USSR SHOP »
Магазин » Решебник Арутюнова Ю.С. Задание N432 Высшая математика
Купить Решебник Арутюнова Ю.С. Задание N432 Высшая математика
Обновлено: 2025-10-23 23:26:51

$ 0.25
0 продаж
Всего продаж: 0
✅ Методы оплаты: 





Описание товара:
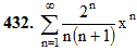
Готовое решение задачи. Решебник Арутюнова. Задание №432.
431 – 440. Найти интервал сходимости степенного ряда.
Если у вас похожее задание, прорешаю на заказ, пишите мне http://fizmathim.plati.ru
Подробное решение. Оформлено в Microsoft Word 2003 (Задание решено с использованием редактора формул)
431 – 440. Найти интервал сходимости степенного ряда.
Если у вас похожее задание, прорешаю на заказ, пишите мне http://fizmathim.plati.ru
Подробное решение. Оформлено в Microsoft Word 2003 (Задание решено с использованием редактора формул)
Изображения:
Вас могут заинтересовать:
14.01.2019
14 продаж
Расчетно-графическая работа 3. Задание 2. Вариант 7
Купить
$ 1.45
11.01.2016
5 продаж
Решение задачи Д7 (задание 1) Вариант 23 Диевский В.А.
Купить
$ 0.79

08.08.2016
2 продажи
Основы трудового законодательства. Задание 2.
Купить
$ 2.44
14.03.2016
6 продаж
Решение задачи Д3 (задание 1) Вариант 26 Диевский В.А.
Купить
$ 0.79

09.10.2018
0 продаж
Управление малым бизнесом. Задание 2.
Купить
$ 3.42

07.07.2022
0 продаж
Физиология. Задание 3.
Купить
$ 3.79

29.03.2018
0 продаж
Русский язык. Задание №2. Анализ текста.
Купить
$ 2.93

09.10.2018
0 продаж
Сравнение правовых систем. Задание 1.
Купить
$ 7.35

12.11.2012
0 продаж
Курсовая работа - Математика -Понятие многообразия и др
Купить
$ 239.97
13.04.2016
2 продажи
Решение Д9 Вар. 73, решебник термех Тарг С.М. 1983 г.
Купить
$ 0.65
19.02.2025
2 продажи
Решебник Рябушко. Решенный ИДЗ 19.1, Вариант 17
Купить
$ 1.37
30.03.2016
1 продажа
Задача С2 вариант 99, решебник Тарг С.М. 1983 г.
Купить
$ 1.11
27.04.2016
1 продажа
Решение Д7 В79, решебник по термеху Тарг С.М. 1982 г.
Купить
$ 0.79
12.04.2016
1 продажа
Решение задачи Д1 Вариант 33, решебник Тарг С.М. 1983
Купить
$ 0.63

16.01.2017
1 продажа
Вариант 16 ИДЗ 19.2 Решебник Рябушко часть 4
Купить
$ 0.94

15.06.2020
1 продажа
Решебник Рябушко. Решенный ИДЗ 2.2, Вариант 9
Купить
$ 0.57
19.02.2025
1 продажа
Решебник Рябушко. Решенный ИДЗ 6.2, Вариант 18
Купить
$ 1.26

09.02.2017
1 продажа
Решение задачи Д8 В93, решебник Тарг С.М. 1983 года
Купить
$ 1.03

15.01.2017
1 продажа
Вариант 5 ИДЗ 12.1 Решебник Рябушко часть 3
Купить
$ 1.05
20.02.2025
1 продажа
Вариант 9 ИДЗ 6.1 Решебник Рябушко часть 1
Купить
$ 1.57
20.02.2025
1 продажа
Вариант 10 ИДЗ 8.4 Решебник Рябушко часть 2
Купить
$ 1.57
21.02.2025
1 продажа
Вариант 27 ИДЗ 18.1 Решебник Рябушко часть 4
Купить
$ 1.47
20.02.2025
1 продажа
Вариант 8 ИДЗ 11.2 Решебник Рябушко часть 2
Купить
$ 1.18
20.02.2025
1 продажа
Вариант 9 ИДЗ 11.3 Решебник Рябушко часть 2
Купить
$ 1.18
20.02.2025
1 продажа
Вариант 5 ИДЗ 15.1 Решебник Рябушко часть 3
Купить
$ 1.18
20.02.2025
1 продажа
Вариант 3 ИДЗ 13.3 Решебник Рябушко часть 3
Купить
$ 1.18
20.02.2025
1 продажа
Вариант 9 ИДЗ 10.2 Решебник Рябушко часть 2
Купить
$ 1.18
21.02.2025
1 продажа
Вариант 16 ИДЗ 8.2 Решебник Рябушко часть 2
Купить
$ 1.27
21.02.2025
1 продажа
Вариант 25 ИДЗ 10.2 Решебник Рябушко часть 2
Купить
$ 1.18
13.04.2021
1 продажа
Решение задачи Д3 вариант 29 задание 2 - Диевский В.А.
Купить
$ 0.74
13.04.2021
1 продажа
Решение задачи Д3 вариант 21 задание 2 - Диевский В.А.
Купить
$ 0.73
13.04.2021
1 продажа
Решение задачи Д3 вариант 5 задание 2 - Диевский В.А.
Купить
$ 0.74

25.08.2016
0 продаж
Привод к вертикальному валу цепного конвейера задание 1
Купить
$ 12
18.05.2018
1 продажа
Диевский В.А. - Решение задачи Д7 вариант 29 задание 1
Купить
$ 0.73

15.01.2017
0 продаж
Решебник Кузнецова Л.А. Дифференцирование - Вариант 03
Купить
$ 2.06

02.08.2020
0 продаж
Вариант 24 ИДЗ 10.2 Решебник Рябушко часть 2
Купить
$ 0.9

02.08.2020
0 продаж
Вариант 20 ИДЗ 14.1 Решебник Рябушко часть 3
Купить
$ 0.83

21.02.2025
0 продаж
Вариант 18 ИДЗ 2.2 Решебник Рябушко часть 1
Купить
$ 0.69

21.02.2025
0 продаж
Вариант 19 ИДЗ 8.1 Решебник Рябушко часть 2
Купить
$ 0.98

21.02.2025
0 продаж
Вариант 21 ИДЗ 5.1 Решебник Рябушко часть 1
Купить
$ 1.18

02.08.2020
0 продаж
Вариант 22 ИДЗ 10.2 Решебник Рябушко часть 2
Купить
$ 0.9

12.04.2016
0 продаж
Решение задачи Д1 Вариант 17, решебник Тарг С.М. 1983
Купить
$ 0.5

13.04.2016
0 продаж
Задача Д3 Вариант 30, решебник термех Тарг С.М. 1983 г
Купить
$ 0.53
23.05.2016
0 продаж
Решение С5 вар. 31, решебник теормех Тарг С.М. 1982 г.
Купить
$ 0.79
31.05.2016
0 продаж
Решение задачи К4 В 39, решебник термех Тарг С.М. 1982
Купить
$ 0.79
06.06.2016
0 продаж
Решение задачи Д1 В 86 решебник термех Тарг С.М. 1982
Купить
$ 0.79

01.08.2017
2 продажи
Решебник Арутюнова Ю.С. Задание N461 Высшая математика
Купить
$ 0.42

03.06.2017
0 продаж
Решебник Арутюнова Ю.С. Задание N260 Высшая математика
Купить
$ 0.33

04.06.2017
0 продаж
Решебник Арутюнова Ю.С. Задание N264 Высшая математика
Купить
$ 0.25
17.04.2018
0 продаж
РГР: В.Н.КУНИН А.Ф.ГАЛКИН 2007Г. ЗАДАНИЕ 2.35
Купить
$ 0.24