USSR SHOP »
Магазин » Решебник Арутюнова Ю.С. Задание N353 Высшая математика
Купить Решебник Арутюнова Ю.С. Задание N353 Высшая математика
Обновлено: 2025-10-23 18:19:25

$ 0.33
0 продаж
Всего продаж: 0
✅ Методы оплаты: 





Описание товара:
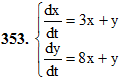
Готовое решение задачи. Решебник Арутюнова. Задание №353.
351 – 360. Дана система линейных дифференциальных уравнений с постоянными коэффициентами
Требуется: 1) найти общее решение системы с помощью характеристического уравнения; 2) записать в матричной форме данную систему и ее решение.
Если у вас похожее задание, прорешаю на заказ, пишите мне http://fizmathim.plati.ru
Подробное решение. Оформлено в Microsoft Word 2003 (Задание решено с использованием редактора формул)
351 – 360. Дана система линейных дифференциальных уравнений с постоянными коэффициентами
Требуется: 1) найти общее решение системы с помощью характеристического уравнения; 2) записать в матричной форме данную систему и ее решение.
Если у вас похожее задание, прорешаю на заказ, пишите мне http://fizmathim.plati.ru
Подробное решение. Оформлено в Microsoft Word 2003 (Задание решено с использованием редактора формул)
Изображения:
Вас могут заинтересовать:
11.01.2016
10 продаж
Решение задачи Д7 (задание 1) Вариант 13 Диевский В.А.
Купить
$ 0.79

09.02.2007
9 продаж
Решебник для задачника по экономике. Автор Мицкевич(2-я глава)
Купить
$ 0.2
16.03.2017
0 продаж
Лёгкая покерная математика (Рой Раундер)
Купить
$ 1

10.07.2019
0 продаж
ТК-8. Задание. Налоги.
Купить
$ 2.47

14.05.2016
0 продаж
Страховое право РОСНОУ Задание
Купить
$ 1.23

13.01.2017
1 продажа
Решебник Кузнецова Л.А. Ряды - Вариант 13
Купить
$ 2.06

14.04.2016
1 продажа
Задача С2 вариант 89, решебник Тарг С.М. 1983 г.
Купить
$ 1.52

31.05.2016
1 продажа
Решение задачи К4 В 02, решебник термех Тарг С.М. 1982
Купить
$ 0.63
10.02.2017
1 продажа
Решение К2 вар. 99, решебник теормех Тарг С.М. 1982 г.
Купить
$ 0.79
06.06.2016
1 продажа
Решение задачи Д1 В 98 решебник термех Тарг С.М. 1982
Купить
$ 0.79

20.02.2025
1 продажа
Решебник Рябушко. Решенный ИДЗ 2.1, Вариант 29
Купить
$ 0.74

21.02.2025
1 продажа
Вариант 26 ИДЗ 18.2 Решебник Рябушко часть 4
Купить
$ 1.47
21.02.2025
1 продажа
Вариант 27 ИДЗ 12.1 Решебник Рябушко часть 3
Купить
$ 1.37

25.08.2020
1 продажа
Вариант 13 ИДЗ 11.1 Решебник Рябушко часть 2
Купить
$ 0.9

12.08.2020
1 продажа
Вариант 9 ИДЗ 6.4 Решебник Рябушко часть 1
Купить
$ 0.83

01.09.2020
1 продажа
Вариант 3 ИДЗ 11.2 Решебник Рябушко часть 2
Купить
$ 0.9
20.02.2025
1 продажа
Вариант 1 ИДЗ 2.1 Решебник Рябушко часть 1
Купить
$ 0.69

15.09.2020
1 продажа
Вариант 1 ИДЗ 11.4 Решебник Рябушко часть 2
Купить
$ 0.9
20.02.2025
1 продажа
Вариант 3 ИДЗ 2.2 Решебник Рябушко часть 1
Купить
$ 0.69
20.02.2025
1 продажа
Вариант 3 ИДЗ 8.3 Решебник Рябушко часть 2
Купить
$ 1.27
20.02.2025
1 продажа
Вариант 5 ИДЗ 13.3 Решебник Рябушко часть 3
Купить
$ 1.18
21.02.2025
1 продажа
Вариант 14 ИДЗ 10.2 Решебник Рябушко часть 2
Купить
$ 1.18
21.02.2025
1 продажа
Вариант 16 ИДЗ 2.2 Решебник Рябушко часть 1
Купить
$ 0.69
21.02.2025
1 продажа
Вариант 19 ИДЗ 8.3 Решебник Рябушко часть 2
Купить
$ 1.27
21.02.2025
1 продажа
Вариант 20 ИДЗ 1.2 Решебник Рябушко часть 1
Купить
$ 0.98
21.02.2025
1 продажа
Вариант 24 ИДЗ 2.2 Решебник Рябушко часть 1
Купить
$ 0.69
21.02.2025
1 продажа
Вариант 28 ИДЗ 11.2 Решебник Рябушко часть 2
Купить
$ 1.18
22.12.2017
0 продаж
Диевский В.А. - Решение задачи Д7 вариант 17 задание 2
Купить
$ 0.74
![Высшая математика [Тема 7-12]](/templates/tpl/images/product.jpg)
01.04.2024
0 продаж
Высшая математика [Тема 7-12]
Купить
$ 4.29

31.07.2020
0 продаж
Вариант 19 ИДЗ 3.1 Решебник Рябушко часть 1
Купить
$ 0.53

19.03.2016
0 продаж
Задача С3 вариант 02, решебник Тарг С.М. 1982 г.
Купить
$ 0.94

13.04.2016
0 продаж
Задача Д3 Вариант 76, решебник термех Тарг С.М. 1983 г
Купить
$ 0.53
13.04.2016
0 продаж
Решение Д9 Вар. 45, решебник термех Тарг С.М. 1983 г.
Купить
$ 0.65

23.05.2016
0 продаж
Задача С4 вариант 78, решебник термех Тарг С.М. 1982 г
Купить
$ 0.63
23.05.2016
1 продажа
Решение С5 вар. 03, решебник теормех Тарг С.М. 1982 г.
Купить
$ 0.79
31.05.2016
0 продаж
Решение К3 вар. 24, решебник термех Тарг С.М. 1982 г.
Купить
$ 0.79
31.05.2016
0 продаж
Решение К3 вар. 72, решебник термех Тарг С.М. 1982 г.
Купить
$ 0.79

10.02.2017
0 продаж
Решение задачи Д4 В 93, решебник Тарг С.М. 1982 года
Купить
$ 0.63

04.11.2016
0 продаж
Тест Математика Часть 2
Купить
$ 0.88

27.06.2017
0 продаж
Решебник Арутюнова Ю.С. Задание N405 Высшая математика
Купить
$ 0.57

20.10.2014
19 продаж
Дискретная математика контрольная с ответами, вариант 1
Купить
$ 1.28
28.07.2017
1 продажа
Решебник Арутюнова Ю.С. Задание N444 Высшая математика
Купить
$ 0.32

09.06.2017
1 продажа
Решебник Арутюнова Ю.С. Задание N335 Высшая математика
Купить
$ 0.25

03.06.2017
1 продажа
Решебник Арутюнова Ю.С. Задание N258 Высшая математика
Купить
$ 0.42

11.08.2017
0 продаж
Решебник Арутюнова Ю.С. Задание N86 Высшая математика
Купить
$ 0.25

21.08.2017
0 продаж
Решебник Арутюнова Ю.С. Задание N182 Высшая математика
Купить
$ 0.25

16.05.2017
0 продаж
Решебник Арутюнова Ю.С. Задание N292 Высшая математика
Купить
$ 0.25

15.05.2017
0 продаж
Решебник Арутюнова Ю.С. Задание N529 Высшая математика
Купить
$ 0.25

09.12.2016
0 продаж
Решебник Арутюнова Ю.С. Задание N573 Высшая математика
Купить
$ 0.16
16.03.2017
0 продаж
Задание 14.31 раздела 3 УМФ из решебника Чудесенко В.Ф.
Купить
$ 0.58