USSR SHOP »
Магазин » Решебник Арутюнова Ю.С. Задание N354 Высшая математика
Купить Решебник Арутюнова Ю.С. Задание N354 Высшая математика
Обновлено: 2025-10-23 19:57:25

$ 0.33
0 продаж
Всего продаж: 0
✅ Методы оплаты: 





Описание товара:
Готовое решение задачи. Решебник Арутюнова. Задание №354.
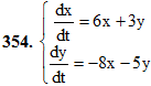
351 – 360. Дана система линейных дифференциальных уравнений с постоянными коэффициентами
Требуется: 1) найти общее решение системы с помощью характеристического уравнения; 2) записать в матричной форме данную систему и ее решение.
Если у вас похожее задание, прорешаю на заказ, пишите мне http://fizmathim.plati.ru
Подробное решение. Оформлено в Microsoft Word 2003 (Задание решено с использованием редактора формул)
351 – 360. Дана система линейных дифференциальных уравнений с постоянными коэффициентами
Требуется: 1) найти общее решение системы с помощью характеристического уравнения; 2) записать в матричной форме данную систему и ее решение.
Если у вас похожее задание, прорешаю на заказ, пишите мне http://fizmathim.plati.ru
Подробное решение. Оформлено в Microsoft Word 2003 (Задание решено с использованием редактора формул)
Изображения:
Вас могут заинтересовать:

14.01.2010
9 продаж
Математика РФЭИ 3 контрольные + 3 лабораторные работы
Купить
$ 14
26.11.2015
12 продаж
Решение задачи Д3 Вариант 09 (задание 1, 2) Диевский ВА
Купить
$ 1.45

02.05.2023
8 продаж
Дискретная математика (тест с ответами Синергия/МОИ/ МТ
Купить
$ 3.79

30.08.2016
0 продаж
Привод к цепному конвейеру, задание 5, вариант 5
Купить
$ 12

09.10.2018
1 продажа
2-e задание. Римское право.
Купить
$ 2.44

17.07.2019
0 продаж
Часть 1. Вариант 1. Кейс задание 1.
Купить
$ 6.84

20.01.2021
0 продаж
Задание 2. Протокольные практики.
Купить
$ 3.91

09.10.2018
0 продаж
ТК-14 задание.
Купить
$ 3.91

20.10.2017
0 продаж
Финансовый менеджмент. Задание.
Купить
$ 4.39

18.07.2016
0 продаж
Финансы практическое задание. РОСНОУ.
Купить
$ 2.44

09.07.2019
0 продаж
Задание 6. Управление проектами.
Купить
$ 1.85

17.01.2017
1 продажа
Математика(ДВГГТК)
Купить
$ 0.97
30.03.2016
1 продажа
Задача С2 вариант 93, решебник Тарг С.М. 1983 г.
Купить
$ 1.11
19.02.2025
1 продажа
Решебник Рябушко. Решенный ИДЗ 13.2, Вариант 19
Купить
$ 1.05

19.02.2025
1 продажа
Решебник Рябушко. Решенный ИДЗ 18.1, Вариант 14
Купить
$ 1.47
20.02.2025
1 продажа
Вариант 8 ИДЗ 10.1 Решебник Рябушко часть 2
Купить
$ 1.37
20.02.2025
1 продажа
Вариант 7 ИДЗ 6.1 Решебник Рябушко часть 1
Купить
$ 1.57
21.02.2025
1 продажа
Вариант 11 ИДЗ 6.3 Решебник Рябушко часть 1
Купить
$ 1.57
20.02.2025
1 продажа
Вариант 2 ИДЗ 8.3 Решебник Рябушко часть 2
Купить
$ 1.27
20.02.2025
1 продажа
Вариант 2 ИДЗ 14.2 Решебник Рябушко часть 3
Купить
$ 0.74
20.02.2025
1 продажа
Вариант 8 ИДЗ 14.1 Решебник Рябушко часть 3
Купить
$ 1.08
20.02.2025
1 продажа
Вариант 10 ИДЗ 13.3 Решебник Рябушко часть 3
Купить
$ 1.18
21.02.2025
1 продажа
Вариант 17 ИДЗ 11.1 Решебник Рябушко часть 2
Купить
$ 1.18

16.01.2017
1 продажа
Вариант 21 ИДЗ 2.2 Решебник Рябушко часть 1
Купить
$ 0.53
21.02.2025
1 продажа
Вариант 27 ИДЗ 2.1 Решебник Рябушко часть 1
Купить
$ 0.69

06.11.2018
1 продажа
Контрольно-курсовое задание Экономика для менеджеров
Купить
$ 9.75
13.04.2021
1 продажа
Решение задачи Д3 вариант 13 задание 1 - Диевский В.А.
Купить
$ 0.74
14.04.2016
0 продаж
Решение Д6 В59, решебник термех Тарг С.М. 1983 года
Купить
$ 3.26

07.07.2019
0 продаж
Задание базового уровня 1 НФЛdoc
Купить
$ 1.95

13.01.2017
0 продаж
Решебник Кузнецова Л.А. Ряды - Вариант 20
Купить
$ 1.64

14.01.2017
0 продаж
Решебник Кузнецова Л.А. Ряды - Вариант 30
Купить
$ 1.64

31.07.2020
0 продаж
Вариант 22 ИДЗ 2.1 Решебник Рябушко часть 1
Купить
$ 0.53

21.02.2025
0 продаж
Вариант 16 ИДЗ 9.1 Решебник Рябушко часть 2
Купить
$ 1.27

20.03.2016
0 продаж
Задача С3 вариант 87, решебник Тарг С.М. 1982 г.
Купить
$ 0.94
13.01.2019
0 продаж
Решение К1 вариант 23, решебник Тарг С.М. 1982 года
Купить
$ 0.77

30.03.2016
0 продаж
Задание К1 вариант 32, решебник Тарг С.М. 1983 года
Купить
$ 0.51

12.04.2016
0 продаж
Решение задачи Д1 Вариант 41, решебник Тарг С.М. 1983
Купить
$ 0.5

12.04.2016
0 продаж
Решение задачи Д1 Вариант 89, решебник Тарг С.М. 1983
Купить
$ 0.5

13.04.2016
0 продаж
Задача Д3 Вариант 46, решебник термех Тарг С.М. 1983 г
Купить
$ 0.53
13.04.2016
0 продаж
Решение Д9 Вар. 25, решебник термех Тарг С.М. 1983 г.
Купить
$ 0.65

23.05.2016
0 продаж
Задача С4 вариант 11, решебник термех Тарг С.М. 1982 г
Купить
$ 0.63
31.05.2016
0 продаж
Решение К3 вар. 19, решебник термех Тарг С.М. 1982 г.
Купить
$ 0.79
06.06.2016
0 продаж
Решение задачи Д1 В 97 решебник термех Тарг С.М. 1982
Купить
$ 0.79

10.02.2017
0 продаж
Решение задачи Д4 В 84, решебник Тарг С.М. 1982 года
Купить
$ 0.63

16.03.2017
1 продажа
Задание 01.31 раздела 3 УМФ из решебника Чудесенко В.Ф.
Купить
$ 0.46

23.06.2017
2 продажи
Решебник Арутюнова Ю.С. Задание N391 Высшая математика
Купить
$ 0.25

07.08.2017
0 продаж
Решебник Арутюнова Ю.С. Задание N48 Высшая математика
Купить
$ 0.32

09.06.2017
0 продаж
Решебник Арутюнова Ю.С. Задание N336 Высшая математика
Купить
$ 0.25
17.04.2018
0 продаж
РГР: В.Н.КУНИН А.Ф.ГАЛКИН 2007Г. ЗАДАНИЕ 2.14
Купить
$ 0.24
17.04.2018
0 продаж
РГР: В.Н.КУНИН А.Ф.ГАЛКИН 2007Г. ЗАДАНИЕ 2.18
Купить
$ 0.24