USSR SHOP »
Магазин » Решебник Арутюнова Ю.С. Задание N352 Высшая математика
Купить Решебник Арутюнова Ю.С. Задание N352 Высшая математика
Обновлено: 2025-10-23 17:49:15
$ 0.42
0 продаж
Всего продаж: 0
✅ Методы оплаты: 





Описание товара:
Готовое решение задачи. Решебник Арутюнова. Задание №352.
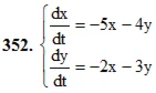
351 – 360. Дана система линейных дифференциальных уравнений с постоянными коэффициентами
Требуется: 1) найти общее решение системы с помощью характеристического уравнения; 2) записать в матричной форме данную систему и ее решение.
Если у вас похожее задание, прорешаю на заказ, пишите мне http://fizmathim.plati.ru
Подробное решение. Оформлено в Microsoft Word 2003 (Задание решено с использованием редактора формул)
351 – 360. Дана система линейных дифференциальных уравнений с постоянными коэффициентами
Требуется: 1) найти общее решение системы с помощью характеристического уравнения; 2) записать в матричной форме данную систему и ее решение.
Если у вас похожее задание, прорешаю на заказ, пишите мне http://fizmathim.plati.ru
Подробное решение. Оформлено в Microsoft Word 2003 (Задание решено с использованием редактора формул)
Изображения:
Вас могут заинтересовать:

27.09.2013
23 продажи
Математика (тесты МЭИ)
Купить
$ 0.78
14.03.2016
8 продаж
Решение задачи Д3 (задание 1) Вариант 27 Диевский В.А.
Купить
$ 0.79

08.07.2019
4 продажи
ТК-1. Задание. Финансовый менеджмент.
Купить
$ 2.93

05.07.2016
2 продажи
Земельное право.Письменное задание ПКЗ
Купить
$ 2.64

22.12.2017
4 продажи
Диевский В.А. - Решение задачи Д7 вариант 8 задание 2
Купить
$ 0.59

13.10.2016
2 продажи
Задание 2. Методы управления образовательными учреждени
Купить
$ 1.95
13.01.2019
3 продажи
Решение К1 вариант 88, решебник Тарг С.М. 1982 года
Купить
$ 0.76
22.04.2024
2 продажи
️⭐Высшая степень эволюции ОЛЕЕЕЕНЯ XBOX DLC⭐️
Купить
$ 8.36

14.06.2013
0 продаж
Домашняя контрольная РФЭИ Математика 50 задании
Купить
$ 2.2

23.05.2016
1 продажа
Задача С4 вариант 59, решебник термех Тарг С.М. 1982 г
Купить
$ 0.63
27.04.2016
1 продажа
Решение Д7 В35, решебник по термеху Тарг С.М. 1982 г.
Купить
$ 0.79

24.03.2016
1 продажа
Решение К1 вариант 04, решебник Тарг С.М. 1982 года
Купить
$ 0.61

13.04.2016
1 продажа
Задача Д3 Вариант 20, решебник термех Тарг С.М. 1983 г
Купить
$ 0.53
13.04.2016
1 продажа
Решение Д9 Вар. 69, решебник термех Тарг С.М. 1983 г.
Купить
$ 0.65
06.06.2016
1 продажа
Решение задачи Д1 В 12, решебник термех Тарг С.М. 1982
Купить
$ 0.79

10.02.2017
1 продажа
Решение задачи Д4 В 72, решебник Тарг С.М. 1982 года
Купить
$ 0.63

20.02.2025
1 продажа
Решебник Рябушко. Решенный ИДЗ 2.1, Вариант 29
Купить
$ 0.74

19.02.2025
1 продажа
Решебник Рябушко. Решенный ИДЗ 11.3, Вариант 8
Купить
$ 1.16
19.02.2025
1 продажа
Решебник Рябушко. Решенный ИДЗ 18.2, Вариант 19
Купить
$ 1.47
21.02.2025
1 продажа
Вариант 12 ИДЗ 12.3 Решебник Рябушко часть 3
Купить
$ 1.57
21.02.2025
1 продажа
Вариант 15 ИДЗ 12.2 Решебник Рябушко часть 3
Купить
$ 1.57
21.02.2025
1 продажа
Вариант 24 ИДЗ 6.3 Решебник Рябушко часть 1
Купить
$ 1.57
20.02.2025
1 продажа
Вариант 6 ИДЗ 11.3 Решебник Рябушко часть 2
Купить
$ 1.18
21.02.2025
1 продажа
Вариант 16 ИДЗ 5.2 Решебник Рябушко часть 1
Купить
$ 1.08
21.02.2025
1 продажа
Вариант 20 ИДЗ 3.1 Решебник Рябушко часть 1
Купить
$ 0.69
21.02.2025
1 продажа
Вариант 20 ИДЗ 11.2 Решебник Рябушко часть 2
Купить
$ 1.18
13.04.2021
1 продажа
Диевский В.А. - Решение задачи Д4 вариант 17 задание 1
Купить
$ 0.74

08.07.2019
0 продаж
Задание 2. Управление проектами.
Купить
$ 2.47

19.01.2017
0 продаж
Решение Д3 В61, решебник по термеху Тарг С.М. 1982 г.
Купить
$ 1.57

16.01.2017
0 продаж
Решебник Кузнецова Л.А. Дифференцирование - Вариант 20
Купить
$ 2.06

23.01.2009
0 продаж
Алгебра и начала анализа 10-11кл Колмогоров Решебник
Купить
$ 2

02.08.2020
0 продаж
Вариант 20 ИДЗ 15.1 Решебник Рябушко часть 3
Купить
$ 0.9

21.02.2025
0 продаж
Вариант 24 ИДЗ 6.4 Решебник Рябушко часть 1
Купить
$ 1.08
13.01.2019
0 продаж
Решение К1 вариант 26, решебник Тарг С.М. 1982 года
Купить
$ 0.77

13.04.2016
0 продаж
Задача Д3 Вариант 01, решебник термех Тарг С.М. 1983 г
Купить
$ 0.53

13.04.2016
0 продаж
Задача Д3 Вариант 34, решебник термех Тарг С.М. 1983 г
Купить
$ 0.53

13.04.2016
0 продаж
Задача Д3 Вариант 90, решебник термех Тарг С.М. 1983 г
Купить
$ 0.53
27.04.2016
0 продаж
Решение Д7 В15, решебник по термеху Тарг С.М. 1982 г.
Купить
$ 0.79
27.04.2016
0 продаж
Решение Д7 В25, решебник по термеху Тарг С.М. 1982 г.
Купить
$ 0.79
27.04.2016
0 продаж
Решение Д7 В36, решебник по термеху Тарг С.М. 1982 г.
Купить
$ 0.79
23.05.2016
0 продаж
Решение С5 вар. 18, решебник теормех Тарг С.М. 1982 г.
Купить
$ 0.79
06.06.2016
0 продаж
Решение задачи Д1 В 63 решебник термех Тарг С.М. 1982
Купить
$ 0.79
20.02.2025
0 продаж
Вариант 3 ИДЗ 19.2 Решебник Рябушко часть 4
Купить
$ 1.23

06.09.2005
17 продаж
Р.Винс.Математика управления капиталом (дайджест)
Купить
$ 0.04

18.09.2017
0 продаж
Решебник Арутюнова Ю.С. Задание N142 Высшая математика
Купить
$ 0.49

21.08.2017
0 продаж
Решебник Арутюнова Ю.С. Задание N182 Высшая математика
Купить
$ 0.25

12.07.2017
0 продаж
Решебник Арутюнова Ю.С. Задание N419 Высшая математика
Купить
$ 0.25

11.12.2016
0 продаж
Решебник Арутюнова Ю.С. Задание N533 Высшая математика
Купить
$ 0.32

10.12.2016
0 продаж
Решебник Арутюнова Ю.С. Задание N553 Высшая математика
Купить
$ 0.16

10.12.2016
1 продажа
Решебник Арутюнова Ю.С. Задание N556 Высшая математика
Купить
$ 0.21