USSR SHOP »
Магазин » Решебник Арутюнова Ю.С. Задание N396 Высшая математика
Купить Решебник Арутюнова Ю.С. Задание N396 Высшая математика
Обновлено: 2025-10-23 23:35:19
$ 0.32
0 продаж
Всего продаж: 0
✅ Методы оплаты: 





Описание товара:
Готовое решение задачи. Решебник Арутюнова. Задание №396.
391 – 400. Вычислить данные криволинейные интегралы.
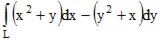
396. Вычислить криволинейный интеграл
вдоль ломаной L = ABC, где A(1; 2), B(1; 5), C(3; 5). Сделать чертеж.
Если у вас похожее задание, прорешаю на заказ, пишите мне http://fizmathim.plati.ru
Подробное решение. Оформлено в Microsoft Word 2003 (Задание решено с использованием редактора формул)
391 – 400. Вычислить данные криволинейные интегралы.
396. Вычислить криволинейный интеграл
вдоль ломаной L = ABC, где A(1; 2), B(1; 5), C(3; 5). Сделать чертеж.
Если у вас похожее задание, прорешаю на заказ, пишите мне http://fizmathim.plati.ru
Подробное решение. Оформлено в Microsoft Word 2003 (Задание решено с использованием редактора формул)
Изображения:
Вас могут заинтересовать:
22.12.2017
5 продаж
Диевский В.А. - Решение задачи Д7 вариант 14 задание 1
Купить
$ 0.74
19.02.2025
5 продаж
Решебник Рябушко. Решенный ИДЗ 18.2, Вариант 17
Купить
$ 1.47

30.08.2016
0 продаж
Привод к ленточному конвейеру, задание 7, вариант 4
Купить
$ 12

31.08.2016
0 продаж
Привод к цепному конвейеру, задание 9, вариант 4
Купить
$ 12

19.02.2013
1 продажа
Высшая математика - 3 задания
Купить
$ 1.95
10.02.2017
3 продажи
Решение К2 вар. 77, решебник теормех Тарг С.М. 1982 г.
Купить
$ 0.79
08.03.2020
3 продажи
Расчетно-графическая работа 3. Задание 2. Вариант 32
Купить
$ 1.45

08.07.2019
0 продаж
Социальная педагогика. Кейс задание 2. Вариант №4.
Купить
$ 3.91

22.07.2021
0 продаж
ТК – 5. Задание. Земельное право.
Купить
$ 3.91

22.07.2021
0 продаж
Документооборот. Практическое задание №3.
Купить
$ 3.91

08.07.2019
0 продаж
Задание 3. Экономика.
Купить
$ 2.44

08.07.2019
0 продаж
Практическое задание 7. УП.
Купить
$ 1.95

09.07.2019
0 продаж
ТК-8. Задание. Налоги.
Купить
$ 1.95

06.07.2017
0 продаж
Задание № 7. Дать краткое описание существующих подхо
Купить
$ 2.47

12.11.2012
0 продаж
Курсовая работа - Математика -Понятие многообразия и др
Купить
$ 239.97
06.06.2016
2 продажи
Решение задачи Д1 В 11, решебник термех Тарг С.М. 1982
Купить
$ 0.79
19.02.2025
2 продажи
Решебник Рябушко. Решенный ИДЗ 4.1, Вариант 17
Купить
$ 1.26
31.05.2016
1 продажа
Решение К3 вар. 66, решебник термех Тарг С.М. 1982 г.
Купить
$ 0.79

31.05.2016
1 продажа
Решение задачи К4 В 84, решебник термех Тарг С.М. 1982
Купить
$ 0.63
21.02.2025
1 продажа
Вариант 12 ИДЗ 13.1 Решебник Рябушко часть 3
Купить
$ 1.37
21.02.2025
1 продажа
Вариант 13 ИДЗ 18.2 Решебник Рябушко часть 4
Купить
$ 1.47
21.02.2025
1 продажа
Вариант 22 ИДЗ 10.1 Решебник Рябушко часть 2
Купить
$ 1.37

21.02.2025
1 продажа
Вариант 26 ИДЗ 18.1 Решебник Рябушко часть 4
Купить
$ 1.47
20.02.2025
1 продажа
Вариант 3 ИДЗ 14.2 Решебник Рябушко часть 3
Купить
$ 0.74
20.02.2025
1 продажа
Вариант 7 ИДЗ 8.3 Решебник Рябушко часть 2
Купить
$ 1.27
20.02.2025
1 продажа
Вариант 7 ИДЗ 11.3 Решебник Рябушко часть 2
Купить
$ 1.18
21.02.2025
1 продажа
Вариант 23 ИДЗ 8.1 Решебник Рябушко часть 2
Купить
$ 0.98
21.02.2025
1 продажа
Вариант 24 ИДЗ 8.3 Решебник Рябушко часть 2
Купить
$ 1.27
21.02.2025
1 продажа
Вариант 26 ИДЗ 9.2 Решебник Рябушко часть 2
Купить
$ 0.98
21.02.2025
1 продажа
Вариант 28 ИДЗ 13.2 Решебник Рябушко часть 3
Купить
$ 1.18
20.02.2012
0 продаж
Дискретна математика - Теорія множин НУ"ЛП" В-12
Купить
$ 0.53
22.12.2017
0 продаж
Диевский В.А. - Решение задачи Д7 вариант 1 задание 2
Купить
$ 0.74
18.05.2018
0 продаж
Диевский В.А. - Решение задачи Д7 вариант 27 задание 2
Купить
$ 0.74
06.02.2023
0 продаж
Задание №29 Учет работы экскурсоводов "Спб Турист"
Купить
$ 2.45

20.05.2019
0 продаж
Решение задачи Д9 В 77, решебник Тарг С.М. 1982 года
Купить
$ 1.97

21.02.2025
0 продаж
Вариант 29 ИДЗ 12.3 Решебник Рябушко часть 3
Купить
$ 1.57

04.09.2020
0 продаж
Индивидуальное задание. Вариант 1. Химия 1.2 (2017) ТПУ
Купить
$ 2

31.07.2020
0 продаж
Вариант 16 ИДЗ 2.2 Решебник Рябушко часть 1
Купить
$ 0.53

13.01.2019
0 продаж
Решение К1 вариант 96, решебник Тарг С.М. 1982 года
Купить
$ 0.61

30.03.2016
0 продаж
Задание К1 вариант 71, решебник Тарг С.М. 1983 года
Купить
$ 0.51

12.04.2016
0 продаж
Решение задачи Д1 Вариант 92, решебник Тарг С.М. 1983
Купить
$ 0.5

13.04.2016
0 продаж
Задача Д3 Вариант 13, решебник термех Тарг С.М. 1983 г
Купить
$ 0.53
13.04.2016
0 продаж
Решение Д9 Вар. 43, решебник термех Тарг С.М. 1983 г.
Купить
$ 0.65
10.02.2017
0 продаж
Решение К2 вар. 34, решебник теормех Тарг С.М. 1982 г.
Купить
$ 0.79

31.05.2016
0 продаж
Решение задачи К4 В 90, решебник термех Тарг С.М. 1982
Купить
$ 0.63

10.02.2017
0 продаж
Решение задачи Д4 В 45, решебник Тарг С.М. 1982 года
Купить
$ 0.63

08.07.2019
0 продаж
Задание 1. Управление проектами.
Купить
$ 1.47

16.08.2017
0 продаж
Решебник Арутюнова Ю.С. Задание N124 Высшая математика
Купить
$ 0.25

23.08.2017
0 продаж
Решебник Арутюнова Ю.С. Задание N192 Высшая математика
Купить
$ 0.33

18.06.2017
0 продаж
Решебник Арутюнова Ю.С. Задание N375 Высшая математика
Купить
$ 0.25