USSR SHOP »
Магазин » Решебник Арутюнова Ю.С. Задание N140 Высшая математика
Купить Решебник Арутюнова Ю.С. Задание N140 Высшая математика
Обновлено: 2025-10-23 18:52:48

$ 0.25
0 продаж
Всего продаж: 0
✅ Методы оплаты: 





Описание товара:
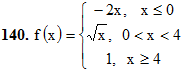
Готовое решение задачи. Решебник Арутюнова. Задание №140.
131 – 140. Задана функция y=f(x). Найти точки разрыва функции, если они существуют. Сделать чертеж.
Если у вас похожее задание, прорешаю на заказ, пишите мне http://fizmathim.plati.ru
Подробное решение. Оформлено в Microsoft Word 2003 (Задание решено с использованием редактора формул)
131 – 140. Задана функция y=f(x). Найти точки разрыва функции, если они существуют. Сделать чертеж.
Если у вас похожее задание, прорешаю на заказ, пишите мне http://fizmathim.plati.ru
Подробное решение. Оформлено в Microsoft Word 2003 (Задание решено с использованием редактора формул)
Изображения:
Вас могут заинтересовать:

30.08.2016
0 продаж
Привод к ленточному конвейеру, задание 7, вариант 8
Купить
$ 12

09.07.2019
0 продаж
Задание №2. УПБП.
Купить
$ 3.91

18.07.2016
0 продаж
Маркетинг задание
Купить
$ 4.39

05.08.2020
0 продаж
Практическое задание №1. Педагогика.
Купить
$ 3.42

17.07.2018
0 продаж
Задание №2. БКГ.
Купить
$ 2.93

14.09.2016
0 продаж
Аудит. Практическое задание по банковской деятельности.
Купить
$ 5.86

05.05.2009
0 продаж
Лабораторная РФЭИ Математика №3
Купить
$ 2.2

08.12.2016
2 продажи
Основы маркетинга часть 2 КЕЙС-ЗАДАНИЕ 2 МИЭМП Витте
Купить
$ 1.95

28.06.2016
1 продажа
Страховое право. РОСНОУ. Задание
Купить
$ 1.48
10.02.2017
1 продажа
Решение К2 вар. 08, решебник теормех Тарг С.М. 1982 г.
Купить
$ 0.79

02.08.2020
1 продажа
Вариант 24 ИДЗ 14.2 Решебник Рябушко часть 3
Купить
$ 0.56

09.02.2017
1 продажа
Решение задачи Д8 В14, решебник Тарг С.М. 1983 года
Купить
$ 1.03
21.02.2025
1 продажа
Вариант 14 ИДЗ 6.2 Решебник Рябушко часть 1
Купить
$ 1.37
20.02.2025
1 продажа
Вариант 2 ИДЗ 8.4 Решебник Рябушко часть 2
Купить
$ 1.57
21.02.2025
1 продажа
Вариант 22 ИДЗ 6.3 Решебник Рябушко часть 1
Купить
$ 1.57
20.02.2025
1 продажа
Вариант 2 ИДЗ 8.1 Решебник Рябушко часть 2
Купить
$ 0.98
20.02.2025
1 продажа
Вариант 8 ИДЗ 8.3 Решебник Рябушко часть 2
Купить
$ 1.27
21.02.2025
1 продажа
Вариант 19 ИДЗ 8.3 Решебник Рябушко часть 2
Купить
$ 1.27
13.04.2021
1 продажа
Диевский В.А. - Решение задачи Д4 вариант 10 задание 1
Купить
$ 0.74
13.04.2021
1 продажа
Решение задачи Д3 вариант 6 задание 2 - Диевский В.А.
Купить
$ 0.74

08.07.2019
0 продаж
Практическое задание №5. УП.
Купить
$ 1.95

14.01.2017
0 продаж
Решебник Кузнецова Л.А. Ряды - Вариант 30
Купить
$ 1.64

21.02.2025
0 продаж
Вариант 21 ИДЗ 1.2 Решебник Рябушко часть 1
Купить
$ 0.98

21.02.2025
0 продаж
Вариант 17 ИДЗ 8.2 Решебник Рябушко часть 2
Купить
$ 1.27

21.02.2025
0 продаж
Вариант 19 ИДЗ 15.2 Решебник Рябушко часть 3
Купить
$ 1.18
24.03.2016
0 продаж
Решение К1 вариант 10, решебник Тарг С.М. 1982 года
Купить
$ 0.77
02.02.2017
0 продаж
Решение К1 вариант 24, решебник Тарг С.М. 1982 года
Купить
$ 0.77
24.03.2016
0 продаж
Решение К1 вариант 79, решебник Тарг С.М. 1982 года
Купить
$ 0.77
13.01.2019
0 продаж
Решение Д6 В16, решебник по термеху Тарг С.М. 1982 г.
Купить
$ 1.12

30.03.2016
0 продаж
Задание К1 вариант 07, решебник Тарг С.М. 1983 года
Купить
$ 0.51

12.04.2016
0 продаж
Решение задачи Д1 Вариант 76, решебник Тарг С.М. 1983
Купить
$ 0.5
13.04.2016
0 продаж
Решение Д9 Вар. 21, решебник термех Тарг С.М. 1983 г.
Купить
$ 0.65
27.04.2016
0 продаж
Решение Д7 В23, решебник по термеху Тарг С.М. 1982 г.
Купить
$ 0.79
23.05.2016
0 продаж
Задача С4 вариант 43, решебник термех Тарг С.М. 1982 г
Купить
$ 0.79

23.05.2016
0 продаж
Задача С4 вариант 81, решебник термех Тарг С.М. 1982 г
Купить
$ 0.63
10.02.2017
0 продаж
Решение К2 вар. 15, решебник теормех Тарг С.М. 1982 г.
Купить
$ 0.79
31.05.2016
0 продаж
Решение задачи К4 В 44, решебник термех Тарг С.М. 1982
Купить
$ 0.79

10.02.2017
0 продаж
Решение задачи Д4 В 34, решебник Тарг С.М. 1982 года
Купить
$ 0.63

10.02.2017
0 продаж
Решение задачи Д4 В 51, решебник Тарг С.М. 1982 года
Купить
$ 0.63

01.06.2021
0 продаж
Практическое задание 1 Микроэкономика
Купить
$ 1

03.12.2016
0 продаж
Решебник Арутюнова Ю.С. Задание N10 Высшая математика
Купить
$ 0.25

06.08.2017
0 продаж
Решебник Арутюнова Ю.С. Задание N35 Высшая математика
Купить
$ 0.25

06.08.2017
1 продажа
Решебник Арутюнова Ю.С. Задание N40 Высшая математика
Купить
$ 0.25

11.08.2017
0 продаж
Решебник Арутюнова Ю.С. Задание N90 Высшая математика
Купить
$ 0.25

15.08.2017
0 продаж
Решебник Арутюнова Ю.С. Задание N116 Высшая математика
Купить
$ 0.41

16.05.2017
0 продаж
Решебник Арутюнова Ю.С. Задание N291 Высшая математика
Купить
$ 0.25

12.07.2017
0 продаж
Решебник Арутюнова Ю.С. Задание N414 Высшая математика
Купить
$ 0.25

09.12.2016
0 продаж
Решебник Арутюнова Ю.С. Задание N572 Высшая математика
Купить
$ 0.16

23.05.2020
0 продаж
Решение задачи № 102 из Сборника под ред. Арутюнова Ю.С
Купить
$ 0.44