USSR SHOP »
Магазин » Решебник Арутюнова Ю.С. Задание N141 Высшая математика
Купить Решебник Арутюнова Ю.С. Задание N141 Высшая математика
Обновлено: 2025-10-23 20:41:12
$ 0.63
0 продаж
Всего продаж: 0
✅ Методы оплаты: 





Описание товара:
Готовое решение задачи. Решебник Арутюнова. Задание №141.
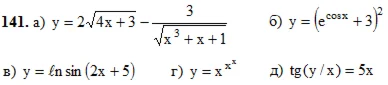
141 – 150. Найти производные dy/dx данных функций
Если у вас похожее задание, прорешаю на заказ, пишите мне http://fizmathim.plati.ru
Подробное решение. Оформлено в Microsoft Word 2003 (Задание решено с использованием редактора формул)
141 – 150. Найти производные dy/dx данных функций
Если у вас похожее задание, прорешаю на заказ, пишите мне http://fizmathim.plati.ru
Подробное решение. Оформлено в Microsoft Word 2003 (Задание решено с использованием редактора формул)
Изображения:
Вас могут заинтересовать:
17.08.2020
10 продаж
Финансовая математика (ответы на тесты Синергия)
Купить
$ 1.85

14.06.2013
6 продаж
Контрольный компьютерный практикум РФЭИ Математика 30 з
Купить
$ 2.2

12.01.2017
4 продажи
Решебник Кузнецова Л.А. Линейная алгебра - Вариант 10
Купить
$ 1.23

14.12.2017
4 продажи
Практическое задание 1 по антикризисному управлению
Купить
$ 1

10.07.2019
1 продажа
Кейс задание №2. Вариант №1. Основы ГМУ.
Купить
$ 3.91

13.01.2016
2 продажи
Задание 7. Иллюзии реорганизации. Кейс.
Купить
$ 5

05.08.2020
0 продаж
Кейс задание №1. Вариант №4. Проектный практикум.
Купить
$ 4.88

21.06.2023
0 продаж
Контрольная право ТГПУ Задание к теме 5
Купить
$ 5.86

29.03.2018
0 продаж
Русский язык. Задание №1.
Купить
$ 2.44

23.02.2013
0 продаж
Итоговый экзамен РФЭИ Математика 100 вопросов 2012 год
Купить
$ 2.2

07.07.2019
1 продажа
Практическое задание №3. Знания Умения Владения навыкам
Купить
$ 1.95
19.02.2025
1 продажа
Решебник Рябушко. Решенный ИДЗ 13.1, Вариант 12
Купить
$ 1.37

16.10.2020
1 продажа
Вариант 7 ИДЗ 8.4 Решебник Рябушко часть 2
Купить
$ 1.2
21.02.2025
1 продажа
Вариант 16 ИДЗ 6.1 Решебник Рябушко часть 1
Купить
$ 1.57
21.02.2025
1 продажа
Вариант 21 ИДЗ 6.2 Решебник Рябушко часть 1
Купить
$ 1.37
21.02.2025
1 продажа
Вариант 24 ИДЗ 6.3 Решебник Рябушко часть 1
Купить
$ 1.57
21.02.2025
1 продажа
Вариант 11 ИДЗ 8.3 Решебник Рябушко часть 2
Купить
$ 1.27
21.02.2025
1 продажа
Вариант 11 ИДЗ 11.4 Решебник Рябушко часть 2
Купить
$ 1.18

16.01.2017
1 продажа
Вариант 15 ИДЗ 8.1 Решебник Рябушко часть 2
Купить
$ 0.75
21.02.2025
1 продажа
Вариант 21 ИДЗ 11.1 Решебник Рябушко часть 2
Купить
$ 1.18
21.02.2025
1 продажа
Вариант 21 ИДЗ 14.2 Решебник Рябушко часть 3
Купить
$ 0.74
21.02.2025
1 продажа
Вариант 22 ИДЗ 2.2 Решебник Рябушко часть 1
Купить
$ 0.69
21.02.2025
1 продажа
Вариант 22 ИДЗ 15.2 Решебник Рябушко часть 3
Купить
$ 1.18
13.04.2021
1 продажа
Диевский В.А. - Решение задачи Д4 вариант 16 задание 1
Купить
$ 0.73

16.01.2017
0 продаж
Решебник Кузнецова Л.А. Пределы - Вариант 11
Купить
$ 1.64

15.03.2021
0 продаж
Математика для правого мозга
Купить
$ 28.09

21.02.2025
0 продаж
Вариант 18 ИДЗ 1.2 Решебник Рябушко часть 1
Купить
$ 0.98

10.10.2020
0 продаж
Вариант 24 ИДЗ 8.2 Решебник Рябушко часть 2
Купить
$ 0.98

21.02.2025
0 продаж
Вариант 20 ИДЗ 11.3 Решебник Рябушко часть 2
Купить
$ 1.18

08.01.2016
0 продаж
Задание 4 Имеются следующие данные о внутригодовой дина
Купить
$ 1.22

24.03.2016
0 продаж
Решение К1 вариант 06, решебник Тарг С.М. 1982 года
Купить
$ 0.61
02.02.2017
0 продаж
Решение К1 вариант 24, решебник Тарг С.М. 1982 года
Купить
$ 0.77

24.03.2016
0 продаж
Решение К1 вариант 43, решебник Тарг С.М. 1982 года
Купить
$ 0.61

30.03.2016
0 продаж
Задание К1 вариант 33, решебник Тарг С.М. 1983 года
Купить
$ 0.51

12.04.2016
0 продаж
Решение задачи Д1 Вариант 28, решебник Тарг С.М. 1983
Купить
$ 0.5

13.04.2016
0 продаж
Задача Д3 Вариант 30, решебник термех Тарг С.М. 1983 г
Купить
$ 0.53

13.04.2016
0 продаж
Решение Д9 Вар. 74, решебник термех Тарг С.М. 1983 г.
Купить
$ 0.51
27.04.2016
0 продаж
Решение Д7 В45, решебник по термеху Тарг С.М. 1982 г.
Купить
$ 0.79

23.05.2016
0 продаж
Задача С4 вариант 10, решебник термех Тарг С.М. 1982 г
Купить
$ 0.63

23.05.2016
0 продаж
Задача С4 вариант 70, решебник термех Тарг С.М. 1982 г
Купить
$ 0.63

23.05.2016
0 продаж
Задача С4 вариант 77, решебник термех Тарг С.М. 1982 г
Купить
$ 0.63

23.05.2016
0 продаж
Задача С4 вариант 97, решебник термех Тарг С.М. 1982 г
Купить
$ 0.63
31.05.2016
0 продаж
Решение К3 вар. 21, решебник термех Тарг С.М. 1982 г.
Купить
$ 0.79
31.05.2016
0 продаж
Решение К3 вар. 32, решебник термех Тарг С.М. 1982 г.
Купить
$ 0.79

10.02.2017
0 продаж
Решение задачи Д4 В 45, решебник Тарг С.М. 1982 года
Купить
$ 0.63

07.05.2016
0 продаж
Задание Д2 Вариант 96, решебник теормех Тарг С.М. 1983
Купить
$ 1.16

16.08.2017
0 продаж
Практическое задание 1 по английскому языку
Купить
$ 1

10.12.2016
1 продажа
Решебник Арутюнова Ю.С. Задание N552 Высшая математика
Купить
$ 0.16

05.08.2017
1 продажа
Решебник Арутюнова Ю.С. Задание N30 Высшая математика
Купить
$ 0.25
16.03.2017
1 продажа
Задание 16.31 раздела 3 УМФ из решебника Чудесенко В.Ф.
Купить
$ 0.58