USSR SHOP »
Магазин » Решебник Арутюнова Ю.С. Задание N440 Высшая математика
Купить Решебник Арутюнова Ю.С. Задание N440 Высшая математика
Обновлено: 2025-10-23 19:08:27

$ 0.25
0 продаж
Всего продаж: 0
✅ Методы оплаты: 





Описание товара:
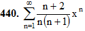
Готовое решение задачи. Решебник Арутюнова. Задание №440.
431 – 440. Найти интервал сходимости степенного ряда.
Если у вас похожее задание, прорешаю на заказ, пишите мне http://fizmathim.plati.ru
Подробное решение. Оформлено в Microsoft Word 2003 (Задание решено с использованием редактора формул)
431 – 440. Найти интервал сходимости степенного ряда.
Если у вас похожее задание, прорешаю на заказ, пишите мне http://fizmathim.plati.ru
Подробное решение. Оформлено в Microsoft Word 2003 (Задание решено с использованием редактора формул)
Изображения:
Вас могут заинтересовать:
14.03.2016
16 продаж
Решение задачи Д3 (задание 1) Вариант 29 Диевский В.А
Купить
$ 0.79

22.07.2021
1 продажа
Документооборот. Практическое задание №2.
Купить
$ 4.88

09.10.2018
0 продаж
ТК-5 задание.
Купить
$ 4.39

10.04.2017
0 продаж
Сетевая экономика. Кейс задание.
Купить
$ 4.88
05.09.2018
2 продажи
Диевский В.А. - Решение задачи Д4 вариант 26 задание 2
Купить
$ 0.74
10.02.2017
1 продажа
Решение К2 вар. 27, решебник теормех Тарг С.М. 1982 г.
Купить
$ 0.79
06.06.2016
1 продажа
Решение задачи Д1 В 14, решебник термех Тарг С.М. 1982
Купить
$ 0.79

13.01.2019
1 продажа
Решение К1 вариант 75, решебник Тарг С.М. 1982 года
Купить
$ 0.61
31.05.2016
1 продажа
Решение задачи К4 В 27, решебник термех Тарг С.М. 1982
Купить
$ 0.79
10.02.2017
1 продажа
Решение К2 вар. 58, решебник теормех Тарг С.М. 1982 г.
Купить
$ 0.79

12.04.2016
1 продажа
Решение задачи Д1 Вариант 48, решебник Тарг С.М. 1983
Купить
$ 0.5
19.02.2025
1 продажа
Решебник Рябушко. Решенный ИДЗ 19.1, Вариант 16
Купить
$ 1.37
19.02.2025
1 продажа
Решебник Рябушко. Решенный ИДЗ 19.2, Вариант 27
Купить
$ 1.37
20.02.2025
1 продажа
Вариант 1 ИДЗ 18.2 Решебник Рябушко часть 4
Купить
$ 1.47

15.01.2017
1 продажа
Вариант 5 ИДЗ 12.2 Решебник Рябушко часть 3
Купить
$ 1.2
21.02.2025
1 продажа
Вариант 17 ИДЗ 6.2 Решебник Рябушко часть 1
Купить
$ 1.37
21.02.2025
1 продажа
Вариант 18 ИДЗ 13.1 Решебник Рябушко часть 3
Купить
$ 1.37
20.02.2025
1 продажа
Вариант 9 ИДЗ 9.2 Решебник Рябушко часть 2
Купить
$ 0.98
20.02.2025
1 продажа
Вариант 10 ИДЗ 4.1 Решебник Рябушко часть 1
Купить
$ 1.18
20.02.2025
1 продажа
Вариант 10 ИДЗ 9.2 Решебник Рябушко часть 2
Купить
$ 0.98
21.02.2025
1 продажа
Вариант 11 ИДЗ 14.2 Решебник Рябушко часть 3
Купить
$ 0.74
21.02.2025
1 продажа
Вариант 13 ИДЗ 13.3 Решебник Рябушко часть 3
Купить
$ 1.18
21.02.2025
1 продажа
Вариант 14 ИДЗ 14.1 Решебник Рябушко часть 3
Купить
$ 1.08
21.02.2025
1 продажа
Вариант 16 ИДЗ 11.2 Решебник Рябушко часть 2
Купить
$ 1.18
21.02.2025
1 продажа
Вариант 19 ИДЗ 1.2 Решебник Рябушко часть 1
Купить
$ 0.98
21.02.2025
1 продажа
Вариант 21 ИДЗ 10.2 Решебник Рябушко часть 2
Купить
$ 1.18
21.02.2025
1 продажа
Вариант 26 ИДЗ 10.2 Решебник Рябушко часть 2
Купить
$ 1.18
21.02.2025
1 продажа
Вариант 29 ИДЗ 3.1 Решебник Рябушко часть 1
Купить
$ 0.69
21.02.2025
1 продажа
Вариант 29 ИДЗ 8.3 Решебник Рябушко часть 2
Купить
$ 1.27
13.01.2019
0 продаж
Решение Д6 В38, решебник по термеху Тарг С.М. 1982 г.
Купить
$ 1.92

16.01.2017
0 продаж
Решебник Кузнецова Л.А. Дифференцирование - Вариант 30
Купить
$ 1.64

02.09.2020
0 продаж
Индивидуальное задание. вариант 1. Введение в инженерну
Купить
$ 2

12.08.2020
0 продаж
Вариант 22 ИДЗ 6.4 Решебник Рябушко часть 1
Купить
$ 0.83

21.02.2025
0 продаж
Вариант 20 ИДЗ 11.2 Решебник Рябушко часть 2
Купить
$ 1.18

21.02.2025
0 продаж
Вариант 21 ИДЗ 11.2 Решебник Рябушко часть 2
Купить
$ 1.18

02.08.2020
0 продаж
Вариант 25 ИДЗ 10.2 Решебник Рябушко часть 2
Купить
$ 0.9
13.01.2019
0 продаж
Решение К1 вариант 27, решебник Тарг С.М. 1982 года
Купить
$ 0.77
13.01.2019
0 продаж
Решение Д6 В18, решебник по термеху Тарг С.М. 1982 г.
Купить
$ 1.12

30.03.2016
0 продаж
Задание К1 вариант 08, решебник Тарг С.М. 1983 года
Купить
$ 0.51

30.03.2016
0 продаж
Задание К1 вариант 56, решебник Тарг С.М. 1983 года
Купить
$ 0.51

12.04.2016
0 продаж
Решение задачи Д1 Вариант 27, решебник Тарг С.М. 1983
Купить
$ 0.5

12.04.2016
0 продаж
Решение задачи Д1 Вариант 36, решебник Тарг С.М. 1983
Купить
$ 0.5

23.05.2016
0 продаж
Задача С4 вариант 13, решебник термех Тарг С.М. 1982 г
Купить
$ 0.63
23.05.2016
0 продаж
Решение С5 вар. 06, решебник теормех Тарг С.М. 1982 г.
Купить
$ 0.79
06.06.2016
0 продаж
Решение задачи Д1 В 30 решебник термех Тарг С.М. 1982
Купить
$ 0.79

10.02.2017
0 продаж
Решение задачи Д4 В 32, решебник Тарг С.М. 1982 года
Купить
$ 0.63

10.02.2017
0 продаж
Решение задачи Д4 В 41, решебник Тарг С.М. 1982 года
Купить
$ 0.63

09.03.2019
7 продаж
Вопросы Математика Синергия
Купить
$ 0.1
09.12.2016
1 продажа
Решебник Арутюнова Ю.С. Задание N568 Высшая математика
Купить
$ 0.21

19.08.2017
0 продаж
Решебник Арутюнова Ю.С. Задание N161 Высшая математика
Купить
$ 0.25