USSR SHOP »
Магазин » Решебник Арутюнова Ю.С. Задание N544 Высшая математика
Купить Решебник Арутюнова Ю.С. Задание N544 Высшая математика
Обновлено: 2026-02-07 19:00:27
$ 0.32
1 продажа
Всего продаж: 1
✅ Методы оплаты: 







Описание товара:
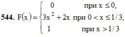
Готовое решение задачи. Решебник Арутюнова. Задание №544.
541-550. Случайная величина X задана функцией распределения F(x). Найти плотность распределения вероятностей, математическое ожидание и дисперсию случайной величины.
Если у вас похожее задание, прорешаю на заказ, пишите мне http://fizmathim.plati.ru
Подробное решение. Оформлено в Microsoft Word 2003 (Задание решено с использованием редактора формул)
541-550. Случайная величина X задана функцией распределения F(x). Найти плотность распределения вероятностей, математическое ожидание и дисперсию случайной величины.
Если у вас похожее задание, прорешаю на заказ, пишите мне http://fizmathim.plati.ru
Подробное решение. Оформлено в Microsoft Word 2003 (Задание решено с использованием редактора формул)
Изображения:
Вас могут заинтересовать:
14.03.2016
25 продаж
Решение задачи Д3 (задание 1) Вариант 14 Диевский В.А.
Купить
$ 0.83
14.03.2016
20 продаж
Решение задачи Д3 (задание 1) Вариант 16 Диевский В.А.
Купить
$ 0.83
14.03.2016
11 продаж
Решение задачи Д3 (задание 2) Вариант 13 Диевский В.А.
Купить
$ 0.83
08.01.2016
10 продаж
Решение задачи Д4 (задание 1) Вариант 15 Диевский В.А.
Купить
$ 0.82
01.12.2017
3 продажи
Задание. ЖЦТ продукта и услуги.
Купить
$ 5.08
12.01.2017
4 продажи
Решебник Кузнецова Л.А. Линейная алгебра - Вариант 19
Купить
$ 1.66
10.07.2019
1 продажа
Кейс задание №2. Вариант №1. Основы ГМУ.
Купить
$ 5.28
01.12.2017
0 продаж
Кейс-задание №2. Информатика в экономике.
Купить
$ 4.46
01.12.2017
0 продаж
БУ в банках. Задание 2.3.
Купить
$ 8.31
22.07.2021
0 продаж
Практическое задание №1. Документооборот.
Купить
$ 6.53
29.07.2016
0 продаж
ЗАДАНИЕ №1. Раздел «Система работы с персоналом»
Купить
$ 2.56
19.02.2025
2 продажи
Решебник Рябушко. Решенный ИДЗ 11.2, Вариант 13
Купить
$ 1.18
30.01.2017
1 продажа
Решение Д3 В07, решебник по термеху Тарг С.М. 1982 г.
Купить
$ 2.32
23.05.2016
1 продажа
Задача С4 вариант 59, решебник термех Тарг С.М. 1982 г
Купить
$ 0.83
31.05.2016
1 продажа
Решение задачи К4 В 63, решебник термех Тарг С.М. 1982
Купить
$ 0.84
06.06.2016
1 продажа
Решение задачи Д1 В 70 решебник термех Тарг С.М. 1982
Купить
$ 0.84
19.02.2025
1 продажа
Решебник Рябушко. Решенный ИДЗ 12.3, Вариант 8
Купить
$ 1.5
21.02.2025
1 продажа
Вариант 15 ИДЗ 8.4 Решебник Рябушко часть 2
Купить
$ 1.6
21.02.2025
1 продажа
Вариант 24 ИДЗ 6.3 Решебник Рябушко часть 1
Купить
$ 1.6
21.02.2025
1 продажа
Вариант 24 ИДЗ 8.4 Решебник Рябушко часть 2
Купить
$ 1.6
20.02.2025
1 продажа
Вариант 5 ИДЗ 10.2 Решебник Рябушко часть 2
Купить
$ 1.2
20.02.2025
1 продажа
Вариант 2 ИДЗ 6.4 Решебник Рябушко часть 1
Купить
$ 1.1
20.02.2025
1 продажа
Вариант 9 ИДЗ 2.1 Решебник Рябушко часть 1
Купить
$ 0.7
20.02.2025
1 продажа
Вариант 9 ИДЗ 5.1 Решебник Рябушко часть 1
Купить
$ 1.2
21.02.2025
1 продажа
Вариант 15 ИДЗ 14.1 Решебник Рябушко часть 3
Купить
$ 1.1
21.02.2025
1 продажа
Вариант 20 ИДЗ 3.1 Решебник Рябушко часть 1
Купить
$ 0.7
21.02.2025
1 продажа
Вариант 22 ИДЗ 13.3 Решебник Рябушко часть 3
Купить
$ 1.2
21.02.2025
1 продажа
Вариант 24 ИДЗ 11.4 Решебник Рябушко часть 2
Купить
$ 1.2
21.02.2025
1 продажа
Вариант 25 ИДЗ 5.1 Решебник Рябушко часть 1
Купить
$ 1.2
22.12.2017
0 продаж
Диевский В.А. - Решение задачи Д7 вариант 1 задание 2
Купить
$ 0.78
02.03.2022
0 продаж
Продуктивное задание №4
Купить
$ 6.39
14.01.2017
0 продаж
Решебник Кузнецова Л.А. Ряды - Вариант 28
Купить
$ 2.21
16.01.2017
0 продаж
Решебник Кузнецова Л.А. Дифференцирование - Вариант 31
Купить
$ 2.18
21.02.2025
0 продаж
Вариант 20 ИДЗ 15.2 Решебник Рябушко часть 3
Купить
$ 1.2
21.02.2025
0 продаж
Вариант 19 ИДЗ 13.3 Решебник Рябушко часть 3
Купить
$ 1.2
21.02.2025
0 продаж
Вариант 17 ИДЗ 11.3 Решебник Рябушко часть 2
Купить
$ 1.2
21.02.2025
0 продаж
Вариант 22 ИДЗ 13.2 Решебник Рябушко часть 3
Купить
$ 1.2
21.07.2013
0 продаж
Оскар Хаммер. "Реальное задание"
Купить
$ 0.65
12.04.2016
0 продаж
Решение задачи Д1 Вариант 24, решебник Тарг С.М. 1983
Купить
$ 0.67
13.04.2016
0 продаж
Задача Д3 Вариант 53, решебник термех Тарг С.М. 1983 г
Купить
$ 0.7
13.04.2016
0 продаж
Задача Д3 Вариант 96, решебник термех Тарг С.М. 1983 г
Купить
$ 0.72
28.04.2016
0 продаж
Решение Д7 В86, решебник по термеху Тарг С.М. 1982 г.
Купить
$ 0.84
23.05.2016
0 продаж
Решение С5 вар. 05, решебник теормех Тарг С.М. 1982 г.
Купить
$ 0.83
23.05.2016
0 продаж
Решение С5 вар. 73, решебник теормех Тарг С.М. 1982 г.
Купить
$ 0.84
31.05.2016
0 продаж
Решение задачи К4 В 09, решебник термех Тарг С.М. 1982
Купить
$ 0.83
31.05.2016
0 продаж
Решение задачи К4 В 94, решебник термех Тарг С.М. 1982
Купить
$ 0.84
17.08.2017
0 продаж
Решебник Арутюнова Ю.С. Задание N149 Высшая математика
Купить
$ 0.64
20.02.2025
0 продаж
Вариант 4 ИДЗ 16.2 Решебник Рябушко часть 4
Купить
$ 1.2
17.06.2017
0 продаж
Решебник Арутюнова Ю.С. Задание N367 Высшая математика
Купить
$ 0.33
10.12.2016
1 продажа
Решебник Арутюнова Ю.С. Задание N547 Высшая математика
Купить
$ 0.32