USSR SHOP »
Магазин » Решебник Арутюнова Ю.С. Задание N563 Высшая математика
Купить Решебник Арутюнова Ю.С. Задание N563 Высшая математика
Обновлено: 2025-10-24 00:30:28
$ 0.21
0 продаж
Всего продаж: 0
✅ Методы оплаты: 





Описание товара:
Готовое решение задачи. Решебник Арутюнова. Задание №563.
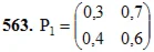
561-570. Задана матрица P1 вероятностей перехода цепи Маркова из состояния i (i = 1, 2) в состояние j (j = 1, 2) за один шаг. Найти матрицу P2 перехода из состояния i в состояние j за два шага.
Если у вас похожее задание, прорешаю на заказ, пишите мне http://fizmathim.plati.ru
Подробное решение. Оформлено в Microsoft Word 2003 (Задание решено с использованием редактора формул)
561-570. Задана матрица P1 вероятностей перехода цепи Маркова из состояния i (i = 1, 2) в состояние j (j = 1, 2) за один шаг. Найти матрицу P2 перехода из состояния i в состояние j за два шага.
Если у вас похожее задание, прорешаю на заказ, пишите мне http://fizmathim.plati.ru
Подробное решение. Оформлено в Microsoft Word 2003 (Задание решено с использованием редактора формул)
Изображения:
Вас могут заинтересовать:

14.01.2010
0 продаж
Математика РФЭИ 3 контрольные + 3 лабораторные работы
Купить
$ 14

14.06.2013
4 продажи
Самостоятельная работа РФЭИ Математика №2 20 задании
Купить
$ 2.2

08.08.2016
2 продажи
Основы трудового законодательства. Задание 2.
Купить
$ 2.44
25.05.2016
3 продажи
Решение задачи Д7 (задание 2) Вариант 27 Диевский В.А.
Купить
$ 1.12

10.01.2017
0 продаж
Кейс задание 2 - Экономика. 2 ситуации. Вариант №2.
Купить
$ 4.9

06.07.2017
0 продаж
Учет и бюджетирование. Кейс задание №2. Вариант №5.
Купить
$ 3.42

09.10.2018
0 продаж
ТК-8 задание.
Купить
$ 2.93

10.01.2017
0 продаж
Кейс задание проектный практикум
Купить
$ 7.35

02.03.2022
0 продаж
Финансы. Задание №3
Купить
$ 1.95

21.02.2025
2 продажи
Вариант 16 ИДЗ 13.2 Решебник Рябушко часть 3
Купить
$ 1.18
31.05.2016
1 продажа
Решение К3 вар. 25, решебник термех Тарг С.М. 1982 г.
Купить
$ 0.79

24.03.2016
1 продажа
Решение К1 вариант 30, решебник Тарг С.М. 1982 года
Купить
$ 0.61

10.02.2017
1 продажа
Решение задачи Д4 В 48, решебник Тарг С.М. 1982 года
Купить
$ 0.79

09.02.2017
1 продажа
Решение задачи Д8 В93, решебник Тарг С.М. 1983 года
Купить
$ 1.03
20.02.2025
1 продажа
Вариант 10 ИДЗ 18.1 Решебник Рябушко часть 4
Купить
$ 1.47
21.02.2025
1 продажа
Вариант 13 ИДЗ 18.1 Решебник Рябушко часть 4
Купить
$ 1.47
20.02.2025
1 продажа
Вариант 3 ИДЗ 13.3 Решебник Рябушко часть 3
Купить
$ 1.18
20.02.2025
1 продажа
Вариант 10 ИДЗ 8.3 Решебник Рябушко часть 2
Купить
$ 1.27
21.02.2025
1 продажа
Вариант 15 ИДЗ 9.1 Решебник Рябушко часть 2
Купить
$ 1.27
21.02.2025
1 продажа
Вариант 18 ИДЗ 14.2 Решебник Рябушко часть 3
Купить
$ 0.74
21.02.2025
1 продажа
Вариант 22 ИДЗ 9.1 Решебник Рябушко часть 2
Купить
$ 1.27
21.02.2025
1 продажа
Вариант 23 ИДЗ 5.1 Решебник Рябушко часть 1
Купить
$ 1.18
21.02.2025
1 продажа
Вариант 23 ИДЗ 9.2 Решебник Рябушко часть 2
Купить
$ 0.98
06.11.2018
1 продажа
Контрольно-курсовое задание Организационное поведение
Купить
$ 12.23
09.10.2022
1 продажа
Решение задачи Д3 вариант 1 задание 2 - Диевский В.А.
Купить
$ 0.73
20.02.2012
0 продаж
Дискретна математика - Теорія множин НУ"ЛП" В-24
Купить
$ 0.53

14.11.2016
0 продаж
Математика (2)(ОЮИ)
Купить
$ 1.21
22.12.2017
0 продаж
Диевский В.А. - Решение задачи Д7 вариант 17 задание 2
Купить
$ 0.74

10.02.2017
0 продаж
Решение задачи Д8 В59, решебник Тарг С.М. 1983 года
Купить
$ 1.99

16.01.2017
0 продаж
Решебник Кузнецова Л.А. Дифференцирование - Вариант 14
Купить
$ 1.64

30.10.2020
0 продаж
Вариант 18 ИДЗ 9.1 Решебник Рябушко часть 2
Купить
$ 0.98

21.02.2025
0 продаж
Вариант 24 ИДЗ 15.2 Решебник Рябушко часть 3
Купить
$ 1.18

24.03.2016
0 продаж
Решение К1 вариант 34, решебник Тарг С.М. 1982 года
Купить
$ 0.61
24.03.2016
0 продаж
Решение К1 вариант 56, решебник Тарг С.М. 1982 года
Купить
$ 0.77

30.03.2016
0 продаж
Задание К1 вариант 10, решебник Тарг С.М. 1983 года
Купить
$ 0.51

30.03.2016
0 продаж
Задание К1 вариант 81, решебник Тарг С.М. 1983 года
Купить
$ 0.51

30.03.2016
0 продаж
Задание К1 вариант 89, решебник Тарг С.М. 1983 года
Купить
$ 0.51

12.04.2016
0 продаж
Решение задачи Д1 Вариант 96, решебник Тарг С.М. 1983
Купить
$ 0.5

13.04.2016
0 продаж
Задача Д3 Вариант 03, решебник термех Тарг С.М. 1983 г
Купить
$ 0.53

13.04.2016
0 продаж
Задача Д3 Вариант 43, решебник термех Тарг С.М. 1983 г
Купить
$ 0.53

31.05.2016
0 продаж
Решение задачи К4 В 71, решебник термех Тарг С.М. 1982
Купить
$ 0.63

06.06.2016
0 продаж
Решение задачи Д1 В 34 решебник термех Тарг С.М. 1982
Купить
$ 0.63
06.06.2016
0 продаж
Решение задачи Д1 В 83 решебник термех Тарг С.М. 1982
Купить
$ 0.79
06.06.2016
0 продаж
Решение задачи Д1 В 99 решебник термех Тарг С.М. 1982
Купить
$ 0.79

17.05.2017
3 продажи
Решебник Арутюнова Ю.С. Задание N308 Высшая математика
Купить
$ 0.16

13.08.2017
0 продаж
Решебник Арутюнова Ю.С. Задание N102 Высшая математика
Купить
$ 0.25

20.08.2017
0 продаж
Решебник Арутюнова Ю.С. Задание N177 Высшая математика
Купить
$ 0.25

17.05.2017
0 продаж
Решебник Арутюнова Ю.С. Задание N306 Высшая математика
Купить
$ 0.16

23.05.2020
0 продаж
Решение задачи № 12 из Сборника под ред. Арутюнова Ю.С.
Купить
$ 0.55

18.09.2011
3 продажи
Математика часть 2 Контрольная МЭИ
Купить
$ 0.78