USSR SHOP »
Магазин » Решебник Рябушко. Решенный ИДЗ 2.1, Вариант 10
Купить Решебник Рябушко. Решенный ИДЗ 2.1, Вариант 10
Обновлено: 2025-10-23 09:51:25

$ 0.74
0 продаж
Всего продаж: 0
✅ Методы оплаты: 







Описание товара:
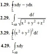
1. Даны векторы a = αm+βn и b = γm+δn, где |m| = k; |n| = l; (m,^n) = φ.
Найти а) (λa+μb)∙(νa+τb); б) прв(νa+τb); в) cos(a,^τb)
1.10 α = 5, β = –3, γ = 4, δ = 2, k = 4, l = 1, φ = 2π/3, λ = 2, μ = –1/2, ν = 3, τ = 0
2. По координатам точек А, В и С для указанных векторов найти: а) модуль вектора а; б) скалярное произведение векторов а и b; в) проекцию вектора c на вектор d; г) координаты точки М, делящей отрезок l в отношении α : β
2.10 A(0, 2, 5), B(2, –3, 4), C(3, 2, –5) a = –3AB + 4AB, b =c=AC, d =AB, l=AС, α = 3, β = 2
3. Доказать, что векторы a,b,c образуют базис, и найти координаты вектора d в этом базисе.
3.10 a = (3, –1, 2); b = (–2, 3, 1); c = (4, –5, –3); d = (–3, 2, –3)
Решение оформлено в PDF формате
Найти а) (λa+μb)∙(νa+τb); б) прв(νa+τb); в) cos(a,^τb)
1.10 α = 5, β = –3, γ = 4, δ = 2, k = 4, l = 1, φ = 2π/3, λ = 2, μ = –1/2, ν = 3, τ = 0
2. По координатам точек А, В и С для указанных векторов найти: а) модуль вектора а; б) скалярное произведение векторов а и b; в) проекцию вектора c на вектор d; г) координаты точки М, делящей отрезок l в отношении α : β
2.10 A(0, 2, 5), B(2, –3, 4), C(3, 2, –5) a = –3AB + 4AB, b =c=AC, d =AB, l=AС, α = 3, β = 2
3. Доказать, что векторы a,b,c образуют базис, и найти координаты вектора d в этом базисе.
3.10 a = (3, –1, 2); b = (–2, 3, 1); c = (4, –5, –3); d = (–3, 2, –3)
Решение оформлено в PDF формате
Вас могут заинтересовать:
19.02.2025
2 продажи
Решебник Рябушко. Решенный ИДЗ 4.1, Вариант 21
Купить
$ 1.26

19.02.2025
2 продажи
Решебник Рябушко. Решенный ИДЗ 11.1, Вариант 13
Купить
$ 1.16

20.02.2025
1 продажа
Решебник Рябушко. Решенный ИДЗ 2.1, Вариант 29
Купить
$ 0.74
19.02.2025
1 продажа
Решебник Рябушко. Решенный ИДЗ 6.2, Вариант 18
Купить
$ 1.26

12.08.2020
1 продажа
Решебник Рябушко. Решенный ИДЗ 6.4, Вариант 2
Купить
$ 0.82
19.02.2025
1 продажа
Решебник Рябушко. Решенный ИДЗ 12.1, Вариант 21
Купить
$ 1.26
19.02.2025
1 продажа
Решебник Рябушко. Решенный ИДЗ 13.1, Вариант 19
Купить
$ 1.37
19.02.2025
1 продажа
Решебник Рябушко. Решенный ИДЗ 19.1, Вариант 16
Купить
$ 1.37
19.02.2025
1 продажа
Решебник Рябушко. Решенный ИДЗ 19.2, Вариант 16
Купить
$ 1.37
20.06.2020
0 продаж
Решебник Рябушко. Решенный ИДЗ 3.1, Вариант 2
Купить
$ 0.57
19.02.2025
0 продаж
Решебник Рябушко. Решенный ИДЗ 4.1, Вариант 19
Купить
$ 1.26
19.02.2025
0 продаж
Решебник Рябушко. Решенный ИДЗ 4.1, Вариант 30
Купить
$ 1.26
19.02.2025
0 продаж
Решебник Рябушко. Решенный ИДЗ 5.1, Вариант 19
Купить
$ 1.05
19.02.2025
0 продаж
Решебник Рябушко. Решенный ИДЗ 6.2, Вариант 21
Купить
$ 1.26
19.02.2025
0 продаж
Решебник Рябушко. Решенный ИДЗ 6.2, Вариант 26
Купить
$ 1.26
19.02.2025
0 продаж
Решебник Рябушко. Решенный ИДЗ 6.2, Вариант 27
Купить
$ 1.26

12.08.2020
0 продаж
Решебник Рябушко. Решенный ИДЗ 6.4, Вариант 5
Купить
$ 0.82

19.02.2025
0 продаж
Решебник Рябушко. Решенный ИДЗ 6.4, Вариант 24
Купить
$ 1.05

19.02.2025
0 продаж
Решебник Рябушко. Решенный ИДЗ 6.4, Вариант 30
Купить
$ 1.05
19.02.2025
0 продаж
Решебник Рябушко. Решенный ИДЗ 8.1, Вариант 16
Купить
$ 0.95

01.11.2020
0 продаж
Решебник Рябушко. Решенный ИДЗ 9.2, Вариант 5
Купить
$ 0.82
19.02.2025
0 продаж
Решебник Рябушко. Решенный ИДЗ 10.2, Вариант 25
Купить
$ 1.16

19.02.2025
0 продаж
Решебник Рябушко. Решенный ИДЗ 11.1, Вариант 1
Купить
$ 1.16

19.02.2025
0 продаж
Решебник Рябушко. Решенный ИДЗ 11.1, Вариант 16
Купить
$ 1.16

19.02.2025
0 продаж
Решебник Рябушко. Решенный ИДЗ 11.2, Вариант 1
Купить
$ 1.16

19.02.2025
0 продаж
Решебник Рябушко. Решенный ИДЗ 11.2, Вариант 19
Купить
$ 1.16

19.02.2025
0 продаж
Решебник Рябушко. Решенный ИДЗ 11.3, Вариант 26
Купить
$ 1.16

19.02.2025
0 продаж
Решебник Рябушко. Решенный ИДЗ 11.4, Вариант 8
Купить
$ 1.16

19.02.2025
0 продаж
Решебник Рябушко. Решенный ИДЗ 13.3, Вариант 1
Купить
$ 1.16

19.02.2025
0 продаж
Решебник Рябушко. Решенный ИДЗ 13.3, Вариант 6
Купить
$ 1.16

19.02.2025
0 продаж
Решебник Рябушко. Решенный ИДЗ 13.3, Вариант 27
Купить
$ 1.16
19.02.2025
0 продаж
Решебник Рябушко. Решенный ИДЗ 14.1, Вариант 16
Купить
$ 1.05
19.02.2025
0 продаж
Решебник Рябушко. Решенный ИДЗ 14.1, Вариант 27
Купить
$ 1.05
19.02.2025
0 продаж
Решебник Рябушко. Решенный ИДЗ 14.1, Вариант 29
Купить
$ 1.05
19.02.2025
0 продаж
Решебник Рябушко. Решенный ИДЗ 14.1, Вариант 30
Купить
$ 1.05

19.02.2025
0 продаж
Решебник Рябушко. Решенный ИДЗ 15.2, Вариант 7
Купить
$ 1.26

19.02.2025
0 продаж
Решебник Рябушко. Решенный ИДЗ 15.2, Вариант 18
Купить
$ 1.26
19.02.2025
0 продаж
Решебник Рябушко. Решенный ИДЗ 6.1, Вариант 23
Купить
$ 1.47
19.02.2025
0 продаж
Решебник Рябушко. Решенный ИДЗ 6.3, Вариант 11
Купить
$ 1.37
19.02.2025
0 продаж
Решебник Рябушко. Решенный ИДЗ 6.3, Вариант 13
Купить
$ 1.37
19.02.2025
0 продаж
Решебник Рябушко. Решенный ИДЗ 6.3, Вариант 21
Купить
$ 1.37
19.02.2025
0 продаж
Решебник Рябушко. Решенный ИДЗ 8.3, Вариант 26
Купить
$ 1.37
16.10.2020
0 продаж
Решебник Рябушко. Решенный ИДЗ 8.4, Вариант 6
Купить
$ 1.15

19.02.2025
0 продаж
Решебник Рябушко. Решенный ИДЗ 10.1, Вариант 25
Купить
$ 1.37
19.02.2025
0 продаж
Решебник Рябушко. Решенный ИДЗ 12.2, Вариант 29
Купить
$ 1.47
19.02.2025
0 продаж
Решебник Рябушко. Решенный ИДЗ 12.3, Вариант 24
Купить
$ 1.47

19.02.2025
0 продаж
Решебник Рябушко. Решенный ИДЗ 18.1, Вариант 23
Купить
$ 1.47
19.02.2025
0 продаж
Решебник Рябушко. Решенный ИДЗ 19.2, Вариант 25
Купить
$ 1.37

19.02.2025
0 продаж
Решебник Рябушко. Решенный ИДЗ 3.2, Вариант 11
Купить
$ 0.53

19.02.2025
0 продаж
Решебник Рябушко. Решенный ИДЗ 14.2, Вариант 9
Купить
$ 0.63