USSR SHOP »
Магазин » Решебник Арутюнова Ю.С. Задание N356 Высшая математика
Купить Решебник Арутюнова Ю.С. Задание N356 Высшая математика
Обновлено: 2025-10-23 18:16:07

$ 0.33
0 продаж
Всего продаж: 0
✅ Методы оплаты: 





Описание товара:
Готовое решение задачи. Решебник Арутюнова. Задание №356.
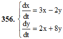
351 – 360. Дана система линейных дифференциальных уравнений с постоянными коэффициентами
Требуется: 1) найти общее решение системы с помощью характеристического уравнения; 2) записать в матричной форме данную систему и ее решение.
Если у вас похожее задание, прорешаю на заказ, пишите мне http://fizmathim.plati.ru
Подробное решение. Оформлено в Microsoft Word 2003 (Задание решено с использованием редактора формул)
351 – 360. Дана система линейных дифференциальных уравнений с постоянными коэффициентами
Требуется: 1) найти общее решение системы с помощью характеристического уравнения; 2) записать в матричной форме данную систему и ее решение.
Если у вас похожее задание, прорешаю на заказ, пишите мне http://fizmathim.plati.ru
Подробное решение. Оформлено в Microsoft Word 2003 (Задание решено с использованием редактора формул)
Изображения:
Вас могут заинтересовать:
13.08.2022
34 продажи
Высшая математика ответы Синергия (тесты 1 семестр)
Купить
$ 1.22
14.03.2016
14 продаж
Решение задачи Д3 (задание 2) Вариант 12 Диевский В.А.
Купить
$ 0.79
14.03.2016
7 продаж
Решение задачи Д3 (задание 2) Вариант 27 Диевский В.А.
Купить
$ 0.79

09.07.2019
2 продажи
ТК-9. Задание. Аудит.
Купить
$ 2.44
18.05.2018
3 продажи
Диевский В.А. - Решение задачи Д7 вариант 23 задание 1
Купить
$ 0.74

06.07.2017
0 продаж
Задание № 7. Дать краткое описание существующих подхо
Купить
$ 2.47

03.02.2009
1 продажа
Математика 1457.03 3 вариант
Купить
$ 1.93

13.01.2019
1 продажа
Решение К1 вариант 95, решебник Тарг С.М. 1982 года
Купить
$ 0.61
31.05.2016
1 продажа
Решение задачи К4 В 29, решебник термех Тарг С.М. 1982
Купить
$ 0.79
12.04.2016
1 продажа
Решение задачи Д1 Вариант 99, решебник Тарг С.М. 1983
Купить
$ 0.63
23.05.2017
1 продажа
Решебник Арутюнова Ю.С. Задание N287 Высшая математика
Купить
$ 0.74
13.04.2016
1 продажа
Решение Д9 Вар. 94, решебник термех Тарг С.М. 1983 г.
Купить
$ 0.65

12.08.2020
1 продажа
Решебник Рябушко. Решенный ИДЗ 6.4, Вариант 2
Купить
$ 0.82

19.02.2025
1 продажа
Решебник Рябушко. Решенный ИДЗ 11.1, Вариант 20
Купить
$ 1.16
20.02.2025
1 продажа
Вариант 5 ИДЗ 18.2 Решебник Рябушко часть 4
Купить
$ 1.47
20.02.2025
1 продажа
Вариант 7 ИДЗ 18.2 Решебник Рябушко часть 4
Купить
$ 1.47
21.02.2025
1 продажа
Вариант 17 ИДЗ 12.3 Решебник Рябушко часть 3
Купить
$ 1.57
21.02.2025
1 продажа
Вариант 17 ИДЗ 18.1 Решебник Рябушко часть 4
Купить
$ 1.47

15.01.2017
1 продажа
Вариант 8 ИДЗ 2.2 Решебник Рябушко часть 1
Купить
$ 0.53
20.02.2025
1 продажа
Вариант 7 ИДЗ 2.2 Решебник Рябушко часть 1
Купить
$ 0.69
21.02.2025
1 продажа
Вариант 15 ИДЗ 3.1 Решебник Рябушко часть 1
Купить
$ 0.69
20.02.2025
1 продажа
Вариант 6 ИДЗ 8.1 Решебник Рябушко часть 2
Купить
$ 0.98
21.02.2025
1 продажа
Вариант 14 ИДЗ 13.3 Решебник Рябушко часть 3
Купить
$ 1.18
21.02.2025
1 продажа
Вариант 21 ИДЗ 4.1 Решебник Рябушко часть 1
Купить
$ 1.18

25.08.2016
0 продаж
Привод к вертикальному валу цепного конвейера задание 1
Купить
$ 12
22.12.2017
0 продаж
Диевский В.А. - Решение задачи Д7 вариант 19 задание 2
Купить
$ 0.74
29.04.2018
0 продаж
Математика часть 8,7 заданий,8 вариант с ответами
Купить
$ 2.69

02.08.2020
0 продаж
Вариант 19 ИДЗ 13.3 Решебник Рябушко часть 3
Купить
$ 0.9

02.08.2020
0 продаж
Вариант 16 ИДЗ 10.2 Решебник Рябушко часть 2
Купить
$ 0.9

01.08.2020
0 продаж
Вариант 21 ИДЗ 8.1 Решебник Рябушко часть 2
Купить
$ 0.75

09.09.2020
0 продаж
Вариант 25 ИДЗ 11.3 Решебник Рябушко часть 2
Купить
$ 0.9

21.02.2025
0 продаж
Вариант 17 ИДЗ 2.2 Решебник Рябушко часть 1
Купить
$ 0.69

30.03.2016
0 продаж
Задание К1 вариант 66, решебник Тарг С.М. 1983 года
Купить
$ 0.51
30.03.2016
0 продаж
Задание К1 вариант 67, решебник Тарг С.М. 1983 года
Купить
$ 0.64

12.04.2016
0 продаж
Решение задачи Д1 Вариант 14, решебник Тарг С.М. 1983
Купить
$ 0.5

13.04.2016
0 продаж
Задача Д3 Вариант 60, решебник термех Тарг С.М. 1983 г
Купить
$ 0.53
13.04.2016
0 продаж
Решение Д9 Вар. 34, решебник термех Тарг С.М. 1983 г.
Купить
$ 0.65
13.04.2016
0 продаж
Решение Д9 Вар. 62, решебник термех Тарг С.М. 1983 г.
Купить
$ 0.65
13.04.2016
0 продаж
Решение Д9 Вар. 68, решебник термех Тарг С.М. 1983 г.
Купить
$ 0.65

23.05.2016
0 продаж
Задача С4 вариант 34, решебник термех Тарг С.М. 1982 г
Купить
$ 0.63
31.05.2016
0 продаж
Решение К3 вар. 67, решебник термех Тарг С.М. 1982 г.
Купить
$ 0.79
06.06.2016
0 продаж
Решение задачи Д1 В 92 решебник термех Тарг С.М. 1982
Купить
$ 0.79

20.02.2025
0 продаж
Вариант 5 ИДЗ 16.1 Решебник Рябушко часть 4
Купить
$ 1.18

07.08.2017
0 продаж
Решебник Арутюнова Ю.С. Задание N44 Высшая математика
Купить
$ 0.32

13.08.2017
0 продаж
Решебник Арутюнова Ю.С. Задание N105 Высшая математика
Купить
$ 0.25

25.08.2017
0 продаж
Решебник Арутюнова Ю.С. Задание N229 Высшая математика
Купить
$ 0.33
30.05.2017
0 продаж
Решебник Арутюнова Ю.С. Задание N235 Высшая математика
Купить
$ 0.32

30.05.2017
0 продаж
Решебник Арутюнова Ю.С. Задание N236 Высшая математика
Купить
$ 0.25

31.05.2017
0 продаж
Решебник Арутюнова Ю.С. Задание N247 Высшая математика
Купить
$ 0.41

12.07.2017
0 продаж
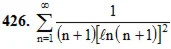
Решебник Арутюнова Ю.С. Задание N426 Высшая математика
Купить
$ 0.16