$ 3.91

22.07.2021
0 продаж
Коммерциализация инноваций. Задание
Купить
$ 4.94

29.07.2020
0 продаж
ТК - 14. Задание. Макроэкономика.
Купить
$ 4.4

23.01.2018
0 продаж
Паблик Рилейшнз. Задание 1. Ответы на вопросы.
Купить
$ 4.39

22.07.2021
0 продаж
Документооборот. Практическое задание №4.
Купить
$ 4.88

17.02.2016
1 продажа
Стратегический менеджмент. Задание 5.
Купить
$ 0.98

15.01.2017
1 продажа
Вариант 5 ИДЗ 12.2 Решебник Рябушко часть 3
Купить
$ 1.2
21.02.2025
1 продажа
Вариант 11 ИДЗ 12.1 Решебник Рябушко часть 3
Купить
$ 1.37
21.02.2025
1 продажа
Вариант 13 ИДЗ 6.2 Решебник Рябушко часть 1
Купить
$ 1.37
21.02.2025
1 продажа
Вариант 17 ИДЗ 6.2 Решебник Рябушко часть 1
Купить
$ 1.37
21.02.2025
1 продажа
Вариант 19 ИДЗ 6.2 Решебник Рябушко часть 1
Купить
$ 1.37
21.02.2025
1 продажа
Вариант 19 ИДЗ 12.3 Решебник Рябушко часть 3
Купить
$ 1.57
21.02.2025
1 продажа
Вариант 21 ИДЗ 18.2 Решебник Рябушко часть 4
Купить
$ 1.47
21.02.2025
1 продажа
Вариант 24 ИДЗ 6.2 Решебник Рябушко часть 1
Купить
$ 1.37

30.10.2020
1 продажа
Вариант 1 ИДЗ 9.1 Решебник Рябушко часть 2
Купить
$ 0.98

12.08.2020
1 продажа
Вариант 15 ИДЗ 6.4 Решебник Рябушко часть 1
Купить
$ 0.83
20.02.2025
1 продажа
Вариант 8 ИДЗ 1.2 Решебник Рябушко часть 1
Купить
$ 0.98
21.02.2025
1 продажа
Вариант 13 ИДЗ 11.3 Решебник Рябушко часть 2
Купить
$ 1.18
21.02.2025
1 продажа
Вариант 14 ИДЗ 2.1 Решебник Рябушко часть 1
Купить
$ 0.69
21.02.2025
1 продажа
Вариант 15 ИДЗ 4.1 Решебник Рябушко часть 1
Купить
$ 1.18
21.02.2025
1 продажа
Вариант 22 ИДЗ 15.2 Решебник Рябушко часть 3
Купить
$ 1.18
21.02.2025
1 продажа
Вариант 24 ИДЗ 6.4 Решебник Рябушко часть 1
Купить
$ 1.08
13.04.2021
1 продажа
Решение задачи Д3 вариант 30 задание 2 - Диевский В.А.
Купить
$ 0.74
13.04.2021
1 продажа
Решение задачи Д3 вариант 14 задание 1 - Диевский В.А.
Купить
$ 0.74
02.03.2009
0 продаж
Maple 9.0 - Математика для студента
Купить
$ 1.99

21.02.2025
0 продаж
Вариант 17 ИДЗ 2.2 Решебник Рябушко часть 1
Купить
$ 0.69

21.02.2025
0 продаж
Вариант 17 ИДЗ 4.1 Решебник Рябушко часть 1
Купить
$ 1.18

21.02.2025
0 продаж
Вариант 19 ИДЗ 2.1 Решебник Рябушко часть 1
Купить
$ 0.69

10.10.2020
0 продаж
Вариант 20 ИДЗ 8.3 Решебник Рябушко часть 2
Купить
$ 0.98

25.05.2017
0 продаж
Задача С3 вариант 39, решебник Тарг С.М. 1982 г.
Купить
$ 0.94

13.01.2019
0 продаж
Решение Д6 В07, решебник по термеху Тарг С.М. 1982 г.
Купить
$ 0.89

30.03.2016
0 продаж
Задание К1 вариант 86, решебник Тарг С.М. 1983 года
Купить
$ 0.51

12.04.2016
0 продаж
Решение задачи Д1 Вариант 41, решебник Тарг С.М. 1983
Купить
$ 0.5

23.05.2016
0 продаж
Задача С4 вариант 05, решебник термех Тарг С.М. 1982 г
Купить
$ 0.63

23.05.2016
0 продаж
Задача С4 вариант 47, решебник термех Тарг С.М. 1982 г
Купить
$ 0.63

23.05.2016
0 продаж
Задача С4 вариант 81, решебник термех Тарг С.М. 1982 г
Купить
$ 0.63
31.05.2016
0 продаж
Решение К3 вар. 16, решебник термех Тарг С.М. 1982 г.
Купить
$ 0.79
31.05.2016
0 продаж
Решение К3 вар. 58, решебник термех Тарг С.М. 1982 г.
Купить
$ 0.79
31.05.2016
0 продаж
Решение задачи К4 В 22, решебник термех Тарг С.М. 1982
Купить
$ 0.79

10.02.2017
0 продаж
Решение задачи Д4 В 37, решебник Тарг С.М. 1982 года
Купить
$ 0.63

10.02.2017
0 продаж
Решение задачи Д4 В 85, решебник Тарг С.М. 1982 года
Купить
$ 0.63
20.02.2025
1 продажа
Вариант 3 ИДЗ 19.1 Решебник Рябушко часть 4
Купить
$ 1.23

03.05.2016
0 продаж
Задание Д2 Вариант 90, решебник теормех Тарг С.М. 1983
Купить
$ 1.16

23.08.2017
0 продаж
Решебник Арутюнова Ю.С. Задание N192 Высшая математика
Купить
$ 0.33

16.05.2017
0 продаж
Решебник Арутюнова Ю.С. Задание N300 Высшая математика
Купить
$ 0.25

18.06.2017
0 продаж
Решебник Арутюнова Ю.С. Задание N373 Высшая математика
Купить
$ 0.32