USSR SHOP »
Магазин » Решебник Арутюнова Ю.С. Задание N147 Высшая математика
Купить Решебник Арутюнова Ю.С. Задание N147 Высшая математика
Обновлено: 2025-10-23 23:29:13
$ 0.63
0 продаж
Всего продаж: 0
✅ Методы оплаты: 





Описание товара:
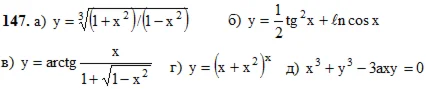
Готовое решение задачи. Решебник Арутюнова. Задание №147.
141 – 150. Найти производные dy/dx данных функций
Если у вас похожее задание, прорешаю на заказ, пишите мне http://fizmathim.plati.ru
Подробное решение. Оформлено в Microsoft Word 2003 (Задание решено с использованием редактора формул)
141 – 150. Найти производные dy/dx данных функций
Если у вас похожее задание, прорешаю на заказ, пишите мне http://fizmathim.plati.ru
Подробное решение. Оформлено в Microsoft Word 2003 (Задание решено с использованием редактора формул)
Изображения:
Вас могут заинтересовать:

14.01.2010
0 продаж
Математика РФЭИ 3 контрольные + 3 лабораторные работы
Купить
$ 14
16.02.2016
8 продаж
Решение задачи Д4 (задание 2) Вариант 06 Диевский В.А.
Купить
$ 0.79
11.01.2016
7 продаж
Решение задачи Д7 (задание 2) Вариант 17 Диевский В.А.
Купить
$ 0.79
13.11.2020
7 продаж
Математика и статистика 1 семестр Ответы Синергия
Купить
$ 1.84
04.03.2021
5 продаж
Математика Синергия - МОИ 2 семестр (Тест 93/100)
Купить
$ 1.84

30.08.2016
1 продажа
Привод к цепному конвейеру, задание 4, вариант 7
Купить
$ 12

10.01.2017
0 продаж
Кейс задание 1 - Экономика. 2 ситуации. Вариант 2.
Купить
$ 3.42

17.07.2018
0 продаж
УП. Задание №1.
Купить
$ 2.93

14.06.2013
0 продаж
Самостоятельная работа РФЭИ Математика №2 20 задании
Купить
$ 2.2
22.12.2017
2 продажи
Диевский В.А. - Решение задачи Д7 вариант 3 задание 1
Купить
$ 0.73
20.02.2012
1 продажа
Дискретна математика - Теорія множин НУ"ЛП" В-3
Купить
$ 0.53

16.01.2017
2 продажи
Решебник Кузнецова Л.А. Пределы - Вариант 18
Купить
$ 2.06

12.04.2016
1 продажа
Решение задачи Д1 Вариант 53, решебник Тарг С.М. 1983
Купить
$ 0.5

21.02.2025
1 продажа
Вариант 16 ИДЗ 5.1 Решебник Рябушко часть 1
Купить
$ 1.18
13.04.2016
1 продажа
Решение Д9 Вар. 88, решебник термех Тарг С.М. 1983 г.
Купить
$ 0.65
21.02.2025
1 продажа
Вариант 12 ИДЗ 18.2 Решебник Рябушко часть 4
Купить
$ 1.47
21.02.2025
1 продажа
Вариант 16 ИДЗ 18.1 Решебник Рябушко часть 4
Купить
$ 1.47

16.01.2017
1 продажа
Вариант 17 ИДЗ 12.1 Решебник Рябушко часть 3
Купить
$ 1.05
21.02.2025
1 продажа
Вариант 25 ИДЗ 6.1 Решебник Рябушко часть 1
Купить
$ 1.57
20.02.2025
1 продажа
Вариант 6 ИДЗ 9.1 Решебник Рябушко часть 2
Купить
$ 1.27
21.02.2025
1 продажа
Вариант 16 ИДЗ 3.1 Решебник Рябушко часть 1
Купить
$ 0.69
21.02.2025
1 продажа
Вариант 17 ИДЗ 5.1 Решебник Рябушко часть 1
Купить
$ 1.18
21.02.2025
1 продажа
Вариант 22 ИДЗ 2.2 Решебник Рябушко часть 1
Купить
$ 0.69
21.02.2025
1 продажа
Вариант 29 ИДЗ 5.2 Решебник Рябушко часть 1
Купить
$ 1.08
13.04.2021
1 продажа
Решение задачи Д3 вариант 22 задание 1 - Диевский В.А.
Купить
$ 0.74
13.04.2021
1 продажа
Решение задачи Д3 вариант 23 задание 2 - Диевский В.А.
Купить
$ 0.73
13.04.2021
1 продажа
Решение задачи Д3 вариант 16 задание 2 - Диевский В.А.
Купить
$ 0.74

10.02.2017
0 продаж
Решение задачи Д8 В75, решебник Тарг С.М. 1983 года
Купить
$ 1.99

10.02.2017
0 продаж
Решение задачи Д8 В88, решебник Тарг С.М. 1983 года
Купить
$ 1.99

30.10.2020
0 продаж
Вариант 18 ИДЗ 9.1 Решебник Рябушко часть 2
Купить
$ 0.98

21.02.2025
0 продаж
Вариант 25 ИДЗ 6.4 Решебник Рябушко часть 1
Купить
$ 1.08

01.08.2020
0 продаж
Вариант 21 ИДЗ 8.1 Решебник Рябушко часть 2
Купить
$ 0.75
24.03.2016
0 продаж
Решение К1 вариант 56, решебник Тарг С.М. 1982 года
Купить
$ 0.77

12.04.2016
0 продаж
Решение задачи Д1 Вариант 20, решебник Тарг С.М. 1983
Купить
$ 0.5

13.04.2016
0 продаж
Задача Д3 Вариант 18, решебник термех Тарг С.М. 1983 г
Купить
$ 0.53
10.02.2017
0 продаж
Решение К2 вар. 06, решебник теормех Тарг С.М. 1982 г.
Купить
$ 0.79
31.05.2016
0 продаж
Решение задачи К4 В 44, решебник термех Тарг С.М. 1982
Купить
$ 0.79

06.06.2016
0 продаж
Решение задачи Д1 В 04, решебник термех Тарг С.М. 1982
Купить
$ 0.63
06.06.2016
0 продаж
Решение задачи Д1 В 22, решебник термех Тарг С.М. 1982
Купить
$ 0.79

04.07.2013
45 продаж
Математика тест с ответами часть 4
Купить
$ 0.38

03.12.2016
1 продажа
Решебник Арутюнова Ю.С. Задание N2 Высшая математика
Купить
$ 0.25

11.12.2016
3 продажи
Решебник Арутюнова Ю.С. Задание N534 Высшая математика
Купить
$ 0.32

29.05.2017
1 продажа
Решебник Арутюнова Ю.С. Задание N278 Высшая математика
Купить
$ 0.25

20.06.2021
0 продаж
ДВФУ WEBDidactor Финансовая математика - 2 вопроса #1077
Купить
$ 0.32

07.08.2017
0 продаж
Решебник Арутюнова Ю.С. Задание N44 Высшая математика
Купить
$ 0.32

16.08.2017
0 продаж
Решебник Арутюнова Ю.С. Задание N129 Высшая математика
Купить
$ 0.25

23.08.2017
0 продаж
Решебник Арутюнова Ю.С. Задание N200 Высшая математика
Купить
$ 0.33

25.08.2017
0 продаж
Решебник Арутюнова Ю.С. Задание N228 Высшая математика
Купить
$ 0.33

17.06.2017
0 продаж
Решебник Арутюнова Ю.С. Задание N364 Высшая математика
Купить
$ 0.25

18.06.2017
0 продаж
Решебник Арутюнова Ю.С. Задание N377 Высшая математика
Купить
$ 0.32