USSR SHOP »
Магазин » Решебник Арутюнова Ю.С. Задание N569 Высшая математика
Купить Решебник Арутюнова Ю.С. Задание N569 Высшая математика
Обновлено: 2025-10-23 21:46:04
$ 0.21
0 продаж
Всего продаж: 0
✅ Методы оплаты: 





Описание товара:
Готовое решение задачи. Решебник Арутюнова. Задание №569.
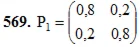
561-570. Задана матрица P1 вероятностей перехода цепи Маркова из состояния i (i = 1, 2) в состояние j (j = 1, 2) за один шаг. Найти матрицу P2 перехода из состояния i в состояние j за два шага.
Если у вас похожее задание, прорешаю на заказ, пишите мне http://fizmathim.plati.ru
Подробное решение. Оформлено в Microsoft Word 2003 (Задание решено с использованием редактора формул)
561-570. Задана матрица P1 вероятностей перехода цепи Маркова из состояния i (i = 1, 2) в состояние j (j = 1, 2) за один шаг. Найти матрицу P2 перехода из состояния i в состояние j за два шага.
Если у вас похожее задание, прорешаю на заказ, пишите мне http://fizmathim.plati.ru
Подробное решение. Оформлено в Microsoft Word 2003 (Задание решено с использованием редактора формул)
Изображения:
Вас могут заинтересовать:

13.01.2016
4 продажи
Кейс задание 1. Свойства и проявления организации.
Купить
$ 4

03.03.2011
5 продаж
РФЭИ "Математика" 100в ИТОГОВЫЙ ЭКЗАМЕН
Купить
$ 5
14.03.2016
4 продажи
Решение задачи Д3 (задание 2) Вариант 29 Диевский В.А.
Купить
$ 0.79

09.07.2019
1 продажа
Вариант 5. Кейс задание 2.
Купить
$ 3.09

21.07.2021
0 продаж
Практическое задание к теме №5. Маркетинг.
Купить
$ 3.42

04.08.2020
0 продаж
Информационные системы. Практическое задание №1
Купить
$ 3.42
10.02.2017
2 продажи
Решение К2 вар. 95, решебник теормех Тарг С.М. 1982 г.
Купить
$ 0.79

13.01.2017
1 продажа
Решебник Кузнецова Л.А. Ряды - Вариант 21
Купить
$ 1.64

13.01.2019
1 продажа
Решение Д6 В39, решебник по термеху Тарг С.М. 1982 г.
Купить
$ 0.89

31.05.2016
1 продажа
Решение задачи К4 В 63, решебник термех Тарг С.М. 1982
Купить
$ 0.63
23.05.2016
1 продажа
Решение С5 вар. 08, решебник теормех Тарг С.М. 1982 г.
Купить
$ 0.79
19.02.2025
1 продажа
Решебник Рябушко. Решенный ИДЗ 13.2, Вариант 10
Купить
$ 1.05

23.05.2016
1 продажа
Д7 В13, решебник теоретической механике Тарг С.М. 1983
Купить
$ 1.47
08.07.2020
1 продажа
Решебник Рябушко. Решенный ИДЗ 6.1, Вариант 9
Купить
$ 1.15
16.10.2011
0 продаж
Математика 3 класс Кочина
Купить
$ 0.74
21.02.2025
1 продажа
Вариант 28 ИДЗ 18.1 Решебник Рябушко часть 4
Купить
$ 1.47
20.02.2025
1 продажа
Вариант 6 ИДЗ 11.1 Решебник Рябушко часть 2
Купить
$ 1.18
20.02.2025
1 продажа
Вариант 7 ИДЗ 11.2 Решебник Рябушко часть 2
Купить
$ 1.18
21.02.2025
1 продажа
Вариант 12 ИДЗ 9.2 Решебник Рябушко часть 2
Купить
$ 0.98

01.09.2020
1 продажа
Вариант 22 ИДЗ 11.2 Решебник Рябушко часть 2
Купить
$ 0.9
21.02.2025
1 продажа
Вариант 22 ИДЗ 11.4 Решебник Рябушко часть 2
Купить
$ 1.18
21.02.2025
1 продажа
Вариант 23 ИДЗ 11.2 Решебник Рябушко часть 2
Купить
$ 1.18

21.02.2025
1 продажа
Вариант 26 ИДЗ 13.2 Решебник Рябушко часть 3
Купить
$ 1.18
21.02.2025
1 продажа
Вариант 30 ИДЗ 6.4 Решебник Рябушко часть 1
Купить
$ 1.08

28.01.2009
0 продаж
Математика 1457.02 3 вариант
Купить
$ 1.38
14.04.2016
0 продаж
Решение Д6 В36, решебник термех Тарг С.М. 1983 года
Купить
$ 3.26

15.01.2017
0 продаж
Решебник Кузнецова Л.А. Дифференцирование - Вариант 04
Купить
$ 2.06

21.02.2025
0 продаж
Вариант 17 ИДЗ 1.2 Решебник Рябушко часть 1
Купить
$ 0.98

31.07.2020
0 продаж
Вариант 16 ИДЗ 2.1 Решебник Рябушко часть 1
Купить
$ 0.53

12.04.2016
0 продаж
Решение задачи Д1 Вариант 02, решебник Тарг С.М. 1983
Купить
$ 0.5

13.04.2016
0 продаж
Задача Д3 Вариант 27, решебник термех Тарг С.М. 1983 г
Купить
$ 0.53
13.04.2016
0 продаж
Решение Д9 Вар. 22, решебник термех Тарг С.М. 1983 г.
Купить
$ 0.65
13.04.2016
0 продаж
Решение Д9 Вар. 32, решебник термех Тарг С.М. 1983 г.
Купить
$ 0.65
13.04.2016
0 продаж
Решение Д9 Вар. 61, решебник термех Тарг С.М. 1983 г.
Купить
$ 0.64
13.04.2016
0 продаж
Решение Д9 Вар. 70, решебник термех Тарг С.М. 1983 г.
Купить
$ 0.65
23.05.2016
0 продаж
Решение С5 вар. 56, решебник теормех Тарг С.М. 1982 г.
Купить
$ 0.79
23.05.2016
0 продаж
Решение С5 вар. 98, решебник теормех Тарг С.М. 1982 г.
Купить
$ 0.79
31.05.2016
0 продаж
Решение К3 вар. 15, решебник термех Тарг С.М. 1982 г.
Купить
$ 0.79
31.05.2016
0 продаж
Решение К3 вар. 16, решебник термех Тарг С.М. 1982 г.
Купить
$ 0.79
31.05.2016
0 продаж
Решение К3 вар. 36, решебник термех Тарг С.М. 1982 г.
Купить
$ 0.79
06.06.2016
0 продаж
Решение задачи Д1 В 93 решебник термех Тарг С.М. 1982
Купить
$ 0.79

10.02.2017
0 продаж
Решение задачи Д4 В 19, решебник Тарг С.М. 1982 года
Купить
$ 0.63

04.07.2013
48 продаж
Математика тест с ответами часть 3
Купить
$ 0.38

23.11.2020
0 продаж
ИДЗ по Рябушко 6 Вариант. Задание 6.4.
Купить
$ 0.6

09.08.2017
0 продаж
Решебник Арутюнова Ю.С. Задание N68 Высшая математика
Купить
$ 0.25

17.05.2017
0 продаж
Решебник Арутюнова Ю.С. Задание N303 Высшая математика
Купить
$ 0.16

17.06.2017
0 продаж
Решебник Арутюнова Ю.С. Задание N361 Высшая математика
Купить
$ 0.25

12.07.2017
0 продаж
Решебник Арутюнова Ю.С. Задание N413 Высшая математика
Купить
$ 0.25

30.07.2017
0 продаж
Решебник Арутюнова Ю.С. Задание N454 Высшая математика
Купить
$ 0.25

15.05.2017
0 продаж
Решебник Арутюнова Ю.С. Задание N527 Высшая математика
Купить
$ 0.32