USSR SHOP »
Магазин » Решебник Арутюнова Ю.С. Задание N445 Высшая математика
Купить Решебник Арутюнова Ю.С. Задание N445 Высшая математика
Обновлено: 2025-10-23 17:42:53
$ 0.32
0 продаж
Всего продаж: 0
✅ Методы оплаты: 





Описание товара:
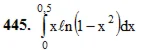
Готовое решение задачи. Решебник Арутюнова. Задание №445.
441 – 450. Вычислить определенный интеграл с точностью до 0,001, разложив подынтегральную функцию в ряд и затем проинтегрировав его почленно.
Если у вас похожее задание, прорешаю на заказ, пишите мне http://fizmathim.plati.ru
Подробное решение. Оформлено в Microsoft Word 2003 (Задание решено с использованием редактора формул)
441 – 450. Вычислить определенный интеграл с точностью до 0,001, разложив подынтегральную функцию в ряд и затем проинтегрировав его почленно.
Если у вас похожее задание, прорешаю на заказ, пишите мне http://fizmathim.plati.ru
Подробное решение. Оформлено в Microsoft Word 2003 (Задание решено с использованием редактора формул)
Изображения:
Вас могут заинтересовать:

14.01.2019
13 продаж
Расчетно-графическая работа 3. Задание 1. Вариант 19
Купить
$ 1.15
03.05.2016
7 продаж
Решение задачи Д7 (задание 2) Вариант 15 Диевский В.А.
Купить
$ 1.11

16.08.2019
2 продажи
Задание 1. Исполнительное производство.
Купить
$ 2.93

09.07.2019
2 продажи
ТК-1. Задание. Аудит.
Купить
$ 2.44
14.03.2016
4 продажи
Решение задачи Д3 (задание 2) Вариант 29 Диевский В.А.
Купить
$ 0.79

16.08.2019
1 продажа
Кейс задание. Исследование операций.
Купить
$ 3.91

19.01.2020
0 продаж
Менеджмент качества. Задание.
Купить
$ 3.91

09.10.2018
0 продаж
ТК-14 задание.
Купить
$ 3.91

22.07.2021
0 продаж
Документооборот. Практическое задание №4.
Купить
$ 4.88

27.10.2018
0 продаж
Задание 2. Психология коллектива.
Купить
$ 3.7

19.02.2025
2 продажи
Решебник Рябушко. Решенный ИДЗ 11.4, Вариант 3
Купить
$ 1.16

28.06.2016
0 продаж
Управление человеческими ресурсами задание
Купить
$ 1.46
10.02.2017
1 продажа
Решение К2 вар. 04, решебник теормех Тарг С.М. 1982 г.
Купить
$ 0.79

13.04.2016
1 продажа
Задача Д3 Вариант 69, решебник термех Тарг С.М. 1983 г
Купить
$ 0.53

06.04.2016
1 продажа
Решение Д6 В48, решебник термех Тарг С.М. 1983 года
Купить
$ 1.03
19.02.2025
1 продажа
Решебник Рябушко. Решенный ИДЗ 12.2, Вариант 21
Купить
$ 1.47
20.02.2025
1 продажа
Вариант 4 ИДЗ 18.1 Решебник Рябушко часть 4
Купить
$ 1.47
09.07.2020
1 продажа
Вариант 8 ИДЗ 6.2 Решебник Рябушко часть 1
Купить
$ 1.37
21.02.2025
1 продажа
Вариант 22 ИДЗ 12.2 Решебник Рябушко часть 3
Купить
$ 1.57

12.08.2020
1 продажа
Вариант 9 ИДЗ 6.4 Решебник Рябушко часть 1
Купить
$ 0.83
20.02.2025
1 продажа
Вариант 10 ИДЗ 14.1 Решебник Рябушко часть 3
Купить
$ 1.08
21.02.2025
1 продажа
Вариант 12 ИДЗ 8.2 Решебник Рябушко часть 2
Купить
$ 1.27
21.02.2025
1 продажа
Вариант 15 ИДЗ 5.1 Решебник Рябушко часть 1
Купить
$ 1.18
21.02.2025
1 продажа
Вариант 20 ИДЗ 3.1 Решебник Рябушко часть 1
Купить
$ 0.69
21.02.2025
1 продажа
Вариант 20 ИДЗ 5.1 Решебник Рябушко часть 1
Купить
$ 1.18
21.02.2025
1 продажа
Вариант 23 ИДЗ 8.1 Решебник Рябушко часть 2
Купить
$ 0.98
21.02.2025
1 продажа
Вариант 25 ИДЗ 9.2 Решебник Рябушко часть 2
Купить
$ 0.98
21.02.2025
1 продажа
Вариант 28 ИДЗ 3.1 Решебник Рябушко часть 1
Купить
$ 0.69
13.04.2021
1 продажа
Решение задачи Д3 вариант 21 задание 2 - Диевский В.А.
Купить
$ 0.74
13.04.2021
1 продажа
Решение задачи Д3 вариант 16 задание 1 - Диевский В.А.
Купить
$ 0.74
13.04.2021
1 продажа
Решение задачи Д3 вариант 17 задание 1 - Диевский В.А.
Купить
$ 0.74

13.01.2019
0 продаж
Решение Д6 В46, решебник по термеху Тарг С.М. 1982 г.
Купить
$ 1.51

01.08.2020
0 продаж
Вариант 20 ИДЗ 5.1 Решебник Рябушко часть 1
Купить
$ 0.9

31.07.2020
0 продаж
Вариант 25 ИДЗ 1.2 Решебник Рябушко часть 1
Купить
$ 0.75
13.01.2019
0 продаж
Решение К1 вариант 23, решебник Тарг С.М. 1982 года
Купить
$ 0.77
30.03.2016
0 продаж
Задание К1 вариант 50, решебник Тарг С.М. 1983 года
Купить
$ 0.65
30.03.2016
0 продаж
Задание К1 вариант 61, решебник Тарг С.М. 1983 года
Купить
$ 0.64

13.04.2016
0 продаж
Задача Д3 Вариант 84, решебник термех Тарг С.М. 1983 г
Купить
$ 0.53

13.04.2016
0 продаж
Задача Д3 Вариант 93, решебник термех Тарг С.М. 1983 г
Купить
$ 0.53
13.04.2016
0 продаж
Решение Д9 Вар. 09, решебник термех Тарг С.М. 1983 г.
Купить
$ 0.65
13.04.2016
0 продаж
Решение Д9 Вар. 70, решебник термех Тарг С.М. 1983 г.
Купить
$ 0.65

23.05.2016
0 продаж
Задача С4 вариант 02, решебник термех Тарг С.М. 1982 г
Купить
$ 0.63
06.06.2016
0 продаж
Решение задачи Д1 В 19, решебник термех Тарг С.М. 1982
Купить
$ 0.79
06.06.2016
0 продаж
Решение задачи Д1 В 41 решебник термех Тарг С.М. 1982
Купить
$ 0.79

04.11.2016
0 продаж
Тест Математика и информатика
Купить
$ 1.11

09.08.2017
1 продажа
Решебник Арутюнова Ю.С. Задание N62 Высшая математика
Купить
$ 0.25

21.06.2017
2 продажи
Решебник Арутюнова Ю.С. Задание N381 Высшая математика
Купить
$ 0.25

29.05.2017
0 продаж
Решебник Арутюнова Ю.С. Задание N274 Высшая математика
Купить
$ 0.25

30.07.2017
0 продаж
Решебник Арутюнова Ю.С. Задание N460 Высшая математика
Купить
$ 0.25

09.12.2016
0 продаж
Решебник Арутюнова Ю.С. Задание N572 Высшая математика
Купить
$ 0.16